

通讯单位:西北大学化学与材料科学学院合成与天然功能分子教育部重点实验室
论文DOI:10.1002/anie.202213015

全文速览
低温蒸馏是工业中分离乙烷(C2H6)和乙烯(C2H4)的主要方法,但也是一种高能耗的方法,基于多孔材料的吸附分离被认为是取代上述方法的一种经济、高效的新方法,具有重要应用前景。本工作采用一种氨基功能化的孔工程策略,设计了具有氨基基团修饰的C2H6选择性MOF(Tb-MOF-76(NH2))材料,促进了MOFs的C2H6/C2H4分离性能。氨基(-NH2)的引入降低了Tb-MOF-76(NH2)的孔尺寸(7.9 × 7.9 Å2vs 7.2 × 7.2 Å2),促进了受限孔中更多的主客体相互作用,有效地提高了TB-MOF-76(NH2)的C2H6和C2H4吸附容量与C2H6/C2H4选择性。混合物穿透分离模拟和穿透分离测试均进一步证实Tb-MOF-76(NH2)能够从C2H6/C2H4混合气体中直接分离出高纯C2H4(纯度>99.9%),单次分离过程的C2H4产量达到17.66 L/kg,远高于Tb-MOF-76(7.53 L/kg)。该材料还表现出优异的耐酸、耐碱等化学稳定性,具有良好的工业应用前景。

背景介绍
C2H4是石化行业需求量最大的原料,2021年全球产量超过2.1亿吨。C2H4主要由C2H6热分解和化石燃料蒸汽裂解产生,产物中含有少量的C2H6杂质。低温蒸馏是工业上分离C2H6/C2H4最常用的技术,但由于两种气体的沸点和分子尺寸非常接近,该技术需要大型蒸馏塔设备和低温、高压条件。因此,亟需开发新型节能的分离技术以满足工业上对聚合级C2H4的应用需求。基于多孔材料的吸附分离技术能够大大提高分离效率。
C2H6/C2H4分离可通过C2H4选择性或C2H6选择性吸附剂实现,其中C2H6选择性吸附剂优先捕获C2H6杂质,可以在分离柱的出口直接产生高纯C2H4,从而更受关注。金属-有机骨架材料(MOFs)作为一种孔环境可修饰的多孔材料,为设计C2H6选择性吸附剂提供了理想平台。迄今,虽然已有一些C2H6选择性MOFs材料被报道,但它们在选择性、吸附容量、稳定性等方面还存在一定的不足,高效C2H6选择性MOFs的开发及其分离应用仍面临巨大挑战。

本文亮点
针对C2H4/C2H6分离这一难题,近日西北大学侯磊教授、王尧宇教授等人基于网状化学原理,通过采用一种氨基功能化的孔工程策略,设计了具有氨基基团修饰的C2H6选择性MOF(Tb-MOF-76(NH2))材料。氨基的引入优化了Tb-MOF-76(NH2)的孔环境,提高了其对C2H6/C2H4混合物的分离性能。
1)本文以Tb-MOF-76为基础框架,通过配体氨基功能化,合成了一种具有高热稳定性和化学稳定性的C2H6选择性材料Tb-MOF-76(NH2)。
2)氨基修饰的孔环境提高了Tb-MOF-76(NH2)对C2H6/C2H4混合物的分离性能,每千克材料能够从C2H6/C2H4混合气体中直接分离出17.66 L的高纯C2H4(纯度>99.9%),远高于Tb-MOF-76(7.53 L)。
3)本文结合一系列实验测试与理论计算,结果表明在MOFs孔道内引入氨基基团一方面可以有效结合C2H6、C2H4分子;另一方面氨基的引入导致受限的孔环境,使C2H6、C2H4分子与孔壁苯环形成相互作用,从而提高了对C2H6、C2H4的吸附作用力和吸附容量。

