
第一作者:马新志
通讯作者:张喜田,陈玉金
单位:哈尔滨师范大学,哈尔滨工程大学
文 章 简 介
本篇文章根据催化反应实际发生在催化剂和电解液界面处的事实,选取具有内在高析氢(HER)活性,弱OER活性的双金属(Co1−xNix)3C作为光热OER催化剂模型,利用物理会聚方法使光热作用发生在(Co1−xNix)3C和电解液界面处。
研 究 背 景
太阳辐射引起的光热效应可以加速电化学析氧反应(OER)缓慢的动力学过程。然而,传统光照加热整个电解液的方式使得该技术对光热作用的利用率不高,而且对机制的描述尚不清楚。这导致合适的光热OER催化剂也没有得到很好的开发,限制了该技术的设计和适用性。
本 文 要 点
要点一:界面光热作用对OER活性影响
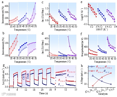
图1. 电化学参数在光(上)暗(下)条件下随温度的变化情况。(a)LSV;(b)10 mA cm-2的过电势;(c和d)Tafel值
图2. 电化学参数在光(上)暗(下)条件下随温度的变化情况。(a和b)亲疏水环境下Cdl;(c和d)亲疏水环境下的Rct和Rmt;(e)光暗条件下的活化能;(f)光暗条件下催化剂驱动10 mA cm-2的过电势随电解液温度变化规律;(g)光暗电流响应变化;(h)OH-扩散系数
电化学测试结果证明(Co0.8Ni0.2)3C的OER活性优于(Co0.9Ni0.1)3C和Co3C(图1)。当进行界面光照时,(Co0.8Ni0.2)3C的OER活性瞬间增加,甚至明显高于其在电解液温度为50oC时黑暗条件下的OER活性。光照和黑暗条件下,催化剂在驱动10 mA cm-2时的过电压、Tafel值均随电解液温度升高而下降,其下降程度随Ni含量增加而呈线性减弱。我们对变温环境下获得亲疏水环境电化学表面积结果、阻抗分析、势垒变化等结果进行分析发现,Co 在(Co1−xNix)3C中,是光响应中心和OH−吸附中心,Ni主要起到提升导电性的作用(图2)。
要点二:界面光热作用提升OER活性的化学根源
图3. 界面光热作用化学机制讨论。(a)(Co1-xNix)3C在 50 oC电解液中的光暗条件CV曲线;(b)(Co0.8Ni0.2)3C光暗条件CV曲线随温度变化情况;(c-f)由(b)和25oC相比,不同温度对Co/Ni+2/+3的氧化峰电流密度变化、氧化峰电压变化、表面吸附氧的影响
要点三:界面光热作用提升OER活性的物理根源
图4. 界面光热作用物理机制讨论(a)紫外-可见光谱;(b)电阻率随温度变化曲线;(c)载流子浓度和类型随温度变化情况;(d)光电响应;(e)红外图像
文 章 链 接
Photothermal-effect-promoted interfacial OH− filling and the conversion of carrier type in (Co1−xNix)3C during water oxidation
https://pubs.rsc.org/en/content/articlelanding/2022/ta/d1ta11015b
通 讯 作 者 简 介
张喜田 教授
博士生导师,龙江学者特聘教授,黑龙江省杰青。现任哈尔滨师范大学常务副校长,光电带隙材料教育部重点实验室常务副主任,低维体系与介观物理黑龙江省重点实验室主任,黑龙江省科技创新团队首席专家,黑龙江省领军人才梯队“535工程凝聚态物理学科后备带头人,黑龙江省优秀硕士生导师,黑龙江省模范教师,黑龙江省劳动模范,黑龙江省高校师德先进个人。主要从事能源存储器件(超级电容器和电池)及其电极材料方面的研究,包括(1)超级电容器电极材料的研究与开发;(2)锂离子电池正极材料的设计和合成及其电化学性能;(3)锂硫电池的电极材料、电解液和隔膜的设计、合成;(4)金属锂负极高性能人工SEI开发及抑制枝晶机理研究;(5)钴基碳化物、硼化物在全解水及锌-空气电池中多功能催化性能研究。迄今为止,在《Adv. Mater.》,《Angew. Chem. Int. Ed.》,《Appl. Phys. Lett.》,《Phys. Rev. B》,《Energy Environ. Mater.》等国内外相关领域核心刊物上发表论文200多篇,授权中国发明专利8项,主持完成国家自然科学基金等课题20余项,荣获黑龙江省科学技术一等奖等省部级奖多项。
