
第一作者:陈炳杰
通讯作者:张弛、杨金虎
通讯单位:同济大学化学科学与工程学院
DOI:10.1002/adma.202200894

全文速览
锂离子电池电极材料在循环过程中的体积变化对于电池性能来说至关重要,就目前所知的硅材料,其在循环过程中的体积膨胀严重破坏了电极结构,使得电池容量在循环过程中快速衰减,因此,开发高容量零应变的电极材料对锂离子电池来说迫切需要,这篇文章们实现了一种新的零应变复合材料,该复合材料是在由位于金属有机框架(MOF)衍生的纳米反应器(Si NDs
MDN)中的一种超小型Si纳米点,通过一种新的空间受限催化方法制成。这种特殊的Si NDs
MDN负极应变小 (< 3%) ,理论锂存储容量高(1524 mAh g-1),远远超过了一些传统的负极材料。Si NDs
MDN在半电池中的循环稳定性优异,0.1 Ag-1的电流密度下100圈后容量为1327 mAh g-1。

背景介绍
可充电锂离子电池作为主要的储能系统,受到了人们极大的关注。近年来,随着电子设备和电动汽车的快速发展,对具有高容量、长循环寿命和优异倍率性能的负极材料提出了很高的要求。锂离子电池在循环过程中电极材料的体积变化较大,因此不可避免地就会导致电极破碎,进而造成电池整体性能下降。在这样的背景下,寻找一种在循环过程中体积变化较小的电极材料就显得尤为重要,例如以前所谓的零应变材料,CaV4O9,Li4Ti5O12, TiNb2O7, LiCrTiO4, LiY(MoO4)2等在循环过程中体积变化较小。目前为止,发现的零应变材料仅限于单晶,这种零应变是通过提前设计晶体中的原子空隙以适应锂离子的插入来实现的。然而,单晶相的零应变电极材料往往具有较低的理论比容量,这点就极大程度上限制了它们的实际应用。
硅因其超高的锂离子存储容量 (4200 mA h/g)、低的电位平台(<0.5 V)被认为是最具潜力的锂离子电池 (LIB) 负极材料。但是在循环过程中,Si大约400%的巨大体积变化会导致电极破坏,导致容量快速衰减。此外,Si的低电导率极大地阻碍了锂离子的扩散过程,导致倍率性能较差,这两点严重阻碍了其作为LIB负极的商业应用。为了解决这些问题,人们做出了巨大的努力来制造了Si/C复合材料,其中碳材料作为导电体和基体。尽管取得了很大进展,但Si/C复合材料大的体积变化仍未得到有效解决。迄今为止,微小的体积变化和超高容量(超过1000 mAh g-1)并存的Si基负极材料尚未实现。
在这篇文章中,实现了一种通过新型金属有机框架(MOF)衍生的单原子催化策略,构建而成的具有独特零应变特性和高锂存储容量的Si/C复合材料,制备的Si/C复合材料由嵌入多孔碳基质 (Si NDs
MDN) 的MOF衍生纳米反应器 (MDN) 中的超小硅纳米点 (直径约3 nm) 制成,作为LIB阳极具有一系列优势:1)零应变特性和高的结构稳定性,2)高容量,3)卓越的倍率性能。此外,原位透射电子显微镜测试已经验证了Si NDs
MDN阳极独特的零应变特性。力学模拟表明,Si NDs
MDN表现出出色的机械稳定性,在锂化过程中具有低径向应力和环向应力。这项工作为高能锂离子电池提供了一种有前途的有长循环寿命的新型硅基负极材料,可用于实际能源应用。

