
第一作者:陈向艳
通讯作者:沈少华教授
通讯单位:西安交通大学动力工程多相流国家重点实验室
论文DOI:10.1021/acsmaterialslett.2c00363

全文速览
调节半导体光电极界面间能带匹配对强化光生载流子传输、优化光电化学性能至关重要。本工作利用化学浴沉积及磁控溅射技术在CdTe吸光材料表面依次生长CdS、TiO2层,建立了载流子定向传输通道,实现了高效光电化学析氢反应。实验结果显示所获得的CdTe/CdS/TiO2/Pt光阴极在一个太阳光(AM 1.5 G,100 mW cm-2)照射下,光电流密度达到-9.6 mA cm-2(-0.4 V vs. RHE)。研究结果表明CdTe/CdS/TiO2 多层异质结具有良好匹配的能带结构,促进电子从 CdTe到CdS再到TiO2的高效传输。此外,由于 TiO2 保护层对 CdTe/CdS 的表面保护作用,CdTe/CdS/TiO2/Pt光阴极显示出良好的光电化学稳定性。

背景介绍
光电化学分解水制氢是实现太阳能向氢能转化的理想方法,而开发稳定、高效的光电极材料是实现规模化太阳能制氢的关键。碲化镉(CdTe)是一种理想的光吸收材料,其禁带宽度为~1.45 eV,光吸收系数大于1×104 cm-1,且导带位置有利于驱动水的还原反应发生。因此,p-CdTe可作为光阴极进行光电化学分解水产氢。然而,载流子传输效率低、光电化学稳定性较差等缺点严重限制了CdTe光阴极的光电化学分解水性能。对CdTe进行表界面结构改性,强化载流子传输,提高电极表面化学反应活性,对实现高效光电化学分解水制氢至关重要。截止目前,针对CdTe光阴极的改性研究在提高其光电化学反应活性方面取得了较大进展,然而在提升光电化学稳定性方面还存在很大空间。TiO2作为表面保护层可有效防止CdTe光腐蚀反应发生。然而,CdTe/TiO2界面间较大的导带带偏会造成电子能量损失,影响电荷传输。能否通过引入中间层解决CdTe与TiO2界面间的能带匹配问题,实现载流子在固/固界面高效传输,最终获得高效的光电化学分解水制氢?

本文亮点
1. 本工作从界面能带调控角度出发,综合近空间升华法、化学浴沉积、磁控溅射等薄膜制备技术,成功构建并合成CdTe/CdS/TiO2/Pt多层复合光阴极,并实现了稳定高效光电化学分解水制氢。

