

论文DOI:https://doi.org/10.1016/j.jcat.2022.09.012

全文速览
醇无溶剂催化氧化是合成精细化学品的绿色途径1。钯基催化剂因其优异的催化活性而被广泛研究。大多数研究人员认为金属钯物种 (Pd0) 是钯催化剂的活性中心,醇的β-H消除是限速步骤。然而,氧化钯物种(Pd2+)和活性氧在醇氧化中的作用往往被忽视。本研究采用原子层沉积法制备Pd/CeO2和Pd/10Al2O3/CeO2催化剂,所得的Pd/CeO2催化剂在无溶剂醇氧化中表现出超高的催化活性和选择性。20Pd/CeO2催化剂活性优于已报道的Pd基催化剂,TOF值可高达3.50×105 h-1。Pd-CeO2相互作用阻止了醇氧化反应过程中Pd2+的还原,使得20Pd/CeO2催化剂在反应前后能够保持较高的Pd2+/(Pd0+Pd2+) 比例(60.8%),从而实现Pd2+和Pd0双位点催化。动力学和氧气同位素研究表明,Pd0和Pd2+双位点改变了反应路径,通过氧促进的β-H消除机制可有效提高醇氧化的效率。

背景介绍
以氧气为氧化剂的醇无溶剂催化氧化是合成精细化学品的绿色途径。其中,钯基催化剂因其优异的催化活性而得到广泛研究和应用。大多数研究人员认为金属钯物种 (Pd0) 是钯催化剂的活性中心,Pd0上醇的β-H消除是反应的决速步骤。由于氧化钯物种(Pd2+)在原位反应条件下很容易被还原成Pd0,造成传统方法难以控制催化剂具有稳定的Pd2+/(Pd0+Pd2+)比例,Pd0和Pd2+的作用难以区分,无法实现高效的协同,催化剂性能受限。因此,若能精准控制Pd2+/(Pd0+Pd2+)比例,并保持其反应条件下结构稳定,形成能够分别活化醇β-H和氧气的双位点催化剂,有望进一步改变反应路径,提升Pd催化剂反应效率。
针对以上挑战,中国科学院山西煤炭化学研究所张斌和覃勇团队,通过原子层沉积技术2-3,实现了CeO2上构筑稳定且Pd2+/(Pd0+Pd2+)比例可调的Pd团簇催化剂,由于Pd0和Pd2+双位点的高效协同,获得新型的高效醇氧化催化剂。研究者制备了一系列不同钯负载量的nPd/CeO2团簇催化剂以调变Pd2+/(Pd0+Pd2+)比例。通过沉积Pd到Al2O3纳米层(~1nm)包覆的CeO2载体制备Pd/10Al2O3/CeO2催化剂来揭示Pd-CeO2相互作用在无溶剂氧化中的作用。研究表明,具有适中的Pd2+/(Pd0+Pd2+)的20Pd/CeO2催化剂的性能显著优于已报道的Pd基催化剂及Pd/10Al2O3/CeO2催化剂,其TOF值可高达3.50×105 h-1。20Pd/CeO2催化剂上Pd团簇和CeO2载体具有较强的相互作用,在反应前后能够保持较为稳定的Pd2+/(Pd0+Pd2+)比例 (60.8%),反应过程中Pd2+的还原得以抑制。与传统Pd催化剂没有氧气同位素效应不同,20Pd/CeO2催化剂表现出显著的氧同位素效应,表明氧也参与了反应的决速步骤。进一步结合动力学和同位素研究,研究者揭示了Pd/CeO2上Pd0和Pd2+双位点氧促进的β-H消除新机制。该工作对于设计稳定的单金属不同价态多位点催化剂提供了新的策略。

本文亮点
通过原子层沉积技术在CeO2上构筑稳定且Pd2+/(Pd0+Pd2+)比例可调的Pd团簇,揭示Pd-CeO2相互作用及Pd2+和Pd0双位点在无溶剂氧化中的作用,探索实现高效醇无溶剂氧化的机制和催化剂设计策略。
1) 采用ALD方法制备成功了具有稳定且Pd2+/(Pd0+Pd2+)比例可调的Pd/CeO2团簇催化剂。
2) Pd/CeO2催化剂在苯甲醇催化氧化反应中表现出优异的催化性能。
3) 在无溶剂苯甲醇氧化反应中,Pd/CeO2催化剂的TOF值与Pd2+/(Pd0+Pd2+)呈火山关系。
4) 首次发现醇氧化氧气同位素效应,提出了一种双位点(Pd0和Pd2+)参与的氧促进β-H新消除机制。

