
第一作者:陈梦恬
通讯作者:肖乐辉 研究员
通讯单位:南开大学
DOI: https://doi.org/10.1021/jacs.2c04202

全文速览
双金属纳米结构是等离激元驱动光催化研究中极具潜力的纳米结构之一。然而,人们对于双金属纳米结构中热载流子的产生和利用等机制的理解仍然比较局限。基于此,本文利用单分子荧光显微成像技术,研究了Pt颗粒(PtNPs)负载的金纳米双锥(Au NBPs)光催化性能,考察了Pt负载位置对颗粒催化性能的影响。单分子成像和FDTD模拟结果表明,与全负载的核壳纳米结构相比(aPt-Au NBPs),仅在Au NBPs尖端沉积的双金属纳米结构(ePt-Au NBPs)能有效保持颗粒尖端的强电磁场,进而促进高能热电子的产生和转移,并参与光催化反应。尽管PtNPs表面晶格比Au更稳定,但颗粒尖端的强电磁场可以增强其表面晶格振动,从而增强自发表面重组,促进反应活性位点的产生。统计分析结果表明,与Au NBPs和aPt-Au NBPs相比,ePt-Au NBPs具有更强的催化效率。这些微观层面的成像测量结果为等离激元光催化剂的设计提供了重要指导。

背景介绍
等离激元纳米颗粒是极具前景的光催化剂之一,可被用于污染物分解、水分离、二氧化碳还原和有机合成等。Au和Ag是最常见的等离激元纳米颗粒,容易吸收光能并产生热载流子。然而,贵金属纳米颗粒中激发的电子容易发生自热化,并通过超快电子-声子散射进一步冷却,不利于热电子有效注入到反应物中参与化学反应。
为了减少能量耗散,提高催化活性,研究人员聚焦于异质纳米结构的探索。例如,在金属结构上负载半导体(CdSe和TiO2等),可以促进热载流子的分离和利用。借助金属-半导体界面处形成的肖特基势垒,这些被激发的热电子可以被捕获到半导体的导带中。热电子返回金属的衰变过程可被延迟,电子-空穴对的寿命也得到对应延长。通常,这种结构中的电子转移效率相对较低。而等离激元纳米粒子与过渡金属(如Pd和Pt)的复合可以避免能量势垒的形成,增加热载流子的分离和利用。该结构可有效将光能集中到具有催化活性的金属上,产生可用于催化反应的电子空穴对。同时,等离激元纳米颗粒在过渡金属的作用下,能够将光催化活性扩展到可见光和近红外区域,并在过渡金属的帮助下产生丰富的热载流子,从而实现光富集效果。目前,多种具有较高催化活性的异质纳米结构被报道。然而,对于异质纳米结构中热载流子的产生、转移和利用途径仍缺乏深入理解。例如,过渡金属的沉积位置是否会影响热载流子的分离和转移? 等离激元纳米颗粒和过渡金属之间热电子传输最有效的耦合结构是什么?这一系列机制的理解对活性双金属纳米结构的设计至关重要。
基于此,为解析异质纳米颗粒结构关联热载流子传输机理,肖乐辉研究员团队在单颗粒水平上研究了不同位点Pt负载的Au NBPs催化性能。Au NBPs具有大的光吸收截面积,与其他材料相比,Au NBPs在其两端具有强场强,有利于热载流子的产生。本文以N-脱乙酰反应为模型反应,揭示了不同位置负载Pt颗粒的Au NBPs(即全负载Au NBPs (aPt-Au NBPs))和两端负载Au NBPs (ePt-Au NBPs))催化性能。单分子成像和模拟计算结果表明,两端负载的ePt-Au NBPs在其尖端仍具有强电磁场,从而促进了热电子的生成以及向活性金属反应位点的有效转移。ePt-Au NBPs的催化性能明显优于Au NBPs和aPt-Au NBPs。此外,在强电磁场诱导下,ePt-Au NBPs具有更快的自发以及催化反应介导的表面活性位点重构速率,极大地促进了催化反应。该工作为活性双金属纳米结构的设计以及热载流子在复合金属中的传输机制的理解提供了重要的研究基础。

