
第一作者:Xia Wang
通讯作者:冯新亮,于明浩
通讯单位:德累斯顿工业大学
论文DOI:https://doi.org/10.1002/anie.202209746

全文速览
尽管单原子催化剂 (SAC) 可以作为有前景的Pt 基催化剂替代品,但是其存在中心金属选择范围有限和单原子负载低等问题。本文报告了一种用于氧还原反应 (ORR) 的具有非常规轴向 O 配体(表示为 O-Zr-N-C)的五配位 Zr 基SAC。O 配体降低了 Zr 的 d 带中心,并使得 Zr 位点具有稳定的局部结构和适当的中间体吸附能力。因此,O-Zr-N-C 的 ORR 性能优于商业 Pt/C,实现了 0.91 V vs RHE 的半波电位和出色的耐用性(运行 130 小时后电流保持率为 92%)。此外,Zr 位点表现出良好的抗聚集性,能够合成高负载(9.1 wt%)的 Zr 基 SAC。该研究利用高负载催化剂来组装的锌空气电池 (ZAB),提供了创纪录的 324 mW cm-2 功率密度。

背景介绍
电化学氧还原反应 (ORR) 通过四电子途径将碱性介质中的 O2 转化为 OH-,是金属-空气电池和燃料电池等可持续能源转换技术中最重要的非均相反应之一。鉴于 ORR 的高过电位,电催化剂在决定商业化整体输出功率方面发挥着核心作用。但是,目前的商业贵金属催化剂存在地壳丰度低、成本高、耐久性差等问题。在这方面,开发新型非贵 ORR电催化剂显得极其重要。在过去的几十年中,过渡金属基催化剂作为铂基催化剂的替代品,一直是一个重点研究方向。此外,过渡金属单原子催化剂(SACs)由于其独特的优点,例如最大化原子利用率,灵活的配位结构调控,以及出色的催化选择性和活性,引起了电催化领域的广泛兴趣。这些已经报道的 SAC 通常由平面内配位的 C 或 N原子以及固定在 N 掺杂碳基质中的单个过渡金属原子组成。为了提高催化活性,人们致力于探索调控金属原子中心和平面内的配位原子,进而调控 SAC 与反应中间体的结合能。已报道的研究工作进一步提供了调节SACs活性位点的多种策略,例如面内配位数控制(例如1-4),面内杂原子掺杂(例如B,P或S),和异质金属中心设计(例如,Fe-Pt、Fe-Ni、Cu-Zn)。然而,迄今为止,所开发的能与铂竞争的ORR非贵金属 SACs,仍然仅限于少数金属元素(例如 Fe、Co、Mn 和 Zn)。这很可能是由于相对简单的平面内配位结构所导致的。另一方面,SACs 中的金属原子通常表现出较高的表面自由能,并且在 SACs 的常规合成条件(即高温热解)下倾向于聚集成金属簇或纳米颗粒。所获得的 SACs通常具有低金属负载量(< 5 wt%)。因此,它们在高工作电流密度能量转换装置中的性能仍较差。例如,基于 SAC 阴极的锌空气电池 (ZAB) 的最大输出功率只能保持在 200 mW cm-2 以下。

