
第一作者:Huiqi Li、Rui Zeng、XinranFeng
通讯作者:谢兆雄教授、Héctor D. Abruña
通讯单位:厦门大学、康奈尔大学
DOI: 10.1021/jacs.2c00518

全文速览
尽管存在着重大挑战,Pd基电催化剂仍被认为是阴离子交换膜燃料电池(AEMFCs)应用中一种极具前景的Pt替代材料。目前,大多数用于动力学缓慢的氧还原反应(ORR)的Pd基电催化剂都是在室温下通过旋转圆盘电极(RDE)伏安法而不是在膜电极组件(MEAs)中进行性能测试的,这使得其在实际燃料电池中的应用具有挑战性。在本文中,作者开发出一系列碳负载的新型PdHx纳米片(PdHx NS),其在室温RDE测试中表现出优异的ORR性能。具体地,于190 °C条件下合成出的催化剂在0.95 V电位下表现出0.67 A mg–1的质量活性和1.07 mA cm–2的比活性,代表着碱性介质中Pd基ORR电催化剂的最高值,并优于此前文献中报道的Pt基催化剂。此外,作者采用PdHx-NS和商业Pd/C作为模型催化剂,在RDE测试中系统地研究了温度对其ORR活性的影响,并随后在MEA测试中评估了其性能。该研究结果表明氧化稳定性如何影响着Pd基电催化剂的ORR性能,从而为未来碱性燃料电池应用中ORR催化剂的开发提供重要见解。

背景介绍
近年来,阴离子交换膜燃料电池(AEMFCs)取得重大进展,显示出作为质子交换膜(PEM)燃料电池替代系统的巨大潜力。然而,燃料电池中缓慢的ORR动力学需要使用大量的Pt催化剂。因此,开发和研究非Pt基和非贵金属电催化剂以缓解对Pt的依赖变得至关重要。此前的研究表明,在碱性介质中,贵金属单晶中Pd的ORR活性与Pt相当,这表明Pd是一种极具前景的碱性ORR电催化剂。在高性能的Pd基电催化剂中,Pd基纳米片表现出最优异的ORR活性,因为它们的二维(2D)结构可以提供高比表面积、原子级厚度的应变效应,以及暴露在表面上的高密度不饱和原子。此外,钯氢化物(PdHx)已被证明在增强ORR活性方面发挥着重要作用。
虽然Pd基电催化剂可以使碱性介质中的ORR活性得到显著提高,但在基于膜电极组件(MEAs)的AEMFC测试中,关于Pd基系统的性能高于Pt的报道非常有限。大多数报道的Pd基电催化剂仅在液态电解质中使用旋转圆盘电极(RDE)进行研究,而很少在MEA系统中测试。RDE测试方法是一种成熟的程序,已被广泛接受用于测试催化剂的质量活性和比活性,在高性能电催化剂的初步筛选中起着关键作用。然而,RDE条件下的高活性不一定能保证MEA系统具有相同的性能,因为它们的ORR运行条件有着很大不同。例如,大多数RDE测试是在低O2溶解度的液态电解质中于室温下进行的,而MEA测试是在更高的温度(60–80 °C)下使用离子交换聚合物电解质进行的。对于Pd基电催化剂而言,鉴于Pd比Pt基电催化剂更容易被氧氧化,尤其是在MEA的严苛测试条件下,因此氧化稳定性被认为在ORR性能方面起着主导作用。然而,在常规的RDE测试中,氧化稳定性很少得到认可和系统研究。
在本文中,作者系统性地研究了Pd基电催化剂的氧化稳定性。首先,通过控制合成温度和CO压力,成功地合成出一系列以高比表面积碳为载体的PdHx纳米片(PdHx NS)。随后,对所合成出PdHx NS催化剂在碱性介质中的ORR性能进行了严格评估,并将性能与商业Pd/C和Pt/C催化剂进行比较。研究结果表明,所合成出的PdHx NS催化剂具有出色的ORR活性。特别地,在190 °C条件下合成出的样品(PdHxNS-190)于0.95 V电位表现出0.67 A mg–1的质量活性和1.07 mA cm–2的比活性,代表着文献中Pd基ORR电催化剂的最高值。此外,通过使用PdHx NS和商业Pd/C作为模型催化剂,深入研究了Pd基电催化剂的氧化稳定性如何影响其在碱性介质中的ORR性能。最后,作者通过研究证明PdHx NS在室温下表现出的优异ORR性能在高温下无法得到维持,这主要是源自于低氧化稳定性。基于MEA系统的实际燃料电池测试也证实上述发现,并强调ORR电催化剂的氧化稳定性对于实际燃料电池应用的重要性。

