
第一作者:王丽明、张利利
通讯作者:马炜、周震
通讯单位:郑州大学
论文DOI:10.1002/adfm.202203342

全文速览
电解水制氢具有电能转化效率高、产氢纯度高等优点。铂(Pt)基催化剂由于其独特的电子结构和化学性质,在电解水制氢领域得到了广泛研究。然而,金属铂的价格昂贵、储量有限,以及大多铂基催化剂的原子利用率低,这些限制了铂基催化剂的规模化应用;并且,利用具有单一电催化功能的Pt基催化剂构建全解水系统耗时耗力。因此,开发对析氢反应(HER)和析氧反应(OER)兼具高效电催化性能的双功能低Pt催化剂应用于全解水领域具有重要意义。近期,郑州大学马炜副教授、周震教授团队设计制备了具有高负载量铂单原子的复合催化剂,探索了Pt单原子与层状α-NixFe1-x(OH)2载体之间的相互作用以及电子结构变化对全解水催化过程的影响,为高效催化剂的设计制备提供新的实验基础和理论支撑。

背景介绍
具有低配位的Pt单原子催化剂的原子利用率高(接近100%),可以在提高析氢反应活性的同时大大降低Pt用量。同时,Pt单原子与载体之间的相互作用可以优化载体的电子结构,从而协同提高HER和OER性能,进而提升电解水效率。另外,具有较高的比表面积的层状过渡金属氢氧化物是一种优良的催化剂载体,但是具有完整结构的氢氧化物的活性位点较少、本征电催化活性较低。具有缺陷的层状氢氧化物与金属单原子结构相结合,可望提高催化剂本征活性和活性位点数量。特别地,由于氧具有较高的电负性,层状氢氧化物的阳离子空位锚定金属原子后可以形成金属-氧键(M-O),能够加速与含氧基团的反应,从而提高电催化性能。
本工作利用简便温和的原位氧化技术制备了层状α-NixFe1-x(OH)2/CNTs负载的Pt单原子催化剂(Pt-Ni2Fe1-T,T表示氧化时间)。H2PtCl6作为氧化剂,使α-NixFe1-x(OH)2/CNTs中的Fe(OH)2被氧化为FeOOH并形成Fe空位;同时,Pt原子被原位锚定在Fe空位上,从而在层状α-NixFey(OH)2纳米片表面形成稳定的Pt单原子催化剂;通过控制Fe的含量,可以实现铂单原子催化剂的可控构筑,Pt单原子负载量高达6.15 wt%。Ni2/3Fe1/3(OH)2上的Pt活性位点降低了析氢热力学势垒,具有较高的HER活性。同时,单原子Pt调节了层状NiFe氢氧化物的电子结构,增强了对OH*的吸附,并促进了OOH*在催化剂上的去质子化过程,从而提高了复合催化剂的OER性能。

