
第一作者:Hao-Xin Liu, Shan-Qing Li
通讯作者:贾春江,马超
通讯单位:山东大学,湖南大学
论文DOI: https://doi.org/10.1038/s41467-022-28476-5

全文速览
对于高温催化反应来说,在催化剂中构建稳定的活性位点具有重要的意义和挑战性。在本文中,作者报道了在高铜负载量(15 wt.%)的铜-二氧化铈催化剂中构建充足且稳定的铜簇,用于高温逆水煤气变换反应(RWGS)。二氧化铈纳米棒在非常恶劣的工作条件下发生了部分烧结,形成了2D和3D铜簇。这种部分烧结的催化剂在高温下表现出显著的的活性和耐久性。其中铜和二氧化铈之间的相互作用保证了铜簇稳定地锚定在二氧化铈表面。大量原位生成和消耗的表面氧空位与相邻铜簇形成协同效应,促进反应过程。该工作研究了具有烧结和非均相结构的催化剂的构效关系,并探讨了烧结催化剂在C1化学中的潜在应用。

背景介绍
负载型金属催化剂由于其足够的活性位点和较高的原子利用率,在工业催化过程中得到广泛的应用。近年来,纳米工程被广泛应用于将活性金属锚定在稳定的载体上来制备具有均匀表面结构的固体催化剂。保持活性金属位点的均匀性和高分散性被认为是催化剂具有优异活性的关键。然而,随着催化剂的烧结,尤其是在高温和还原气氛的反应条件下,活性金属容易团聚,导致严重失活,减少活性金属的负载量可以部分克服团聚,但由于活性金属位点不足,催化剂的活性通常不理想。因此,在烧结催化剂中构建稳定且充足的活性位点是一个巨大的挑战,但也充满了意义。
逆水煤气变换反应(RWGS)由于其高选择性和低操作压力,被认为是利用CO2的最有前景的方法。产生的CO被认为是通过费-托合成或其他合成气工艺生产各种增值化学品的原料。由于其吸热特性,通常需要较高的工作温度来促进CO2的平衡转化。然而,这给催化剂在如此恶劣的条件下的耐久性带来了巨大的困难。贵金属催化剂,如Pd基和Pt基催化剂,已被研究用于该反应,但其实际应用受到催化性能差和成本高的限制。在非贵金属催化剂中,Cu基催化剂因其高活性、高选择性和低成本被认为是该反应的理想候选者。然而,一方面,高铜负载量的催化剂容易团聚,导致严重失活。另一方面,载体上的低铜负载量可以部分抵抗团聚,但存在活性位点不足和催化性能差的问题。因此,苛刻反应条件下高活性和高稳定性之间的矛盾限制了Cu基催化剂的开发和应用。根据以前的工作,二氧化铈(CeO2)通常被认为是一种锚定铜的合适载体,因为铜和二氧化铈之间有很强的相互作用。利用这种相互作用,铜-二氧化铈催化剂在低温水煤气变换反应、CO氧化、CO2加氢等多种催化反应中显示出其独特的价值。此外,CeO2在高温老化后易于烧结,导致结构发生剧烈变化。最近,作者团队在800℃的空气煅烧条件下,在1 wt%的极低Cu负载量的烧结铜-二氧化铈催化剂中构建了稳定且原子分散的不饱和配位铜位点,该催化剂对CO氧化表现出非常高和稳定的活性。然而,在高温和还原气氛的长期恶劣反应条件下,铜-二氧化铈催化剂的结构仍不清楚,尤其是对铜负载量较高的催化剂,这无疑限制了铜-二氧化铈催化剂的开发和应用。
在本文中, 作者报道了一种部分烧结的Cu/CeO2催化剂,其Cu负载量高达15 wt.%。该催化剂在非常恶劣的条件下(600°C,空速为400,000 mL·gcat−1·h−1)对RWGS反应表现出非常高的活性和稳定性。在反应条件下,由于铜与二氧化铈相互作用,形成了二维(2D)和三维(3D)铜簇并牢牢地锚定在二氧化铈表面,并通过铜与二氧化铈的相互作用构建了丰富的稳定活性位点。此外,结构表征和DFT计算证实,在反应过程中,大量的表面活性氧空位原位生成并循环消耗,这些空位与相邻的铜簇结合促进了CO2的活化和催化效率。抗烧结活性铜簇与充足的表面氧空位的协同催化作用为其在恶劣条件下的优异活性和稳定性提供了保证。该部分烧结的催化剂具有优良的催化性能,打破了催化剂烧结后严重失活的传统印象,在利用CO2方面显示出巨大的潜力。