陈玉金 教授
二级教授,博士生导师,龙江学者特聘教授,黑龙江省杰青,教育部优秀人才,黑龙江省光学协会理事,中国材料学会高级会员,中国物理学会终身会员。现任哈尔滨工程大学,物理与光电工程学院微纳光电材料与器件团队负责人。主持各类基金等项目40余项,其中,国家自然科学基金5项。主要从事微纳材料与器件等方面的研究工作,包括(1)基于微纳米材料的电磁功能薄膜和半导体元器件微加工制备、性能测试及应用研究。重点研究内容为电磁功能薄膜的设计与构建,电磁功能薄膜的电/磁性/光学特性的测试以及柔性/可裁剪电磁功能薄膜的应用研究;(2)能源材料及器件主要包括锂/钠离子电池、太阳能电池、超级电容器、金属-空气电池以及电化学制氢/氧等。迄今为止,先后在《Adv. Energy Mater.》,《Small Methods》,《Nano Energy》,《Chem. Mater.》,《J. Mater. Chem. A》,《Appl. Phys. Lett.》等期刊上发表150余篇论文,ESI高被引论文20余篇,他引次数10000余次。获得授权发明专利10余项。2014年“金属氧化物纳米异质结构的设计、构建及其协同效应研究”获黑龙江省自然科学二等奖(排名第一)。
第 一 作 者 介 绍
马新志 博士
硕士生导师,讲师,生于1987年3月,2020年博士毕业于哈尔滨工程大学,师从陈玉金教授和张喜田教授。现就职于哈尔滨师范大学,光电带隙材料教育部重点实验室/物理与电子工程学院。主要从事光辅助电化学水分解制备氢能、锌-空气电池空气阴极催化剂、以及锂硫电池正极的研究工作。在国内外知名期刊《J. Energy Chem.》,《Chin. Chem. Lett.》,《Adv. Energy Mater.》,《Energy Environ. Mater.》,《J. Mater. Chem. A》,《J. Power Sources》,《ACS Sustainable Chem. Eng.》,《Catal. Sci. Technol.》,《Batteries & Supercaps》,《J. Colloid Interface Sci.》等发表论文40余篇,影响因子超过270,H因子11。
课 题 组 介 绍
课题组主要由哈尔滨师范大学现任常务副校长张喜田教授、物理与电子工程学院院长李林教授,高红教授(前任院长)等多位专家和博士组成。实验室面积超过2000 m2,主要从事新能源材料与器件的研究,如锂电池/锂离子电池中正、负极材料,高比能液态和固态金属-空气电池等,光/电解水制氢等。课题组与世界多所顶尖大学建立学术联系,派送多名优秀学生到清华大学、香港中文大学、澳门大学联合培养。
课 题 组 招 聘
课题组依托哈尔滨师范大学光电带隙材料教育部重点实验室/物理与电子工程学院,该平台拥有近6000 m2科研实验室空间,以及20余台套大型仪器设备,如SEM、TEM、XPS、Raman等。现面向社会招聘物理、电子、材料、化学等学科的优秀人才。
主要招聘方向:(1)带隙能源材料及器件;(2)带隙光转换材料及应用(3)光电带隙材料理论研究。
招聘需求:(1)高层次人才;(2)优秀博士(后)人才。
详询联系人:周老师18646112599,邮箱:zhouxj@hrbnu.edu.cn
欢迎来函或致电咨询,招聘启事常年有效。
声明
本文仅供科研分享,不做盈利使用,如有侵权,请联系后台小编删除
“邃瞳科学云”直播服务
“邃瞳科学云"平台正在收集、整理各类学术会议信息,欢迎学会、期刊、会议组织方择优在邃瞳平台上进行线上直播,希望藉此帮助广大科研人员跨越时空的限制,实现自由、畅通地交流互动。欢迎老师同学们提供会议信息(会有礼品赠送),学会、期刊、会议组织方商谈合作,均请联系翟女士:18612651915(微信同)。
投稿、荐稿、爆料:Editor@scisight.cn
扫描二维码下载
邃瞳科学云APP