图文解析
图1,复合催化剂的结构分析。(a-b)Pt-Ni2Fe1-24的透射电镜图;(c)XRD图谱;(d)Pt-Ni2Fe1-24的球差电镜图;(e)Ni 2p,(f)Pt 4f的XPS图谱(i:vFe-Ni2Fe1-24,空气氧化得到的具有Fe空位的层状氢氧化物;ii:Pt-Ni2Fe1-12;iii:Pt-Ni2Fe1-24;iv:Pt-Ni2Fe1-36)。
图2,Pt-Ni2Fe1-24的XAFS图谱,(a)Fe K边XANES图谱;(b)Fe原子的FT-EXAFS;(c)Fe2O3和(d)Pt-Ni2Fe1-24中Fe原子的小波变换图;(e)Pt L边XANES图谱;(f)Pt原子的FT-EXAFS;(g)Pt foil和(h)Pt-Ni2Fe1-24中Pt原子的小波变换图。
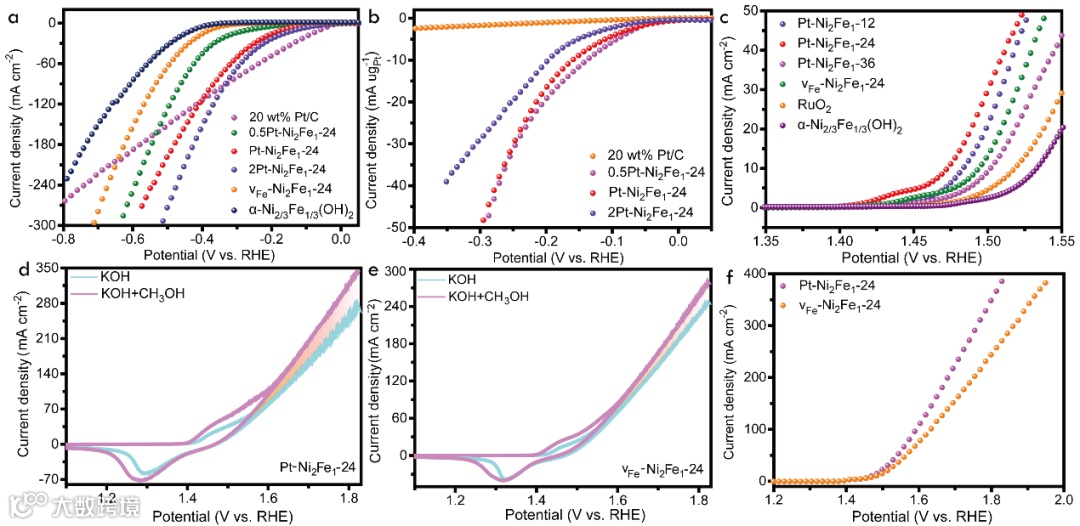
图3,催化剂性能测试。(a)在1.0 M KOH溶液中经过iR校正的HER极化曲线;(b)在1.0 M KOH溶液中的HER质量比活性曲线;(c)在1.0 M KOH溶液中经过iR校正的OER极化曲线;(d)Pt-Ni2Fe1-24和(e)vFe-Ni2Fe1-24在1.0M KOH溶液(含/不含0.01 M CH3OH)中的循环伏安曲线;(f)1.0 M KOH和0.01 M CH3OH的混合溶液中iR校正的极化曲线
图4,DFT计算。(a)Pt-Ni2Fe1-24和vFe-Ni2Fe1-24中各活性位点的HER反应吉布斯自由能图(i: Pt on Pt-Fe2Ni1-24(110), ii: Fe on vFe-Fe2Ni1-24 (110), iii: Ni on Pt-Fe2Ni1-24 (110), iv: Ni on vFe-Fe2Ni1-24(110), v: Fe on Pt-Fe2Ni1-24 (110), vi: O on Pt-Fe2Ni1-24(001));(b)Pt-Ni2Fe1-24和vFe-Ni2Fe1-24中各金属位点的偏态密度图;Pt-Ni2Fe1-24和vFe-Ni2Fe1-24中(c)Ni和(d)Fe位点上的吉布斯自由能图;Pt-Ni2Fe1-24的(e)HER和(f)OER的反应机理图。
图5,全解水性能研究。Pt-Ni2Fe1-24@NF和RuO2||20 wt% Pt/C@NF的全解水性能测试,(a)线扫描极化曲线;(b)计时电位曲线;(c)Pt-Ni2Fe1-24@NF的两电极体系的线扫描极化曲线;(d)H2和O2的理论(线)和实际(点)产量;(e)电解水产H2和O2的法拉第效率;(f)太阳能转换效率。

总结与展望
利用简单的原位氧化过程将铂单原子负载在层状α-NixFe1-x(OH)2的Fe空位处,实现了铂单原子催化剂的可控构筑。Pt单原子和α-NixFey(OH)2之间的电子转移有效提升了催化剂的OER和HER活性。而且,较高的太阳能-氢能转化效率证明α-NixFe1-x(OH)2负载的Pt单原子催化剂具有潜在的应用价值。

第一作者简介
张利利,讲师,硕士生导师。博士毕业于华南理工大学,2019年7月入职郑州大学化工学院。在Angewandte Chemie International Edition,Chemical Engineering Journal,Small和Chemical Science等期刊发表文章10余篇。主要研究领域为电催化与电合成。


通讯作者简介
马炜,副教授,硕士生导师。博士毕业于中南大学和日本国立物质材料研究所,2016年1月入职郑州大学化工学院。在Advanced Energy Materials、ACS Nano、Journal of Materials Chemistry A、Nanoscale和ACS Sustainable Chemistry & Engineering等期刊发表论文30余篇。主要研究领域为功能材料的可控制备与电催化。

周震,郑州大学“长江学者”特聘教授、化工学院院长。主持国家重点研发计划项目课题和国家自然科学基金重点项目等研究。通过高通量计算、机器学习与实验相结合研究能源存储与转化材料与体系。在国内外期刊发表论文300余篇。论文被引用30000余次,h-index为102。2014-2021年连续八年入围“爱思唯尔”中国高被引学者榜。2018-2021年连续四年入选“科睿唯安”全球高被引科学家。2020年入选英国皇家化学会会士(FRSC)。现为Journal of Materials Chemistry A和Green Energy and Environment副主编、Batteries & Supercaps等七本期刊编委以及中国电子学会化学与物理电源技术分会第八届委员会委员。

声明
本文仅供科研分享,不做盈利使用,如有侵权,请联系后台小编删除
“邃瞳科学云”直播服务
“邃瞳科学云"平台正在收集、整理各类学术会议信息,欢迎学会、期刊、会议组织方择优在邃瞳平台上进行线上直播,希望藉此帮助广大科研人员跨越时空的限制,实现自由、畅通地交流互动。欢迎老师同学们提供会议信息(会有礼品赠送),学会、期刊、会议组织方商谈合作,均请联系翟女士:18612651915(微信同)。
投稿、荐稿、爆料:Editor@scisight.cn
扫描二维码下载
邃瞳科学云APP