图文解析
图1. O-Zr-N-C催化剂的合成与表征。(a) O-Zr-N-C合成路线示意图。O-Zr-N-C 的 (b) SEM、(c) HAADF-STEM 和 (d)高分辨率 HAADF-STEM图像。(d) 中明显的亮点(红色圆圈)表明 Zr 原子分散在 N 掺杂的碳基质中。(e) O-Zr-N-C 的 EELS 元素mapping图像。(f-i) EELS 光谱,源自 (d) 中一个亮点附近的区域;说明了 (f) Zr 与 (g) C、(h) N 和 (i) O 的局部化学环境。
图 2. 单原子Zr位点的配位。(a) O-Zr-N-C的N 1s XPS光谱。O-Zr-N-C、ZrO2、ZrN 和 Zr 箔的 Zr K-edge (b) XANES 和 (c) k3 加权傅里叶变换光谱。(d) O-Zr-N-C 的 R 空间曲线拟合。插图说明了 Zr 位点在 O-Zr-N-C 中的拟合结构。灰色、蓝色、橙色和红色的球体分别代表 C、N、Zr 和 O 原子。(e) O-Zr-N-C、(f) ZrO2、(g) ZrN 和 (h) Zr 箔的 k3加权 Zr K-edge EXAFS 小波变换。
图 3. ORR 性能和催化机理。(a) ORR 极化曲线,扫描速率为 5 mV s-1,转速为 1600 rpm。(b) O-Zr-N-C、N-C 和Pt/C 在 0.80 V vs RHE 的 E1/2和 Jk。(c) O-Zr-N-C、N-C 和 Pt/C 的 Tafel 图。(d) 计算的 O-Zr-N-C 和Pt/C 的H2O2 产率和电子转移数。(e) O-Zr-N-C 和 Pt/C 在 0.70 V vs RHE 的计时电流曲线。(e) 插图显示了耐久性试验前后,O-Zr-N-C 和 Pt/C 的ORR 极化曲线。(f) O-Zr-N4-n-Cn 和 Zr-N4-n-Cn 的形成能,(n = 0, 2 和 3)。(g) 在电势偏置 U = 0.46 V 时,O-Zr-N1-C3的 ORR Gibbs 自由能分布。(h) 在 O-Zr-N1-C3 和 Zr-N1-C3中,Zr位点的 PDOS。
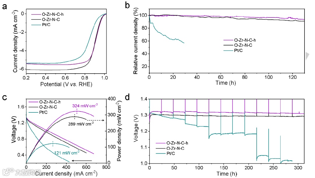
图 4. 基于高 Zr 负载催化剂的 ZAB 性能。(a) O-Zr-N-C-h、O-Zr-N-C 和 Pt/C 的 ORR 极化曲线,扫描速率为 5 mV s-1,转速为 1600 rpm。(b) O-Zr-N-C-h、O-Zr-N-C 和 Pt/C 在 0.70 V vs RHE 的计时电流曲线。(c) 基于O-Zr-N-C-h、O-Zr-N-C-和 Pt/C的ZABs 的放电极化曲线和相应的功率密度曲线。(d) 基于O-Zr-N-C-h-、O-Zr-N-C-和 Pt/C 的 ZABs 在 10 mA cm-2 下的放电曲线。

总结与展望
基于上述结果,本文报道一种新的非贵金属 Zr 基 SAC,其在碱性电解质中具有超越铂的 ORR 活性。具有非常规轴向 O 配体的独特五配位 Zr 位点,使得 O-Zr-N-C 催化剂具有优异的 ORR 催化活性(E1/2为 0.91 V,在 0.80 V vs.RHE 下的动力学电流密度为 76 mA cm-2)、选择性(<8% H2O2 产率)和耐用性(130小时后保持 92% 电流)。单原子 Zr 位点的优异化学稳定性可以进一步用于合成高 Zr 负载催化剂(9.1 wt%),这使得所组装的基于 SAC 的 ZAB 具有创纪录的高功率密度(324 mW cm-2)。此外,理论模型表明,轴向 O 配体在降低 Zr 的 d 带中心和削弱 O 中间体在 Zr 位点上的吸附能方面具有重要作用。这些机理证明为优化或重新设计更好的 Zr 基 SAC(例如,作为酸性电解质中的芬顿惰性 ORR 催化剂)提供了有价值的指导。此外,该研究强调,除了面内配位结构调节外,控制轴向配位可能是先进 SACs(用于 ORR 和其他电催化过程)新设计方向。
声明
本文仅供科研分享,不做盈利使用,如有侵权,请联系后台小编删除
“邃瞳科学云”直播服务
“邃瞳科学云"平台正在收集、整理各类学术会议信息,欢迎学会、期刊、会议组织方择优在邃瞳平台上进行线上直播,希望藉此帮助广大科研人员跨越时空的限制,实现自由、畅通地交流互动。欢迎老师同学们提供会议信息(会有礼品赠送),学会、期刊、会议组织方商谈合作,均请联系翟女士:18612651915(微信同)。
投稿、荐稿、爆料:Editor@scisight.cn
扫描二维码下载
邃瞳科学云APP

