
第一作者:Lei Fan, Xiaowan Bai, Chuan Xia
通讯作者:汪淏田,陆盈盈,刘远越
通讯单位:莱斯大学,浙江大学,美国德克萨斯大学奥斯汀分校
论文DOI:https://doi.org/10.1038/s41467-022-30251-5

全文速览
通过2电子途径生成过氧化氢 (H2O2) 的电化学水氧化反应 (WOR) 提供了一种可持续的 H2O2 合成路线,但目前受到传统的 4电子析氧反应的挑战。本文报告了一种 CO2/碳酸盐介导的方法来促进2电子 WOR 路径。在碳酸盐溶液中使用氟掺杂的氧化锡电极,实现了高达 87% 的 H2O2 选择性,并提供了高达 1.3 A cm-2的 H2O2 分电流密度。分子动力学模拟、电子顺磁共振和同位素标记实验相结合,结果表明碳酸盐通过形成碳酸盐自由基和过碳酸盐中间体,来介导 WOR 生成 H2O2 的途径。该工作工业级的高选择性、高活性和良好耐久性,为 H2O2 生产开辟了新的机会。

背景介绍
与传统的蒽醌法相比,通过 2e- 途径 (2e--WOR) 将水 (H2O) 电化学氧化为过氧化氢 (H2O2),代表了一种绿色环保且可持续的 H2O2 生产途径。但是,由于典型的 4e-析氧反应途径(OER 或 4e--WOR)的竞争,2e--WOR目前仍面临低选择性和低活性的挑战。与 4e-对应物相比, 2e--WOR 生成 H2O2的传统方法主要集中在探索与中间 O 物种结合强度相对较弱的催化剂。这些催化剂(通常由惰性金属氧化物以及其他材料制成)需要较大的过电位来激活水氧化步骤,但它们的 2e--WOR 电流密度通常限制在 ~10 到200mAcm-2。这是因为,驱动更大电流的高过电位将开始将水氧化反应产物变为 O2,导致H2O2 选择性显著降低。因此,最先进的2e--WOR 性能仍远低于实际应用中的要求。
反应氧化还原介质,作为“电子穿梭”,在提升电催化、有机电合成和生物电催化的选择性方面发挥着重要作用,并可能成为 H2O2 活性-选择性困境的解决方案。虽然探索这种选择性 2e--WOR 的反应介质具有挑战性,但大自然可能会为我们提供答案。H2O2 通常作为一种活性氧 (ROS) 存在于生物系统中,在信号传导中是必不可少的。然而,研究人员发现,高浓度的 CO2 可能导致ROS 爆发(ROS 从细胞中快速释放),从而导致氧化还原敏感蛋白和细胞结构的破坏。