图文解析
图1 MOF衍生的空间受限单原子催化策略及结构/元素表征. a)Si NDs
MDN复合材料的制备过程示意图;b,c)Si NDs
MDN的TEM图像;d,e)MDN的TEM图像和HAADF-STEM图像;f,g)Si NDs
MDN的元素分布图像和线性扫描图像。
图2 a-c)相和成分分析. Si NDs
MDN和MDNs的 a)XRD图,b)拉曼光谱图,c)N2吸脱附曲线;d-f) Si NDs
MDN的XPS光谱: (d)Si 2p, (e) Zn 2p和(f)N 1s。
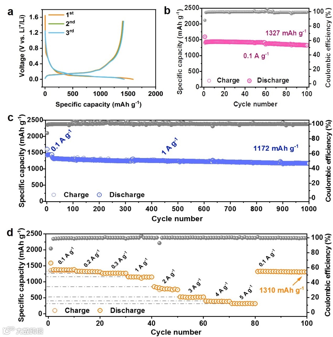
图3 Si NDs
MDN电极的电池循环性能。a) Si NDs
MDN电极在0.1 A g-1时的电压曲线;b,c) Si NDs
MDN电极在0.1 A g-1时和在1 A g-1时的长循环性能;d) Si NDs
MDN电极在0.1-5 A g-1的电流密度下的倍率性能。
图4 1000次循环前后的电极厚度与电极完整性。a-c) Si NDs
MDN电极循环前的a) SEM侧视图像,b)低倍SEM 俯视图像,c)高倍率SEM俯视图像;d-f) Si NDs
MDN电极在1 A g-1的电流密度下循环1000圈后的d) SEM侧视图像,e)低倍SEM俯视图像,f)高倍率SEM俯视图像;g-i)循环前 Si 纳米粒子电极的g)侧视 SEM 图像,h)低倍率和i)高倍率下的SEM俯视图像;j-l)Si 纳米粒子电极在1 A g-1的电流密度下循环800圈后的j)侧视 SEM 图像,k)低倍率和l)高倍率下的SEM俯视图像;m)循环前后 Si NDs
MDN和Si纳米颗粒电极的电极厚度和膨胀比较。

总结与展望
本文通过一种新颖的空间受限的单原子催化策略制造了零应变的Si NDs
MDN负极材料。利用自创的Zn单原子作为催化剂的策略能够在MDN的纳米孔中原位形成超小Si纳米颗粒。由均匀分散在多孔MDN中的Si NDs
MDN制成的材料赋予复合材料优异的机械性能、良好的导电性和独特的零应变性能。大量的实验表征和机械模拟证明了零应变特性。Si NDs
MDN电极在半电池中表现出长循环稳定性、高容量和优异的倍率性能,在全电池中也表现出高能量密度,可与最先进的锂离子半电池相媲美甚至远远超过商业锂离子全电池。该方法提供了一种新的零应变电极材料,并将零应变电极材料的概念从单晶扩展到具有显著提高容量和能量密度的复合材料,所提出的策略对于制造具有高能量密度和长循环能力的高性能Si/C 复合阳极是有效并且是通用的,可用于实际能源生产。

文献来源
Bingjie Chen, Lu Chen, Lianhai Zu, Yutong Feng, Qingmei Su, Chi Zhang, Jinhu Yang. Zero-Strain High-Capacity Silicon/Carbon Anode Enabled by a MOF-Derived Space-Confined Single-Atom Catalytic Strategy for Lithium-Ion Batteries. Advanced Materials 2022. DOI: 10.1002/adma.202200894.
文献链接:https://doi.org/10.1002/adma.202200894.
声明
本文仅供科研分享,不做盈利使用,如有侵权,请联系后台小编删除
“邃瞳科学云”直播服务
“邃瞳科学云"平台正在收集、整理各类学术会议信息,欢迎学会、期刊、会议组织方择优在邃瞳平台上进行线上直播,希望藉此帮助广大科研人员跨越时空的限制,实现自由、畅通地交流互动。欢迎老师同学们提供会议信息(会有礼品赠送),学会、期刊、会议组织方商谈合作,均请联系翟女士:18612651915(微信同)。
投稿、荐稿、爆料:Editor@scisight.cn
扫描二维码下载
邃瞳科学云APP