图文解析
图1. Pd/CeO2催化剂的结构表征:Pd在CeO2纳米棒上的均匀分散,且主要以PdO团簇的形成存在。
图2. Pd/CeO2催化剂的催化性能:与已报到的文献相比,所有ALD制备的nPd/CeO2催化剂均展示了较高的苯甲醛选择性,并观察到TOF和Pd负载量之间的火山型关系。其中,20Pd/CeO2(Pd负载量为0.42 wt%)的TOF为3.50×105 h-1,其活性高于已报到的催化剂。与其他nPd/CeO2催化剂相比,20Pd/CeO2显示出最低的表观活化能,表明其苯甲醇氧化具有较低的反应能垒。对于20Pd/CeO2催化剂而言,不仅具有良好的稳定性,而且其苯甲醛选择性对温度不敏感;当温度从100℃升高至140℃时,反应速率逐渐增加,仍保持较高的苯甲醛选择性(>93%)。与20Pd/CeO2相比,20Pd/Al2O3/CeO2虽然具有相似的负载量和粒径,但其催化性能和TOF显著降低。因此,Pd-CeO2之间的强相互作用在控制苯甲醇无溶剂催化氧化的活性方面起着重要的作用。
图3. 不同Pd/CeO2催化剂的电子结构及构效关系:结合反应后的Pd-3d和O-1s XPS分析以及CO-DRIFTS分析可以看出,随Pd负载量的增加,Pd2+/(Pd0+Pd2+)比、活性氧 (Oα)比与TOF值的变化规律相一致。因此,Pd0和Pd2+在苯甲醇的催化氧化中都具有重要的作用,较佳的Pd2+/(Pd0+Pd2+)能够产生充足的Oα物种。
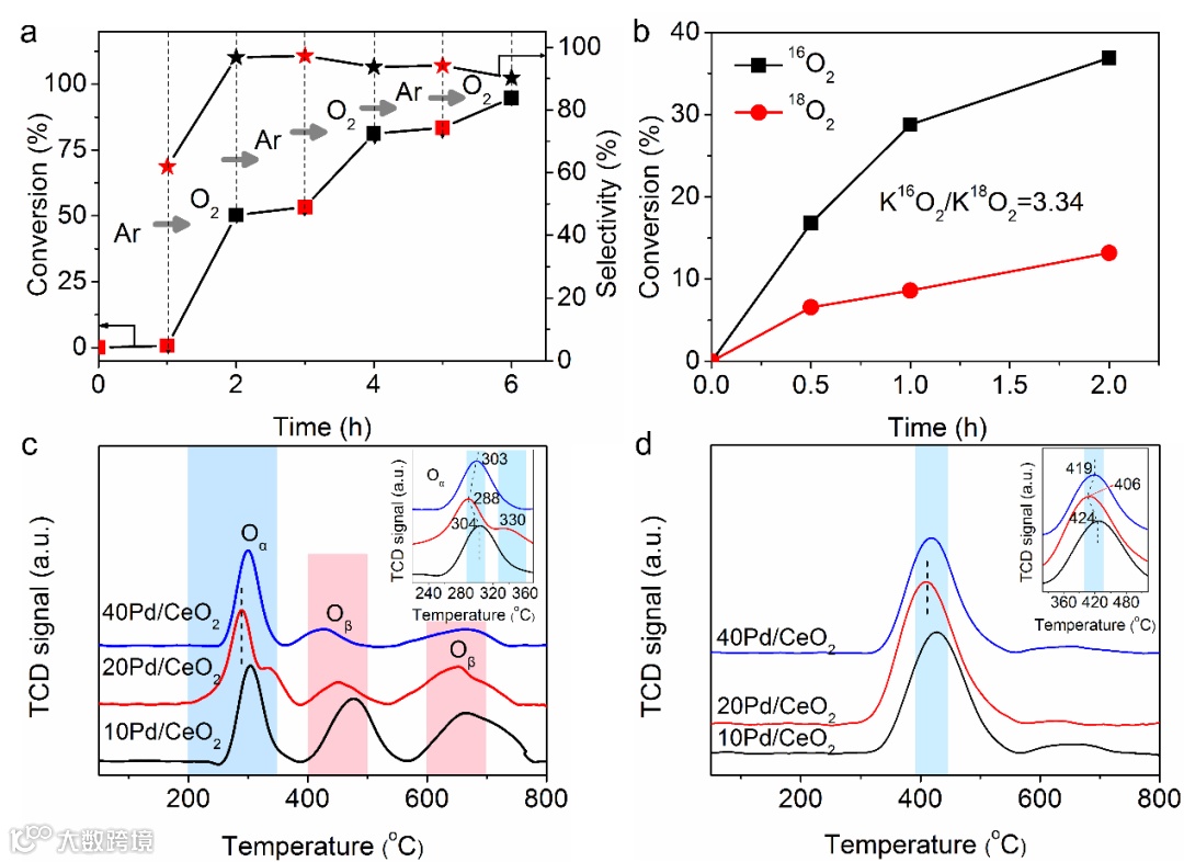
图4. O2的作用分析:氧氩交替实验表明氧气在苯甲醇氧化中起着重要作用。18O2同位素实验证实,20Pd/CeO2催化剂在无溶剂苯甲醇氧化反应中具有明显的动力学同位素效应,表明含氧化学键的断裂是决速步骤。由于在苯甲醛的生产中未检测到18O,这表明决速步骤并不涉及钯物种和苯甲醇衍生物(苯甲醛和中间产物)之间的Pd-H键的断裂,这与文献中报道的负载型钯纳米颗粒催化剂的β-H消除是决速步骤完全不同。对不同的nPd/CeO2催化剂进行了O2-TPD和H2-TPD测试,结果表明较高的Pd2+/(Pd0+Pd2+)不仅能够增强氧溢流,形成更多活泼的Oα物种,而且有利于苯甲醇吸附后形成的活性氢的溢出,从而被Oα氧化。
图5. Pd/CeO2的Pd0+Pd2+双位点催化机理示意图:由于Pd2+/(Pd0+Pd2+)比与苯甲醇催化活性之间的强关联性,Pd0和Pd2+两种活性位点协同参与了决速步骤。DRIFTS结果表明,苯甲醇被选择性吸附在Pd2+位点。缺电子的Pd2+物种和富电子的醇类氧原子之间相互作用形成了苄基-O-Pd2+。醇的-OH键释放出的活性氢原子很容易溢流至Pd0位点,产生钯氢化物物种。由于反应过程中有充足的活性氧物种,可以转移至Pd0位点,并与附近Pd2+位点上所吸附醇的β-氢化物相互作用,形成六元过渡态。Pd0位点上的活性氧和氢将进一步与吸附醇的β-氢化物反应生成H2O。因此,基于Pd/CeO2催化剂在醇氧化反应中的表现,提出了一种氧促进的β-H消除机制,这是醇脱氢催化剂具有高性能的关键。