图文解析
图1. 2e--WOR 中的 CO2/碳酸盐促进效应。a CO2/碳酸盐促进电化学 H2O 氧化为 H2O2的示意图。b H2O2在 Ar /CO2 饱和的 1.0M 磷酸钠缓冲溶液中的选择性。c-e 在 1.0M NaHCO3 或1.0M Na2CO3中的I-V曲线、H2O2 FEs 和 H2O2分电流密度。
图 2. 阴离子种类和阴离子/阳离子浓度对 2e--WOR的影响。在 1.0M Na2SO4、1.0M NaNO3、1.0M NaOH 或1.0M NaClO4 溶液中, FTO 催化剂的 a-d I-V曲线和 H2O2 FE。这些电解质中的 H2O2 FE 低于 2%,表明使用这些阴离子物质对 H2O2 的形成没有促进作用。e 在 100mAcm-2 时,H2O2 和 O2 选择性与Na2CO3浓度的关系。H2O2 FE随着Na2CO3浓度的增加而增加,而副产物O2的FE相应降低,表明Na2CO3可以直接参与2e--WOR过程。f 在 1.0M Na2CO3 和不同浓度的 NaClO4 中的H2O2FE。
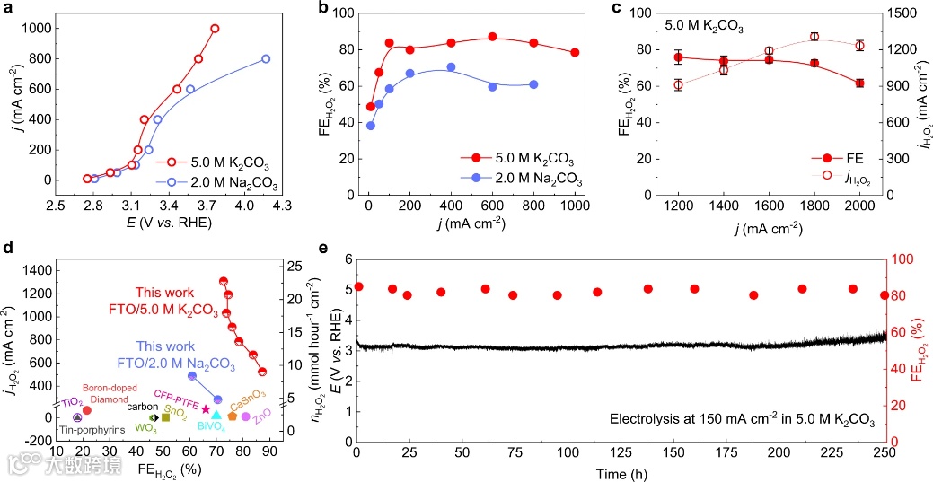
图 3. 使用高浓度碳酸盐介质的电化学 2e--WOR性能。a FTO 催化剂在 2.0M Na2CO3和 5.0M K2CO3 中的 I-V曲线。b 相应的 H2O2 FE。c 在5.0M K2CO3中,电流密度大于 1Acm-2时的H2O2FEs 和部分电流密度。d与之前文献的 H2O2选择性和活性比较。e 在5.0M K2CO3溶液中,FTO催化剂保持150mAcm-2 WOR电流的稳定性测试。其 H2O2 选择性和电位在 250 小时连续运行内保持稳定。
图 4. 反应机理和关键中间体的实验检测。a 使用 AIMD 收敛CO3•−与 50 个 H2O 分子的平均能量。b 碳酸盐介导的 2e--WOR 生成 H2O2 的反应机理。c 含有 DMPO 自旋阱的 Na2CO3 电解质的 EPR 光谱。d 在 Na2CO3溶解在 18O 标记的水中后,在有无电解情况下的18O 丰度与时间的函数。

总结与展望
基于上述结果,该工作展示了一种 CO2/碳酸盐介导的电化学水氧化,用于高性能 H2O2的生成。其中,碳酸根离子有助于通过碳酸盐自由基和过碳酸盐等中间体将 4e- 反应途径引导至 2e-,而 FTO 电极提供了一种高导电、稳定、和 4e--OER 惰性的表面。因此,作者实现了高达 87% 的 H2O2 选择性、高达 1.3Acm-2 的工业级 H2O2 部分电流以及出色的稳定性,为便携式生成 H2O2 提供了一条有前景的途径。这种介导过程可以进一步扩展到其他电化学氧化应用,特别是对于那些需要与 4e--OER 竞争的反应,例如析氯、烃氧化、氮氧化等。未来的工作可以集中在探索能够实现这种介导反应的其他催化材料,提高起始电位,并进一步延长耐久性。
声明
本文仅供科研分享,不做盈利使用,如有侵权,请联系后台小编删除
“邃瞳科学云”直播服务
“邃瞳科学云"平台正在收集、整理各类学术会议信息,欢迎学会、期刊、会议组织方择优在邃瞳平台上进行线上直播,希望藉此帮助广大科研人员跨越时空的限制,实现自由、畅通地交流互动。欢迎老师同学们提供会议信息(会有礼品赠送),学会、期刊、会议组织方商谈合作,均请联系翟女士:18612651915(微信同)。
投稿、荐稿、爆料:Editor@scisight.cn
扫描二维码下载
邃瞳科学云APP

