新型冠状病毒的出现影响了全球数亿人的生活。目前,病毒已蔓延至全世界,影响了全球超过5.4亿人,并造成约633万人死亡。早发现、早隔离和早治疗是目前公认的降低重症率和死亡率的有效手段。因此,发展快速和敏感的检测方法是至关重要的。
核衣壳蛋白(N蛋白)作为冠状病毒的主要结构蛋白,在调控病毒复制和转录过程中的RNA合成等方面发挥着重要作用。由于N蛋白序列的保守性和在感染过程中的高度免疫原性,常被用作诊断和检测工具。安徽农业大学卢莹副教授团队与中国科学技术大学罗昭锋研究员团队合作,以N蛋白适配体互补寡核苷酸作为探针构建了电化学适体传感器用于超灵敏检测COVID-19。该工作采用了由氧化还原基团标记的N蛋白适体的互补寡核苷酸(cDNA)作为探针的策略,将二茂铁基团(Fc)标记的cDNA与无标记的N蛋白适配体杂交后的双链DNA(ds-DNA)修饰在金电极表面。ds-DNA的刚性结构支撑Fc远离电极表面,导致检测前信号较弱。与靶标孵育后,适体从ds-DNA中解离出来并优先与溶液中的N蛋白结合,此时电极表面的cDNA会自发转化为发卡结构,通过记录由Fc与电极表面之间的距离减小引起的电流信号变化实现对N蛋白的检测。这项工作有望通过提供一种敏感的策略来早期检测COVID-19,降低延迟治疗引起的感染死亡率。
图1 基于N蛋白适配体(A)和互补寡核苷酸(B)为探针的电化学适配体传感器示意图
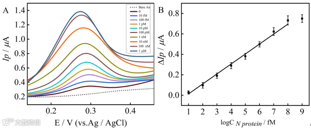
图2 (A)在Tris缓冲器中记录的差分脉冲伏安(DPV)信号 (B) N蛋白浓度的对数与ΔIp值的关系
图3向咽拭子(A)和血液样本(B)中加入不同浓度N蛋白的DPV值
本文发表在Biosensors and Bioelectronics期刊(IF:12.545),第一作者为安徽农业大学硕士生于梦娣,通讯作者为安徽农业大学卢莹副教授和中国科学技术大学罗昭锋研究员。本文得到了安徽农业大学校医院宋旻医生和蒋红娟医生的大力支持。
Mengdi Yu, Xiaohui Zhang, Xin Zhang, Qurat ul ain Zahra, Zenghui Huang, Ying Chen, Chunxia Song, Min Song, Hongjuan Jiang, Zhaofeng Luo and Ying Lu. An Electrochemical Aptasensor with N Protein Binding Aptamer-Complementary Oligonucleotides as Probe for Ultra-sensitive Detection of COVID-19. Biosens. Bioelectron., 2022, 213, 114436, 10.1016/j.bios.2022.114436
声明
本文仅供科研分享,不做盈利使用,如有侵权,请联系后台小编删除
“邃瞳科学云”直播服务
“邃瞳科学云"平台正在收集、整理各类学术会议信息,欢迎学会、期刊、会议组织方择优在邃瞳平台上进行线上直播,希望藉此帮助广大科研人员跨越时空的限制,实现自由、畅通地交流互动。欢迎老师同学们提供会议信息(会有礼品赠送),学会、期刊、会议组织方商谈合作,均请联系翟女士:18612651915(微信同)。
投稿、荐稿、爆料:Editor@scisight.cn
扫描二维码下载
邃瞳科学云APP