图文解析
图1. 碳负载PdHxNS的合成过程与形貌示意图;碳负载PdHx NS-80, PdHxNS-140, PdHx NS-190的(a1–c1)TEM图,(a2–c2)对应的STEM图。

图2. Pd基NS结构的X射线表征:(a)PdHx NS催化剂和fcc Pd参比样的XRD表征;(b)高分辨Pd 3d轨道(3d3/2和3d5/2) XPS光谱;不同温度下合成出PdHxNS的(c)XANES光谱,(d)傅里叶转换(FT)k3加权EXAFS光谱。
图3. PdHx NS催化剂的电化学性能:(a)在Ar饱和1 M KOH溶液中的CV曲线,扫描速率为20 mV/s;(b)在O2饱和1 M KOH溶液中的ORR极化曲线,插图为动力学扩散控制区域;(c)ORR Tafel曲线;(d)0.95 V电位下的质量活性(MA)和比活性(SA);(e)RRDE测试出的ORR选择性;(f) PdHxNS与文献中报道Pd基电催化剂在0.95 V电位下的ORR活性对比。
图4. PdHx NS催化剂的氧化稳定性评估:(a)20 wt %商业Pt/C, Pd/C和PdHxNS在阳极(实线)和阴极(虚线)扫描下的ORR极化曲线,其中插图为两次扫描之间的半波电位差;(b,c)Pt和Pd微电极在氩气(0% O2),空气(21% O2)和氧气饱和(100%O2)的1 M KOH溶液中于2000mV/s扫描速率下的CV曲线;在Ar饱和的1 M KOH溶液中,(d) 60 wt %商业Pt/C, (e) Pd/C和(f) PdHx NS在273至353 K温度范围内的CV曲线,扫描速率为20 mV/s;在O2饱和的1 M KOH溶液中,(g) 60 wt %商业Pt/C, (h) Pd/C和(i) PdHx NS在273至353 K温度范围内的ORR极化曲线,扫描速率为5 mV/s。
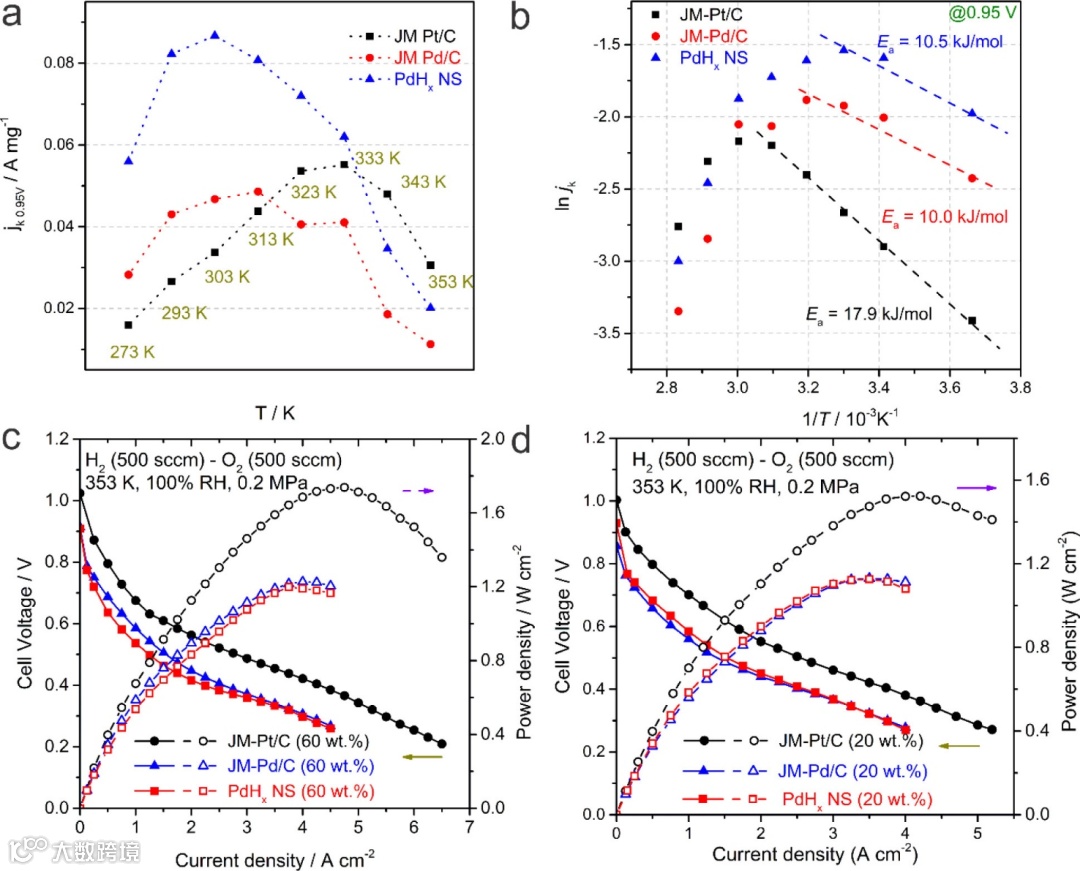
图5. 温度对PdHxNS催化剂的ORR性能影响:(a)在不同温度条件下,60 wt %商业Pt/C, Pd/C和PdHx NS催化剂于0.95 V电位下的质量活性;(b)电流密度Arrhenius图;(c)在60 wt%商业Pt/C, Pd/C和PdHx NS催化剂作为阴极(0.4 mgmetal/cm2),60wt %商业PtRu催化剂作为阳极(0.4 mgPt+Ru/cm2)时,AEMFC单电池的性能;(d)在20wt %商业Pt/C, Pd/C和PdHx NS催化剂作为阴极(0.1 mgmetal/cm2),60wt %商业PtRu催化剂作为阳极(0.4 mgPt+Ru/cm2)时,AEMFC单电池的性能。

