
第一作者:Ke Ye
通讯作者:蒋昆
通讯单位:上海交通大学
论文DOI: 10.1039/D1EE02966E

全文速览
电化学二氧化碳还原反应(CO2RR)是典型的表面介导过程,局部反应环境,特别是阴极附近的电极-电解质界面和相应的扩散边界层对反应的活性和选择性起着至关重要的作用。本文中,作者开发了一种新型的在线电化学差分质谱(DEMS)流动反应池,结合多物理场模型仿真,优化了电解液和CO2反应物在阴极腔室内的传质过程;在~200 ms的时间分辨率下研究了CO2的物质传输、阳离子诱导的表面电场效应以及电极表面拓扑结构(粗糙度)对于Ag上CO2还原的促进机制。此外,作者在阴离子交换膜电解槽器件上验证了上述优化策略,在宽达1 V的电压窗口内CO产物选择性均超过80%,并在4.0 V槽压下其部分电流密度超过650 mA cm-2;在500 mA cm-2的工业级电流密度下稳定运行超过100小时。

背景介绍
过去几年中,利用可再生能源将温室气体CO2电化学转化为碳基燃料和高附加值化学品引起了人们的极大研究兴趣,希望借此实现资源循环利用,缓解化石能源危机和温室气体排放。迄今为止,该过程由于涉及多步的质子-电子耦合转移及多种中间物种的竞争吸附,反应动力学较为迟缓。对此,开发高灵敏度的谱学电化学技术来原位厘清表界面信息,将为揭示反应机理、优化CO2RR的反应活性和选择性提供重要助力。同时,表面电化学中的基础研究结果也将指导高效CO2电解系统的设计,填补实验室和工业应用间的鸿沟,为实现可持续的碳中性循环提供前瞻思路。

本文亮点
1. 利用在线差分电化学质谱方法研究Ag电极上CO2RR,相较于传统色谱法,DEMS可在毫秒级分辨率下实现产物的定量分析;通过三维多物理场模型仿真,指导设计流动池内的电解液循环和物料传输过程,在满足检测精度的前提下优化反应传质。

图文解析
图1. DEMS流动池设计和计算流体力学仿真。a, 流动池结构设计图;b, 阴极腔室中的射流模型;c, CO2反应物在阴极腔室中的传质示意图 。
附图1. 不同电解液流速下CO2反应物的传质行为模拟。与传统薄层DEMS反应池相比,开放式腔室和大流速的设计可以促进CO2传质,得到更薄的扩散层厚度。
图2. Ag/PTFE电极形貌和DEMS氢气校正曲线。a-b, 电化学测试前后磁控溅射Ag/PTFE膜电极的SEM表征;c-d, Ar饱和的0.05 M M2CO3 (M=Na, K, Cs)溶液中析氢反应的阶梯测试曲线和H2校正曲线。
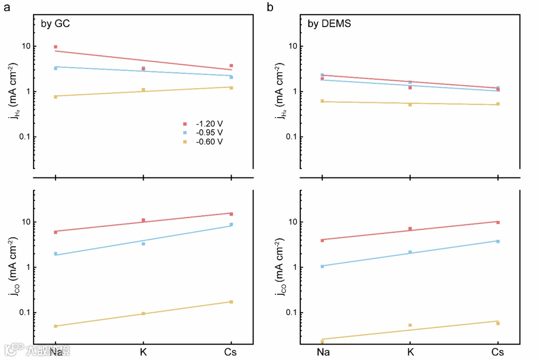
图3. 不同阳离子溶液中Ag催化CO2RR的性能研究。a-c, H型电解槽中的在线顶空色谱数据;d-g, 同一块Ag/PTFE电极上的DEMS流动反应池数据。两者相较可知:1)如图3g所示,DEMS可实现CO2消耗速率的实时分析;2)流动池的设计缓解了CO2在水溶液中的传质限制,有利于抑制析氢副反应。
附图11. 阳离子诱导的表面电场效应对于不同产物生成速率的作用机制。水合碱金属离子诱导的表面电场强度Cs+ > K+ > Na+,该界面电场有助于稳定*CO2和*COOH等大偶极矩分子,从而提升CO而非H2的生成速率。
图4. Ag电极的表面粗糙度效应研究。a, 溅射Ag/PTFE电极;b, O2等离子体处理后Ag/PTFE电极形貌表征;c, -1.1 V vs. RHE电位下两者的CO2RR性能比较。150 s O2等离子体处理及电化学还原后,Ag/PTFE电极表面粗糙度增加一倍,暴露了更多的配位不饱和Ag位;CO2RR的Tafel斜率由116 mV dec-1 降至68 mV dec-1,即表面粗糙化提升了CO析出的反应动力学及同一电位下CO2的转化率(图4c) 。
图5. 阴离子交换膜电极电解槽器件性能测试。将O2等离子体处理后Ag/GDE电极、阴离子交换膜、商业化IrO2/GDE电极组装成1.5×1.5-cm2的模型器件,通过复刻上述CO2传质、界面电场强度、表面粗糙化等策略,实现工业级电流密度下的稳定CO2电解。

总结与展望
本文提出了一种在线差分电化学质谱方法来研究局部反应环境对CO2电还原性能的影响。通过数值模拟和实验设计的结合,作者澄清了CO2传质输运、阳离子诱导的界面电场调控,以及电极表面拓扑结构对于CO2-to-CO转化的促进作用机制。同时,该工作展示的表面谱学电化学到反应器件设计的递进式研究,将为未来更多高效能源催化装置的开发集成提供借鉴。

文献来源
Ke Ye, Guiru Zhang, Xian-Yin Ma, Chengwei Deng, Xin Huang, Chonghao Yuan, Guang Meng, Wen-Bin Cai and Kun Jiang. Energy Environ. Sci., 2022, DOI: 10.1039/D1EE02966E.
声明
本文仅供科研分享,不做盈利使用,如有侵权,请联系后台小编删除
“邃瞳科学云”直播服务
“邃瞳科学云"平台正在收集、整理各类学术会议信息,欢迎学会、期刊、会议组织方择优在邃瞳平台上进行线上直播,希望藉此帮助广大科研人员跨越时空的限制,实现自由、畅通地交流互动。欢迎老师同学们提供会议信息(会有礼品赠送),学会、期刊、会议组织方商谈合作,均请联系翟女士:18612651915(微信同)。
投稿、荐稿、爆料:Editor@scisight.cn
扫描二维码下载
邃瞳科学云APP

