近年来,随着可再生能源发电成本的降低以及电解槽与清洁能源直接耦合技术的突破,使得水电解制氢变得更具经济吸引力。在水电解过程中,阳极析氧反应(OER)仍然是限制整体效率的瓶颈,从而阻碍更广泛的工业应用。尽管Ru/Ir基催化剂在聚合物电解质膜电解槽中可以实现高效率,但Co基电催化剂更加经济可行,且在从中性至碱性电解质的广泛pH范围内具有高活性。然而,到目前为止,由知识驱动的催化剂设计仍然缺乏对析氧催化剂近表面状态和关键活性与稳定性决定因素的基本理解。
在本文中,作者采用operando X射线吸收光谱和密度泛函理论计算,通过将粒径降低至1 nm以研究粒径相关的催化活性及OER条件下的结构适应性,提供析氧催化剂CoOx(OH)y纳米颗粒近表面结构的定量信息。研究发现,sub-5 nm的颗粒表现出优异的本征OER活性,并且在OER过程中尺寸依赖性氧化会导致近表面的Co–O键收缩。表面Co3+O6单元内的氧化电荷积聚会触发电子再分配,形成的含氧自由基是主要的表面终止基序,该结论打破长期以来关于高价态金属离子驱动OER的传统观点。
第一作者:Felix T. Haase
通讯作者:Beatriz Roldan Cuenya、Arno Bergmann
通讯单位:德国马普学会Fritz Haber研究所
DOI: 10.1038/s41560-022-01083-w

亮点解析
如图1所示,采用反胶束封装策略成功制备出粒径为1 nm至9 nm范围的尺寸选择性CoOx(OH)y NPs。图1c为不同尺寸CoOx(OH)y NPs相应的粒径分布,表明平均粒径的预期变化以及随着NPs粒径减小而引起的单分散性增加。粒子间距离和低NPs负载量可以使暴露位点在OER过程中的可及性达到最大化,团聚现象最小化。
图1. CoOx(OH)y NPs的微观形貌与粒径分布。
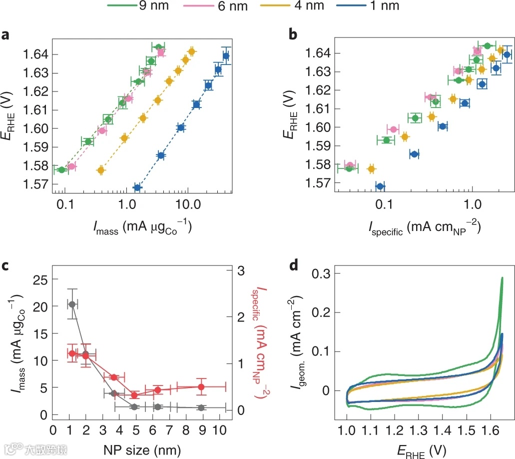
如图2a-b所示,分别采用电极Co负载和NPs表面积归一化电流来研究粒径相关的质量活性和比活性。在这两种情况下,电流(i)和电位(E) log(i)–E曲线在1.58 VRHE和1.64 VRHE之间呈线性关系,Tafel斜率为37–43 mV dec-1,与其它Co基催化剂在pH 13条件下的性能相当。尽管没有检测到Tafel斜率的粒径相关性,但可以明显观察到质量活性随着NPs粒径的减小而增加(图2a)。然而,比活性的明显粒径依赖性表明NPs粒径对活性位点密度和催化活性的更复杂作用(图2b)。为评估这种关系,作者比较了1.62 VRHE时的质量活性和比活性(图2c)。研究发现,当NPs的粒径从9 nm降低至1 nm时,质量基电流密度从1.3±0.4 mA µg−1增加至20.4±2.8 mA µg−1,比活性从0.5 mA cmNP−2增加至1.2±0.2 mA cmNP−2。上述结果表明,NPs的表面积对催化活性起着决定作用,要么是几何效应导致活性位点数量的增加,要么是电子效应导致本征活性的提高。
图2. 粒径选择CoOx(OH)y的OER活性与氧化还原电化学。
如图3和图4所示,为确定可能与催化活性相关的化学态及结构适应性的粒径依赖趋势,采用operando XAS研究了OER过程中尺寸选择CoOx(OH)y NPs的演化。在电化学活化后,CoOx(OH)y被氧化并发生显著重构,如1 eV Co K-edge的位移(图3)、Co–O峰从0.05 Å位移至1.45 Å,以及2.5 Å处出现的明显特征峰(图4)。该发现表明存在类似于Co3O4的混合Co2+/Co3+离子。然而,其典型FT-EXAFS峰位于3.15 Å,与尖晶石型Co3O4中四面体和八面体配位Co离子之间的mono-µ-oxo桥有关。因此,可以得出结论,CoOx(OH)yNPs在活化后出现一种类似于层状CoOOH的结构,主要由di-µ-oxo桥联的Co离子构成。