图文解析
本文选择了易合成的Tb-MOF-76作为氨基功能化的基础框架。通过氨基功能化的均苯三甲酸配体与Tb3+离子在溶剂热反应条件下得到高质量的Tb-MOF-76(NH2)单晶。Tb3+离子具有扭曲的五角双锥几何配位构型,并通过羧酸配体桥联形成螺旋棒状次级构筑单元(SBUs)。SBUs通过配体延伸,构成具有四方形孔道的开放多孔框架(图1)。
图1:由棒状SBUs和BTC/NH2-BTC配体组装的Tb-MOF-76和Tb-MOF-76(NH2)。
由吸附曲线可知,与母体Tb-MOF-76相比,Tb-MOF-76(NH2)表现出明显提高的C2H6、C2H4吸附容量(图2a)以及C2H6/C2H4吸附选择性(2.1 vs1.7)。结合分子理论计算可知Tb-MOF-76(NH2)中的氨基基团一方面可以有效结合C2H6、C2H4分子;另一方面氨基的引入导致受限的孔环境,使C2H6、C2H4分子与孔壁苯环形成相互作用,从而提高了对C2H6、C2H4的吸附作用力和吸附容量(图2)。
图2. Tb-MOF-76(NH2)和Tb-MOF-76的吸附性能与吸附作用方式对比。
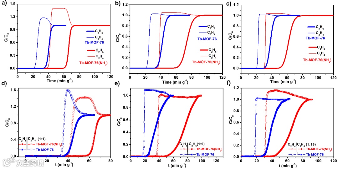
混合物穿透分离模拟和穿透分离测试均进一步证实Tb-MOF-76(NH2)能够有效提升对C2H6/C2H4混合气体的分离时间,分离时间的增加也意味着分离性能的提升(图3)。并且Tb-MOF-76(NH2)能够直接分离出高纯C2H4(纯度>99.9%),单次分离过程的C2H4产量达到17.66 L/kg,远高于Tb-MOF-76(7.53 L/kg),也优于目前报道的大多数MOFs材料(图4)。
图3. Tb-MOF-76(NH2)和Tb-MOF-76对C2H6/C2H4的穿透模拟和穿透测试曲线。
图4. Tb-MOF-76(NH2)和其它MOFs材料的C2H4分离性能对比。

总结与展望
本工作以C2H6/C2H4分离为导向,通过孔工程策略来调整MOFs孔环境。作者采用氨基功能化配体取代母体Tb-MOF-76中的配体,成功地修饰了MOFs孔环境,获得的Tb-MOF-76(NH2)具有更窄的孔尺寸以及丰富的氨基吸附位点,促进了对C2H6、C2H4的吸附容量以及C2H6/C2H4选择性(2.1 vs 1.7)。Tb-MOF-76(NH2)大大提高了对C2H6/C2H4混合物的分离性能,从其中能够直接分离出高纯C2H4(纯度>99.9%),单次分离过程的C2H4产量达到17.66 L/kg,远高于Tb-MOF-76(7.53 L/kg),也优于目前报道的大多数MOFs材料。此外,Tb-MOF-76(NH2)具有优异的耐酸、耐碱等化学稳定性,具有较好的分离应用前景。这项工作也为通过网状化学原理合理设计乙烷选择性MOFs,实现关键的工业C2H6/C2H4高效分离,提供了重要的材料设计方法。

通讯作者介绍
侯磊:西北大学化学与材料科学学院教授、博士生导师,陕西省青年科技新星、陕西省中青年科技创新领军人才。2005年获得汕头大学硕士学位,2009年获得中山大学博士学位,同年加入西北大学化学与材料科学学院。主要从事功能导向金属有机框架材料、有机-无机杂化晶态材料的合成研究。近年来以通讯作者在Angew. Chem. Int. Ed., Chem. Eng. J., J. Mater. Chem. A, ACS Appl. Mater. Inter., Sensors Actuat. B: Chem., Chem. Eur. J., Inorg. Chem. Front.等刊物发表论文90多篇,7篇论文入选ESI前1%高被引用论文。先后主持国家自然科学青年和面上项目基金、中国博士后基金、陕西省科技厅项目基金等多项。
本文仅供科研分享,不做盈利使用,如有侵权,请联系后台小编删除
欢迎关注我们,订阅更多最新消息
“邃瞳科学云”推出专业的自然科学直播服务啦!不仅直播团队专业,直播画面出色,而且传播渠道多,宣传效果佳。
“邃瞳科学云"平台正在收集、整理各类学术会议信息,欢迎学会、期刊、会议组织方择优在邃瞳平台上进行线上直播,希望藉此帮助广大科研人员跨越时空的限制,实现自由、畅通地交流互动。欢迎老师同学们提供会议信息(会有礼品赠送),学会、期刊、会议组织方商谈合作,均请联系翟女士:18612651915(微信同)。
投稿、荐稿、爆料:Editor@scisight.cn