图文解析
本文分别利用近空间升华法(CSS)、化学浴沉积(CBD)、磁控溅射(MS)成功制备CdTe/CdS/TiO2多层异质结(图1a),且CdS/TiO2层均匀包覆在CdTe表面(图1b,c,d,f)。在此结构中,CdTe沿(111)晶面生长,CdS沿(002)晶面生长,TiO2呈无定形态(图1e,g)。
图1 CdTe/CdS/TiO2多层异质结的制备流程及形貌、结构特征
图2 CdTe/CdS/TiO2/Pt光阴极的光电化学活性及稳定性
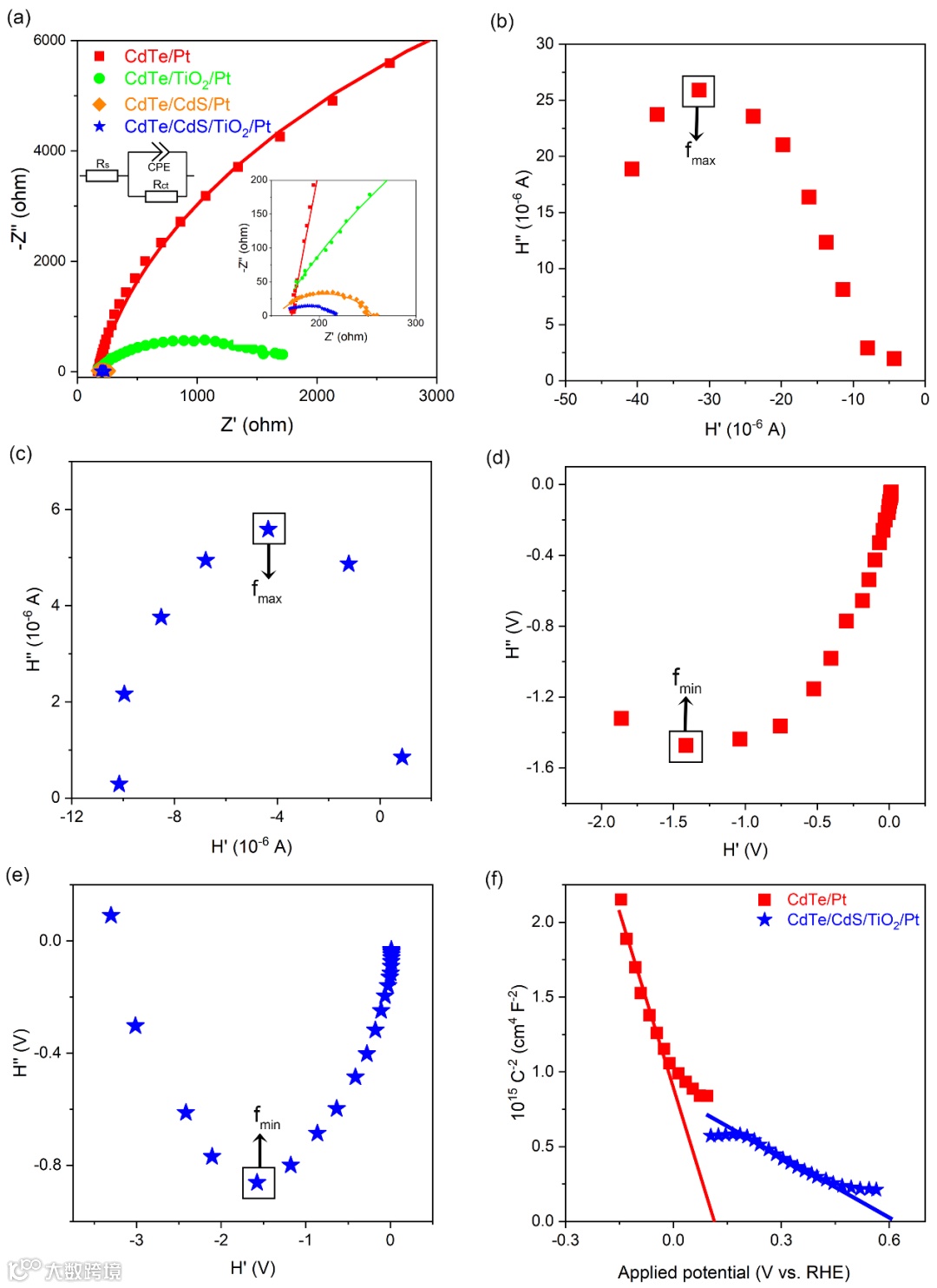
图3 CdTe/CdS/TiO2/Pt的表界面电荷传输特性
图4 CdTe/CdS/TiO2异质结界面能带结构及电荷传输特性

总结与展望
本工作从界面能带调控角度出发成功构建并制备了CdTe/CdS/TiO2/Pt多层复合光阴极用于稳定高效的光电化学分解水制氢。与CdTe/Pt光阴极相比,CdTe/CdS/TiO2/Pt光阴极显示出显著提升的光电流密度(-0.4V vs. RHE偏压下达到-9.6 mA cm-2),且起始电位正向移动了530 mV。研究结果表明CdTe/CdS/TiO2异质结为载流子从CdTe到CdS再到TiO2的定向传输提供了通道,抑制了电荷复合。此外,由于TiO2的表面保护作用,CdTe/CdS/TiO2/Pt光阴极具有良好的光电化学稳定性。本研究为设计和构建多层复合光电极提供了一种可借鉴的新思路。

作者介绍
陈向艳,博士毕业于西安交通大学(导师:沈少华教授),现就职于西北有色金属研究院,职称为工程师,主要研究方向包括功能薄膜开发及半导体光电极光电化学性能研究,以第一作者在ACS Materials Letters、ACS Energy Letters等期刊发表论文6篇。
沈少华,西安交通大学教授、博士生导师,动力工程多相流国家重点实验室副主任,博士毕业于西安交通大学,加州大学伯克利分校博士后。研究方向为太阳能光电催化能源转化。学位论文获“全国百篇优秀博士学位论文”,入选中组部“万人计划”青年拔尖人才和教育部“青年长江”;获陕西省教学教育成果特等奖(第二完成人)、陕西省科学技术一等奖(第三完成人)和国家自然科学二等奖(第三完成人)。以第一/通讯作者在Nature Energy、Advanced Materials、Energy & Environmental Science等SCI期刊上发表论文120余篇,SCI他引13000余次。担任Science Bulletin、Chinese Chemical Letters、Battery Energy、Carbon Neutrality等期刊编委。
声明
本文仅供科研分享,不做盈利使用,如有侵权,请联系后台小编删除
“邃瞳科学云”直播服务
“邃瞳科学云"平台正在收集、整理各类学术会议信息,欢迎学会、期刊、会议组织方择优在邃瞳平台上进行线上直播,希望藉此帮助广大科研人员跨越时空的限制,实现自由、畅通地交流互动。欢迎老师同学们提供会议信息(会有礼品赠送),学会、期刊、会议组织方商谈合作,均请联系翟女士:18612651915(微信同)。
投稿、荐稿、爆料:Editor@scisight.cn
扫描二维码下载
邃瞳科学云APP

