
第一作者:王洪涛
通讯作者:定明月教授、顾向奎研究员
通讯单位:武汉大学
论文DOI:10.1016/j.apcatb.2022.121840

全文速览
近日,武汉大学定明月教授团队在Applied Catalysis B: Environmental(影响因子24.319)上发表了题为“Selective C-O bond activation of biomass-derived γ-valerolactone to biofuels over MFI-mediated Co-based synergetic catalysts”的研究论文(DOI:https://doi.org/10.1016/j.apcatb.2022.121840)。该文制备的沸石封装型Co@HZSM-5催化剂在生物质基γ-戊内酯(GVL)转化过程中对戊酸燃料导向的环C-O键活化模式表现出良好的定向控制能力。优异的GVL转化率以及高达93.3%的戊酸燃料(戊酸&戊酸乙酯)选择性等性能得益于该封装型催化剂内沸石骨架对金属钴的空间限域效应,以及钴位点和沸石酸性位点的协同效应。而通过浸渍法制备的Co/HZSM-5负载型催化剂则倾向于戊烷燃料导向的环C-O键活化模式。理论计算表明,在钴封装和钴负载两种催化微环境下,GVL分子的两种环C-O键有着明显不同的活化程度,该现象是MFI沸石介导的钴基催化剂选择性活化GVL环C-O键的关键因素。

背景介绍
在将生物质衍生基质催化转化为有价值的燃料和化学品的过程中,通过精确驱动特定的级联反应通道以实现对目标产物的选择性控制,是一个具有挑战性的研究课题。其中,作为绿色经济的关键一环,GVL涉及环C-O键断裂的开环反应是其转化升级的先决步骤,环C-O键活化模式以及后续对应的级联反应路径对GVL下游特定化学价值链的定向合成至关重要。鉴于GVL催化转化过程中复杂的化学键断裂/形成,需要设计具有定制功能的金属-酸双/多功能催化剂以精确控制其纳米级反应特征。然而,传统上使用的钌、铂、钯等贵金属基负载型催化剂的制备成本较高,且该类催化剂对环C-O键较差的活化控制能力使GVL级联反应过程难以受控而产生较多的副产物。此外,沸石表面金属物种较差的分散性以及在反应过程中的烧结现象也是负载型催化剂存在的重要问题。因此,设计具有诱导特定环C-O键活化以定向驱动GVL级联反应通道特征的经济高效且稳定的催化系统具有非常重要的意义。