图文解析
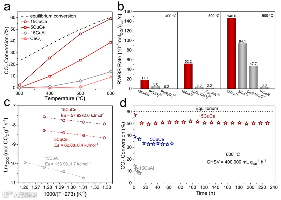
图1 铜-二氧化铈催化剂在RWGS反应中的催化性能。a CeO2、5CuCe、15CuCe和15CuAl催化剂的活性; b不同催化剂在400°C、500°C、600°C的反应速率比较; c不同催化剂的表观活化能值; d 5CuCe、15CuCe催化剂和参考15CuAl催化剂的长期催化测试。
表1制备的催化剂和文献报道的催化剂的CO2转化率和CO选择性的比较。
图2 15CuCe催化剂70 h稳定性测试后的结构表征。a透射电子显微镜(TEM)图像; b-d扫描透射电子显微镜(STEM)图像和元素映射结果; e-h高角度环形暗场(HAADF) STEM图像; i (h)中突出显示区域的放大图像。
图3 15CuCe催化剂240 h稳定性测试后的结构表征。a TEM图像; b-d STEM图像和元素映射结果; e-h HAADF-STEM图像; i (h)中突出显示区域的放大图像; j铜-二氧化铈催化剂在长期稳定性测试过程中的结构演化示意图。
表2 催化剂的物理化学性质。
图4 铜和二氧化铈之间的相互作用。 a-b 15CuCe催化剂分别在-143℃下H2预处理(a)和600℃下70 h稳定性测试后暴露于不同偏压CO中记录的原位红外光谱。
图5 铜-二氧化铈催化剂中氧空位的检测。a在RWGS反应条件下15CuCe催化剂的原位拉曼光谱; b 15CuCe催化剂分别在300℃和500℃下具有H2/CO2转换的原位拉曼光谱; d-e 15CuCe催化剂在300℃和CO2流动条件下的原位拉曼光谱及ID/IF2g强度比随时间的变化; f-g 15CuCe催化剂在500℃和CO2流动条件下的原位拉曼光谱及ID/IF2g强度比随时间的变化。
图6 15CuCe催化剂RWGS机理及反应中间体研究。a 15CuCe催化剂的CO2解离实验;b 15CuCe催化剂的TPSR结果; c-d 15CuCe催化剂分别在CO2处理和300℃反应条件期间的原位漫反射红外傅里叶变换光谱(DRIFTS)。
图7 铜-二氧化铈催化剂上RWGS反应的反应路径。a CO2在10Cu/CeO2{111}表面的化学吸附。对以VO-A至VO-E命名的5个氧空位进行比较,发现所选的CO2位于VO-A附近; b CeO2{111}表面CO2与VO结合的吸附能明显弱于Cu滴在二氧化铈位点; c RWGS反应机理发生在VO-A上。红、蓝、黑三色线分别表示不同的反应路径,红、蓝、黑三色笔画的结构图分别对应反应路径。

总结与展望
对于高温催化反应来说,开发兼具高活性和优异稳定性的催化剂一直是一个难题。本文在实际反应过程中,在部分烧结的铜-二氧化铈催化剂上稳定地构建了高负载量(15 wt.%)的高度分散的活性铜簇。最佳的15CuCe催化剂在高工作温度下表现出优异的RWGC反应催化性能,超过了几乎所有已报道的非贵金属催化剂和昂贵的贵金属催化剂。高温和还原气氛的恶劣反应条件导致二氧化铈载体部分烧结,而铜与二氧化铈之间的相互作用保持良好。这种意想不到的稳定相互作用保证了铜物种在部分烧结的二氧化铈载体上以2D层状簇和3D半球形簇的形式保持稳定。此外,在反应过程中,大量的表面氧空位原位形成并循环消耗,与铜簇形成协同催化效应,促进CO2的活化和活性中间体的形成。该催化剂具有显著的活性和固体稳定性,在实际应用中具有广阔的前景。本文揭示的烧结催化剂的构效关系为其它体系提供了参考。

文献来源
Liu, HX., Li, SQ., Wang, WW. et al. Partially sintered copper‒ceria as excellent catalyst for the high-temperature reverse water gas shift reaction. Nat Commun 13, 867 (2022). https://doi.org/10.1038/s41467-022-28476-5
声明
本文仅供科研分享,不做盈利使用,如有侵权,请联系后台小编删除
“邃瞳科学云”直播服务
“邃瞳科学云"平台正在收集、整理各类学术会议信息,欢迎学会、期刊、会议组织方择优在邃瞳平台上进行线上直播,希望藉此帮助广大科研人员跨越时空的限制,实现自由、畅通地交流互动。欢迎老师同学们提供会议信息(会有礼品赠送),学会、期刊、会议组织方商谈合作,均请联系翟女士:18612651915(微信同)。
投稿、荐稿、爆料:Editor@scisight.cn
扫描二维码下载
邃瞳科学云APP