图文解析
图1. ePt-Au NBPs光催化反应示意图。Pt在尖端的沉积保持了ePt-Au NBPs两端的强电磁场。成像结果表明,在激光照射下,Au产生的热电子可以迅速积累并转移到PtNPs中。尖端处的强电磁场也进一步促进了PtNPs中热载流子的生成。
图2.(a)从左至右分别为Au NBPs、aPt-Au NBPs和ePt-Au NBPs的TEM图像。(b)和(c)分别为aPt-Au NBPs和ePt-Au NBPs的HAADF-STEM和元素分布图。(d)Au NBPs(红线)、aPt-Au NBPs(蓝线)和ePt-Au NBPs(绿线)的紫外-可见消光光谱。
图3.(a)aPt-Au NBP单颗粒催化反应机理及示意图。右边插图:荧光强度在on和off状态之间切换的代表性荧光图像。(b-d)Au NBP、aPt-Au NBP和ePt-Au NBP单颗粒催化反应过程中生成物随时间变化轨迹图。(e-g)Au NBPs、aPt-Au NBPs和ePt-Au NBPs单颗粒催化反应中催化速率与反应物AR浓度的关系图。(h-j)Au NBPs、aPt-Au NBPs和ePt-Au NBPs单颗粒催化反应中τoff的统计分布图。实线为指数函数拟合,其衰减常数分别为0.44, 0.74 和 1.42 s-1particle-1。(k-m)Au NBPs、aPt-Au NBPs和ePt-Au NBPs速率常数的统计分布图,实线为高斯拟合。
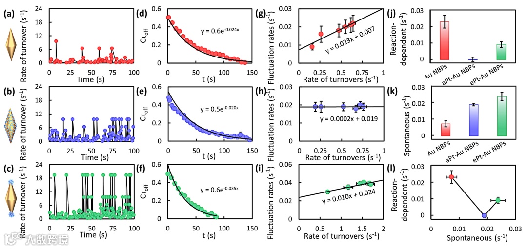
图4.(a-c)Au NBPs、aPt-Au NBPs和ePt-Au NBPs在饱和AR浓度下,催化速率随时间变化的轨迹图。(d-f)Au NBPs、aPt-Au NBPs和ePt-Au NBPs单颗粒催化轨迹中τ的自相关函数。实线是自相关函数的指数拟合,衰减常数分别为41.67、50.00和28.57 s。(g-i)Au NBPs、aPt-Au NBPs和ePt-Au NBPs在单颗粒催化反应中波动速率和催化速率之间的关系图。(j)和(k)分别为Au NBPs、aPt-Au NBPs和ePt-Au NBPs在单颗粒催化反应中催化反应诱导和自发表面重构速率直方图。(l)Au NBPs、aPt-Au NBPs和ePt-Au NBPs两种表面重构速率之间的关系图。
图5.(a)从左到右分别为Au NBPs、aPt-Au NBPs和ePt-Au NBPs电场分布的FDTD模拟。红色箭头表示入射电场的方向。(b)Au NBPs、aPt-Au NBPs和ePt-Au NBPs的催化机理示意图。(c)Ag光沉积前后Au NBPs和ePt-Au NBPs的SEM图像。(d)Ag光沉积前后Au NBPs和ePt-Au NBPs的单颗粒偏振散射响应。
图6.(a)包硅纳米结构的催化过程示意图。(b)ePt-Au NBPs(左)和ePt-Au NBPs@SiO2(右)的代表性SEM图。(c)包硅前后ePt-Au NBPs的紫外-可见消光光谱。(d)ePt-Au NBPs和ePt-Au NBPs@SiO2在催化作用下的荧光强度随时间变化的轨迹图。(e)[AR]饱和浓度下Au NBPs、Au NBPs@SiO2、ePt-Au NBPs和ePt-Au NBPs@SiO2的反应速率。

总结与展望
综上所述,光催化成像结果表明,具有局域电磁场增强的Au NBPs有利于热电子的产生。然而,从实验结果可以看出,热电子容易自热化并最终通过超快的电子-声子散射而冷却,这阻碍了化学反应的参与。在Au NBPs不同位点选择性负载Pt具有明显的催化动力学差异性。对于Pt全负载的aPt-Au NBPs核-壳结构,aPt-Au NBPs产生的热载流子倾向于快速复合。相比之下,尖端负载Pt的ePt-AuNBPs仍保持了尖端较强的电磁场效应,在催化反应中表现出增强的自发表面重组以及反应活性位点的产生。这些成像测量结果为高催化活性双金属纳米结构的设计提供了重要的理论指导。

通讯作者介绍
肖乐辉,男,南开大学化学学院研究员,博士生导师。主要围绕分子识别、动态示踪以及时空分辨测量在单分子、单颗粒层面开展研究工作。发展了具有单分子灵敏度的单颗粒显微测量技术用于疾病关联标志物的化学测量,开发了单颗粒三维取向测量显微成像技术用于纳米载体颗粒与磷脂膜相互作用动态观察,实现了纳米尺度化学反应过程的时空分辨测量。发表一作及通讯SIC论文80余篇,包括 J. Am. Chem. Soc.(3篇)、Angew. Chem. Int. Ed.(4篇)、CCS Chem.(2篇)、Nano Lett.(1篇)、ACS Nano(3篇)、Chem. Sci.(3篇)以及Anal. Chem.(28篇)等。2013年先后获湖南省科技厅杰出青年科学基金以及教育部新世纪优秀人才支持计划资助;2015年获国家自然科学基金优秀青年科学基金资助,霍英东青年教师奖;2016年入选南开大学百名青年学科带头人培养计划。目前担任《中国化学快报》青年编委。
课题组网址:https://www.xiaolhlab.cn/
声明
本文仅供科研分享,不做盈利使用,如有侵权,请联系后台小编删除
“邃瞳科学云”直播服务
“邃瞳科学云"平台正在收集、整理各类学术会议信息,欢迎学会、期刊、会议组织方择优在邃瞳平台上进行线上直播,希望藉此帮助广大科研人员跨越时空的限制,实现自由、畅通地交流互动。欢迎老师同学们提供会议信息(会有礼品赠送),学会、期刊、会议组织方商谈合作,均请联系翟女士:18612651915(微信同)。
投稿、荐稿、爆料:Editor@scisight.cn
扫描二维码下载
邃瞳科学云APP