总结与展望
综上所述,本文成功制备了一系列具有高分散性的碳负载PdHx纳米片,并通过TEM/STEM、XRD、XPS和XAS表征对其进行了全面的研究。电化学测试表明,所合成出的PdHx NS催化剂具有主要的Pd{111}晶面和一些阶梯位点特征,因此表现出优异的ORR活性和反应选择性将O2四电子还原为H2O。特别地,PdHx NS-190表现出目前Pd基ORR催化剂性能的最高值。然而,由于氧化稳定性差,室温下观察到PdHx NS的杰出ORR性能无法在高温下得到保持,该结果也得到MEA基实际燃料电池测试数据的支持。因此,该研究强调了ORR催化剂氧化稳定性的重要性,这对于未来燃料电池应用中ORR催化剂的开发至关重要。

文献来源
Huiqi Li, Rui Zeng, Xinran Feng, Hongsen Wang, Weixuan Xu, XinyaoLu, Zhaoxiong Xie, Héctor D. Abruña. Oxidative Stability Matters: A Case Study of Pallidum Hydride Nanosheets for Alkaline Fuel Cells. J. Am. Chem. Soc. 2022. DOI: 10.1021/jacs.2c00518.
文献链接:https://doi.org/10.1021/jacs.2c00518
声明
本文仅供科研分享,不做盈利使用,如有侵权,请联系后台小编删除
“邃瞳科学云”直播服务
“邃瞳科学云"平台正在收集、整理各类学术会议信息,欢迎学会、期刊、会议组织方择优在邃瞳平台上进行线上直播,希望藉此帮助广大科研人员跨越时空的限制,实现自由、畅通地交流互动。欢迎老师同学们提供会议信息(会有礼品赠送),学会、期刊、会议组织方商谈合作,均请联系翟女士:18612651915(微信同)。
投稿、荐稿、爆料:Editor@scisight.cn
扫描二维码下载
邃瞳科学云APP