图文解析
由TEM电镜图(图1A,B)及FIB-SEM的EDS元素分布Mapping图(图1C-H),可以直接观察到Co@HZSM-5催化剂晶体内高度分散且颗粒均匀的钴物种(钴粒径约3.0 nm),由此表明该沸石封装型催化剂被成功合成。
图1 Co@HZSM-5催化剂的形貌结构
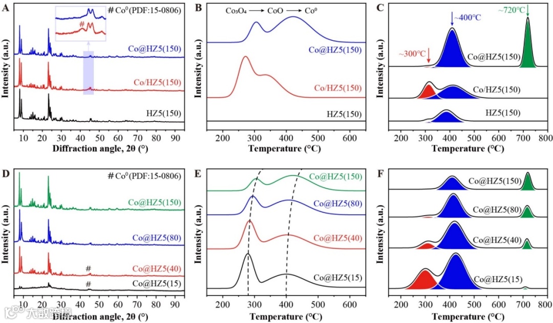
由XRD谱图(图2A)可以看到,与载钴量几乎相同的Co/HZSM-5样品相比,Co@HZSM-5中金属Co0物相的特征衍射峰几乎消失不见,这表明Co@HZSM-5中沸石骨架的限域效应使得封装在其内部的钴物种具有较小的尺寸和更高的分散度。由H2-TPR(图2B)可以看到,与Co/HZSM-5相比,Co@HZSM-5表现出较高的还原峰温,这主要是由于Co@HZSM-5晶体中钴纳米颗粒高度分散,以及由此产生的较强的金属-载体相互作用。由NH3-TPD(图2C)可知,与纯HZSM-5沸石相比,Co/HZSM-5的弱酸量和Co@HZSM-5的强酸量大幅增加,这表明了沸石晶体外表面钴物种的弱酸性质及沸石晶体内部钴物种的强酸角色。另外,具有较低硅铝比(15)的Co/HZSM-5表现出较差的MFI晶相(图2D),随硅铝比的增加,Co@HZSM-5样品的还原峰逐渐向高温偏移(图2E),这主要源于Co@HZSM-5晶体对钴物种封装能力的增加提高了相应Co@HZSM-5样品的金属-载体相互作用。图2F的NH3-TPD进一步证实了该Co@HZSM-5催化剂的依赖于骨架硅铝比的金属钴封装能力。
图2 MFI介导的Co基负载型及封装型系列催化剂样品的物化性质
由图3可以看到,纯HZSM-5沸石的催化活性较差,戊酸产物的选择性仅为60.2%。Co/HZSM-5大幅提高了GVL的转化率,且戊烷为其主要产物,这与本团队之前报道的GVL通过Co/HZSM-5双功能催化剂制取戊烷燃料的反应性能一致。在Co@HZSM-5催化剂上,戊酸的选择性可显著增加至98.7%。当以GVL的乙醇溶液为原料时,戊酸&戊酸乙酯的总选择性可高达93.3%,这体现了Co@HZSM-5对GVL制取戊酸燃料优异的定向催化能力。相比之下,以S-1为惰性载体的Co@S-1则表现出较低的催化活性和较差的单一产物选择性控制能力,产物中存在较多的2-甲基四氢呋喃和戊醇等副产物,这表明了Co@HZSM-5催化剂中沸石载体的酸性环境在控制GVL反应路径方面的重要性。
图3 MFI介导的Co基负载型及封装型催化剂样品的催化性能
由于GVL的环C-O键断裂是其进行后续转化的先决条件,故对GVL在两种催化剂模型(Co@HZSM-5 VS Co/HZSM-5)上的环C-O键断裂模式进行了对比研究。由图4A可以看到,在具有沸石封装结构的Co@HZSM-5模型上,GVL环C4-O1键断裂的能垒为0.29 eV,其远低于环C1-O1断键的能垒(0.74 eV),这表明GVL分子在Co@HZSM-5催化剂上更容易进行C4-O1键的活化及断裂(图4C)。此外,基于Co@HZSM-5模型上的C4-O1键断裂模式,其开环中间体CH3CH-(CH2)2-C(OH)=O可以很容易通过C4位的加氢反应生成戊酸,这与Co@HZSM-5催化剂上较高的戊酸产物选择性的实验结果相一致。由图4B可以看到,GVL在Co/HZSM-5上能够进行一种无能垒的自发C1-O1键断裂。我们发现,由于定向力的存在,HZSM-5质子酸位点首先攻击GVL的O1位,同时,由于Co活性中心较强的供电子能力,其很容易与GVL羰基电子受体的C1键合。因此,金属钴与沸石质子酸位点的协同作用使得GVL分子中C1和O1原子之间形成较强的结构张力,促进C1-O1的自发断键进而生成CH3CH(OH)-(CH2)2-C=O中间体(图4D),该中间体可以进一步经过多步加氢和脱水反应生成戊烷产物。
图4 GVL分别在(A,C)Co@HZSM-5和(B,D)Co/HZSM-5催化剂模型上通过环C-O键断裂进行开环反应的反应势能面、优化的吸附构型及开环中间体示意图。

总结与展望
该研究成功地设计了一种沸石封装型Co@HZSM-5催化剂,即高度分散且稳定的钴纳米颗粒被封装在HZSM-5沸石晶体中,该催化剂在GVL转化过程中能够精确驱动戊酸燃料导向的反应路径。优异的GVL转化效率和戊酸选择性等催化性能得益于该封装型催化剂内沸石骨架对钴物种的空间限域效应,以及钴金属位点和沸石骨架酸性位点的协同催化效应。密度泛函理论计算进一步表明,在钴封装(Co@HZSM-5)和钴负载(Co/HZSM-5)两种催化环境下,GVL分子的两种环C-O键有着明显不同的活化程度,该现象是MFI沸石介导的钴基催化剂选择性活化GVL环C-O键的关键因素。本工作在GVL环化学中进行的选择性诱导C-O键活化的催化策略为设计合理的双/多功能催化剂以实现生物质向燃料和化学品的定向转化提供了新的思路借鉴。

参考文献
Wang H et al. Selective C-O bond activation of biomass-derived γ-valerolactone to biofuels over MFI-mediated Co-based synergetic catalysts. Applied Catalysis B: Environmental, 2022.
https://doi.org/10.1016/j.apcatb.2022.121840
声明
本文仅供科研分享,不做盈利使用,如有侵权,请联系后台小编删除
“邃瞳科学云”直播服务
“邃瞳科学云"平台正在收集、整理各类学术会议信息,欢迎学会、期刊、会议组织方择优在邃瞳平台上进行线上直播,希望藉此帮助广大科研人员跨越时空的限制,实现自由、畅通地交流互动。欢迎老师同学们提供会议信息(会有礼品赠送),学会、期刊、会议组织方商谈合作,均请联系翟女士:18612651915(微信同)。
投稿、荐稿、爆料:Editor@scisight.cn
扫描二维码下载
邃瞳科学云APP

