
第一作者:刘思捷
通讯作者:南策文,沈洋
通讯单位:清华大学
DOI:10.1002/aenm.202200660

全文速览
硫化物具有较高的离子电导率,因而使用硫化物电解质的全固态电池 (ASSB) 也引起了人们的广泛关注。然而,ASSB非常需要一种薄且坚固的固态硫化物电解质膜,以保持高离子导电性。本文通过静电纺丝渗透热压法制备了由硫银锗矿型Li6PS5Cl和极性聚偏氟乙烯-共-三氟乙烯(P(VDF-TrFE))骨架组成的薄而柔韧的复合固体电解质膜。Li6PS5Cl与极性P(VDF-TrFE)之间的相互作用确保了复合电解质膜在室温下具有较高的锂离子电导率(≈1.2 mS cm-1)和良好的机械延展性。具有薄复合电解质膜、LiNbO3涂层的LiNi0.8Co0.1Mn0.1O2和Li6PS5Cl的复合阴极以及锂铟阳极的纽扣型ASSB电池,表现出超强的循环性能,在室温下1000次循环后容量保持率为92%,即使在1.0 mA cm-2(即1.61 C)下循环20000次后容量保持率为71%。此外,制作了具有高质量活性材料负载的软包ASSB电池,以证明其未来在商业应用中的潜力和可行性。

背景介绍
锂离子电池 (LIB) 已广泛应用在生活中,各种便携式电子设备、电动汽车、智能电网等都可以看到它们的身影。然而,商用LIB中的有机电解质由于碳酸酯的闪点低而易燃,尤其是在高压下,这点在实际应用中往往会造成安全隐患。因此,使用固态电解质(SSEs)的全固态电池(ASSBs)最近引起了人们的兴趣,因为它们在更换掉液体电解质后更安全、更稳定。尽管如此,ASSBs仍然存在一些缺点,SSEs的离子电导率低,SSEs与电极之间的界面阻抗高,制造成本相对较高,阻碍了它们的应用。开发具有高离子电导率、宽电化学窗口和低界面阻抗的SSEs对于具有高比能量和功率密度的ASSBs至关重要。
目前,在各种固态电解质中,硫化物SSEs的锂离子传导能力可与有机液体电解质相媲美(室温下约为10–2 Scm–1 )。在室温下具有10–3–10–2 Scm–1的高锂离子电导率的各种硫化物材料,Li10GeP2S12 (LGPS)、Li10SnP2S12 ,和Li9.54Si1.74P1.44S11.7Cl0.3 等已被研究。其中,硫化物SSEs银锗矿型Li6PS5X (X =Cl, Br)由于锂离子电导率高(例如 Li5.3PS4.3ClBr0.7:2.4 × 10–2 S cm–1 ; Li6PS5Cl(表示为LPSCl):3.15 × 10–3 S cm–1) 和比较好的电化学相容性,使用银矿石的ASSB电池已显示出良好的循环和速率性能。最近,设计了一种夹在中间的LPSCl-LGPS-LPSC固态电解质隔膜,以防止锂枝晶的生长,从而使 ASSB 电池具有出色的循环性能。LPSCl固态电解质也与硅阳极匹配,能够以高电流密度运行并实现长循环。
为了获得薄的、独立的硫化物膜,通常使用软聚合物成分。近年来,硫化物-聚合物复合固体电解质(CSE)的研究取得了很大进展。这些努力主要通过减薄CSE层来增加ASSB电池的能量密度,而不关注ASSB的循环性能。在这些工作中,具有薄CSE膜的ASSB的循环寿命和倍率性能并不令人满意。CSE膜的厚度可能对ASSB 的循环性能起着重要作用。此外,将ASSBs的循环性能与使用液体电解质的普通LIB的循环性能进行比较的研究很少。
本文通过简便的静电纺丝渗透热压法制备了由LPSCl和三维聚偏氟乙烯-共-三氟乙烯(P(VDF-TrFE))骨架构成的薄的CSE。P(VDFTrFE) 表现出更强的极性和高介电常数,并且比常用的PVDF更灵活,因为P(VDF-TrFE) 通过将TrFE基团结合到PVDF中而具有全反式构象的主要β相。因此,预计P(VDF-TrFE) 与LPSCl有一些相互作用,以确保CSE的出色性能。精心设计的具有可调节多孔结构的P(VDF-TrFE) 静电纺丝框架允许LPSCl颗粒彻底渗透,形成互穿LPSCl@P(VDF-TrFE) 膜。紧密堆积的硫化物颗粒形成锂离子传导通道,而 P(VDF-TrFE) 组分使整个电解质具有柔韧性和可弯曲性。通过各种测试和理论模拟证明了 LPSCl和极性P(VDF-TrFE) 之间的相互作用以改善CSE中的Li+传输。所制备的CSE在室温下表现出1.2 × 10-3 S cm-1的高锂离子电导率。在迄今为止报告的所有室温下运行的ASSB电池中,具有CSE膜的ASSB电池具有超长的循环性能,在1.0 mA cm–2(即1.61 C)下进行20000次循环后,具有超长的循环寿命和71%的容量保持率。这项工作可能有助于制备薄的、高性能的CSE,并为实用的高性能硫化物ASSB铺平道路。