图3. 在所选择催化条件下的CoOx(OH)yNP氧化还原态。
在OER过程中,CoOx(OH)y NPs并不会明显重构,因为XANES和FT-EXAFS光谱与电化学活化时记录的光谱相似(图3-4)。然而,Co K-edges的进一步移动表明CoOx(OH)y NPs会发生氧化;且有趣的是,随着NPs粒径的减小,氧化变得更强(图3c)。在OER过程中,FT-EXAFS的峰值振幅没有显著变化(图4c),表明其具有良好的结构均匀性。
图4. 在所选择催化条件下的CoOx(OH)yNP局部原子结构。
如图5a所示的定量研究表明,OER过程中边缘位移0.2–1.3 eV,同时Co-O和Co-Co的间距分别收缩至1.89–1.90 Å和2.82–2.86 Å。此外,与9 nm NPs相比,1 nm NPs的白线强度明显更高。对于所有NPs粒径而言,CoOx(OH)y NP在OER条件下的适应性均是可逆的,因为在OER过程中边缘位点与Co–O间距为1.90–1.92 Å的混合Co2+/Co3+羟基氧化物非常一致。作者将这些可逆变化归因于OER前的氧化还原转化,并可能使氧化电荷在近表面积聚。从数量上讲,边缘位移,尤其对于sub-5 nm NPs而言,将对应着超过Co3+的化学态,因此可以将Co K-edge的相对位移与(Co3+O6)δ+中的氧化电荷δ+积聚相联系。
图5. OER过程中Co氧化态的粒径依赖可逆适应性与Co–O键的收缩。
为揭示Co3+区域中的电荷积聚如何决定OER过程中(Co3+O6)δ+位点的电子结构和化学,作者将实验数据与针对CoOOH(0112)表面配位不饱和位点(cus)上选定吸附质的DFT-PBE0计算结果进行比较(图6a)。通过计算吸附在表面上的各种含氧物种在八面体CoO6键合环境中的Co–O间距,模拟与OER相关的Co–O氧化还原状态。研究发现,氢氧化物和含氧吸附质的收缩会导致cus Co–O键的长度分别为1.76 Å和1.62 Å,明显短于CoOOH的Co–O距离(1.910 Å)。此外,终端CoO6单元上的平均Co–O键长也比CoOOH短0.008 Å至0.033 Å。为将OER过程中Co–O键的收缩与近表面电子结构相联系,作者进一步对cus构型进行电荷密度分析,并将其与实验结果进行比较。图6b显示出预期趋势,即与CoOOH相比,随着Co 3d t2g轨道中电子密度的降低,平均Co–O键的收缩更强。
图6.不同表面构型在OER过程中Co–O键收缩与氧化还原状态之间的相关性。

文献来源
Felix T. Haase, Arno Bergmann, Travis E. Jones, Janis Timoshenko, Antonia Herzog, Hyo Sang Jeon, Clara Rettenmaier, Beatriz Roldan Cuenya. Size effects and active state formation of cobalt oxide nanoparticles during the oxygen evolution reaction. Nature Energy. 2022. DOI: 10.1038/s41560-022-01083-w.
文献链接:https://doi.org/10.1038/s41560-022-01083-w
声明
本文仅供科研分享,不做盈利使用,如有侵权,请联系后台小编删除
“邃瞳科学云”直播服务
“邃瞳科学云"平台正在收集、整理各类学术会议信息,欢迎学会、期刊、会议组织方择优在邃瞳平台上进行线上直播,希望藉此帮助广大科研人员跨越时空的限制,实现自由、畅通地交流互动。欢迎老师同学们提供会议信息(会有礼品赠送),学会、期刊、会议组织方商谈合作,均请联系翟女士:18612651915(微信同)。
投稿、荐稿、爆料:Editor@scisight.cn
扫描二维码下载
邃瞳科学云APP