总结与展望
综上所述,本工作利用原子层沉积法开发了一种能够精确控制且保持稳定Pd2+/(Pd0+Pd2+)比的钯基催化剂,在苯甲醇无溶剂氧化反应中,表现出超高的催化活性和选择性,且Pd2+/(Pd0+Pd2+)比适中的20Pd/CeO2展现出最高的TOF。Pd/CeO2中稳定的Pd0和Pd2+双位点协同使其产生一种具有明显18O2 同位素效应的独特的反应机制。与传统观点不同,双位点Pd/CeO2催化剂在无溶剂苯甲醇催化氧化反应中的决速步骤是氧促进的醇β-H消除。本研究为理解醇氧化中的氧活化、活性中心的判定及高性能催化剂的设计提供了一种新的思路。

参考文献
1. D. I. Enache, J. K. Edwards, P. Landon, B. Solsona-Espriu, A. F. Carley, A. A. Herzing, M. Watanabe, C. J. Kiely, D. W. Knight, G. J. Hutchings, Solvent-free oxidation of primary alcohols to aldehydes using Au-Pd/TiO2 catalysts, Science, 311 (2006) 362-365.
2. B. Zhang, Y. Qin, Interface tailoring of heterogeneous catalysts by atomic layer deposition, ACS Catal., 8 (2018) 10064-10081.
3. H. Wu, B. Zhang, H. Liang, L. Zhai, G. Wang, Y. Qin, Distance effect of Ni-Pt dual sites for active hydrogen transfer in tandem reaction, Innovation, 1 (2020) 100029.

作者介绍
王哲,太原理工大学和中科院山西煤化所联合培养博士研究生,研究方向为多相催化。
张斌,中科院山西煤化所副研究员,中科院青年创新促进会化材分会会长,山西省化工协会理事。博士毕业于中科院山西煤化所。研究方向为原子层沉积技术、结构精准催化剂设计和精细化工。入选中科院青年创新促进会优秀会员;获山西省自然科学一等奖(第三完成人)。以第一/通讯作者在Angew. Chem. Int. Ed.、The Innovation、ACS Catal.、J. Catal.等SCI期刊上发表论文20余篇。担任The Innovation青年编委。

课题组介绍
原子层沉积技术课题组(903组)隶属于煤转化国家重点实验室,组长覃勇研究员,现有研究员2名,副研究员3名,临时聘用人员4名。在读博士生7名,在读硕士生7名。自 2011年10月建组以来,课题组瞄准纳米科学与技术发展前沿,以原子层沉积技术为主要手段,设计开发新型功能纳米材料,研究其在能源、催化、环境等领域的应用。
目前课题组研究方向主要包括以下几个方面:
1. 原子层沉积(Atomic Layer Deposition,ALD)开发及应用
2. 纳米材料合成及在能源领域应用
3. 纳米催化、光催化、碳一化学
4. 碳纳米材料、碳纳米螺旋的制备及其生长机理研究
5. 隐身材料等
课题组网址:
http://group903.sxicc.cas.cn/
http://ircre/shen/content/home.html
本文仅供科研分享,不做盈利使用,如有侵权,请联系后台小编删除
欢迎关注我们,订阅更多最新消息
“邃瞳科学云”推出专业的自然科学直播服务啦!不仅直播团队专业,直播画面出色,而且传播渠道多,宣传效果佳。
“邃瞳科学云"平台正在收集、整理各类学术会议信息,欢迎学会、期刊、会议组织方择优在邃瞳平台上进行线上直播,希望藉此帮助广大科研人员跨越时空的限制,实现自由、畅通地交流互动。欢迎老师同学们提供会议信息(会有礼品赠送),学会、期刊、会议组织方商谈合作,均请联系翟女士:18612651915(微信同)。
投稿、荐稿、爆料:Editor@scisight.cn