图文解析
图1. a) 通过静电纺丝-渗透热压法制备互穿LPSCl@P(VDF-TrFE) CSEs的示意图;b) 多孔P(VDF-TrFE) 膜的SEM图像;c)CSE的顶部SEM 图像;d) CSE和LPSCl粉末在N2 气氛下的热重分析;e) CSE的横截面SEM图像和相应的S和F元素的EDS元素分布图像;f) 多孔P(VDF-TrFE) 膜、CSE和LPSCl粉末的XRD图谱。
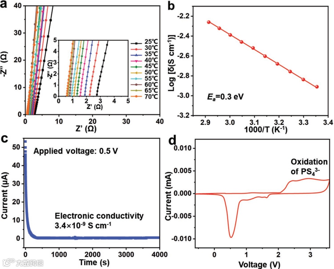
图2. a)LPSCl@P(VDF-TrFE)CSE在25–70 °C下的Nyquist图;b)CSE离子电导率的 Arrhenius图;c) 夹在两块不锈钢之间的 CSE 的电流-时间曲线;d)CSE+C||CSE||In电池的电流-电压曲线。
图3. a)多孔P(VDF-TrFE)和CSE膜的FTIR光谱;b) CSE和LPSCl粉末的 31P NMR 光谱;c)CSE的XPS图谱(C 1s);d) CSE和LPSCl粉末的 7Li NMR光谱;e)基于理论模拟的CSE中可能存在的复杂结构。
图4. NCM@LNO负载量约为3.1mg cm-2时,NCM@LNO||CSE||Li-In ASSB电池在室温下的电化学性能:a) 倍率性能;b) 不同倍率的充放电曲线;c) 电流密度为 0.1 mA cm-2 时的长循环性能;d) 1.0 mA cm-2电流密度下的长循环性能。
图5. 具有不同NCM@LNO活性材料质量负载的NCM@LNO||CSE||Li-In ASSB电池在 0.1 mA cm-2的电流密度和室温下循环性能。
图6. a) 软包电池在0.1mA cm-2下的循环性能;b) 软包电池在 1.0 mA cm-2下的循环性能;c) 为灯泡供电的CSE的软包电池的照片。

总结与展望
本文成功制备了厚度为30-40 µm的灵活、紧凑的LPSCl@P(VDF-TrFE) CSE膜,该CSE 在室温下具有1.2 mS cm-1的高离子电导率和3.4 × 10-9 S cm-1的低电子电导率。通过将 LPSCl@P(VDF-TrFE)CSE与NCM@LNO和LPSCl的复合正极组装在一起,NCM@LNO||CSE||Li-In ASSB 电池表现出了优异的高倍率性能和超长的循环寿命。ASSB 电池非常稳定,即使在室温下以1.0 mA cm-2 (1.61C)的电流密度循环20000次后仍能保持71%的容量。这种稳定的循环性能远优于相应的液体LIB电池。相信具有相同CSE和复合阴极的软包ASSB电池在未来的商业应用中也将表现出良好的可行性。

文献来源
Sijie Liu, Le Zhou, Jian Han, Kaihua Wen, Shundong Guan, Chuanjiao Xue, Zheng Zhang, Ben Xu, YuanhuaLin, Yang Shen, Liangliang Li, Ce-Wen Nan.Super Long-Cycling All-Solid-State Battery with Thin Li6PS5Cl-Based Electrolyte. Adv. Energy Mater. 2022.
文献链接:https://doi.org/10.1002/aenm.202200660
声明
本文仅供科研分享,不做盈利使用,如有侵权,请联系后台小编删除
“邃瞳科学云”直播服务
“邃瞳科学云"平台正在收集、整理各类学术会议信息,欢迎学会、期刊、会议组织方择优在邃瞳平台上进行线上直播,希望藉此帮助广大科研人员跨越时空的限制,实现自由、畅通地交流互动。欢迎老师同学们提供会议信息(会有礼品赠送),学会、期刊、会议组织方商谈合作,均请联系翟女士:18612651915(微信同)。
投稿、荐稿、爆料:Editor@scisight.cn
扫描二维码下载
邃瞳科学云APP

