
通讯作者:武祥, Young-Rae Cho
通讯单位:沈阳工业大学, 釜山国立大学
论文DOI:10.1016/j.jcis.2022.08.046

全文速览
近年来,水系锌离子电池以安全、环保等特点在储能系统中具有很强的竞争力。然而,Zn2+缓慢的反应动力学和较差的循环性能阻碍了其广泛应用。本工作将K+嵌入到V2O5纳米层中,合成了以V2O5为主体,含少量K0.25V2O5的复合材料。这种策略可以有效地缓冲电极材料的晶格膨胀并降低其内应力。此外,稳定的K+在循环过程中起到“支柱”作用,保护V2O5的层状结构不易坍塌。在V2O5和K0.25V2O5的协同作用下,组装的锌电池呈现良好的循环稳定性和倍率性能。并且在较高的工作温度下仍然保持优异的比容量。

背景介绍
随着全球能源危机的加剧,迫切需要开发一些高倍率和长循环寿命的电化学储能技术。在过去的几十年里,锂离子电池在便携式电子产品和电动汽车领域占据着主导地位。但由于成本高、安全性差,限制了其在大规模储能系统中的应用。因此,寻找锂离子电池的替代品已成为一项紧迫的任务。近年来,水系锌离子电池因其天然丰富的锌资源、环境友好性和无毒性显示出重要的应用前景。在各种正极材料中,V2O5因具有大通道的层状晶体结构,有利于锌离子的传输与储存。为了进一步加快动力学反应过程,可以通过引入金属离子来扩大层与层之间的距离,从而提高其速率和循环性能。然而,大量金属离子的引入会降低V2O5的比容量。所以仅依靠预插层策略不足以提高电极材料的电化学性能。

本文亮点
1. 通过简单的溶剂热反应,将K+引入V2O5中间层,形成了以V2O5为主体,含少量K0.25V2O5的复合电极材料。

图文解析
首先对合成的样品进行结构表征。证实了K+成功地嵌入到了主体结构中,并形成了K0.25V2O5的新相(图1)。从图2可以观察到两种电极材料的微观形貌。没有引入K+的V2O5样品呈颗粒状。KVO样品具有纳米带形状,并暴露出层状结构。纳米带的长度在500~700 nm之间,宽度在50~70 nm之间。纳米颗粒在K+的预嵌入下可沿b轴或[010]方向生长成纳米带。暴露的层结构有望提供较多的活性位点,以实现较高的倍率性能。对应的元素分析表明,K, V, O元素均匀地分布在纳米带中,进一步地证明了K元素的存在。
图1 样品的结构表征 (a) XRD图 (b-d) XPS测试 (b) K 2p (c) V 2p (d) O 1s
图2 形貌表征 (a, b)V2O5样品形貌 (c, d) KVO样品形貌(e, f) KVO样品TEM结构 (g) 对应的元素映射(h) K (i) V (j) O
为了进一步探索正极材料的电化学性能,本工作进行了一系列电化学测试。如图3所示,Zn/KVO电池在0.2 A g-1电流密度下输出479.8 mAh g-1的比容量。在10 A g-1的电流密度下,KVO样品循环3000 圈之后仍具有91.3%的容量保持率。此外,还进行了在宽温度范围下的性能测试,表明KVO样品在不同温度下均具有良好的比容量和循环稳定性。
图3 样品的电化学性能 (a)前3圈CV曲线(b)在0.2 A g-1下的循环性能 (c) GCD曲线 (d)倍率曲线(e)不同电流密度下的比容量 (f)在10 A g-1下的循环性能 (g) 不同温度下的循环性能
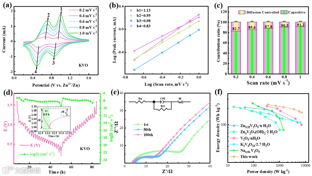
接下来对电化学反应动力学进行了研究。利用GITT计算了Zn2+在KVO正极嵌入/脱出过程中的离子扩散系数。计算得到的Dzn为10-9到10-7 cm2 s-1,表明KVO纳米带有利于Zn2+的快速迁移,具有优异的速率性能。此外,组装后的Zn/KVO电池在0.2 A g-1时,其能量密度为350 Wh kg-1,功率密度为238 W kg-1。
图4 (a)不同扫描速率下的CV曲线 (b) 从CV扫描中提取特定峰值电流下的log(i)和log(v)拟合图 (c)表面电容与扩散控制电极之间的贡献比 (d) GITT曲线 (e)电化学阻抗图 (f)拉贡图
最后,通过非原位XRD研究了KVO电极在不同位点的结构演变(图5)。一系列高度可逆的衍射峰揭示了其在充放电过程中Zn2+嵌入和脱嵌行为。结合XPS和TEM表征,证实了Zn2+成功地在主体材料中嵌入和脱出。在循环过程中,样品的形貌没有发生变化,展现出优异的结构稳定性。
图5 (a) 在充电/放电状态下不同位点XRD图 (b-c)样品XPS (d-e) 充电1.6 V时TEM (f-g) 放电0.2 V时TEM表征

总结与展望
综上所述,通过简单的溶剂热策略成功地将K+预插入到V2O5结构中。作为电极材料,KVO纳米带在V2O5和K0.25V2O5的协同作用下具有优异的电化学性能。这主要归因于形成的K0.25V2O5相可以有效地阻止活性物质的溶解。同时,KVO电极暴露的层状结构为Zn2+的插入/提取提供了许多活性位点和便捷的传输通道。此外,形成的稳定K-O键可以起到“支柱”的作用,防止层状结构在循环过程中坍塌。所获得的电极材料在水系锌离子电池的实际应用中具有重要的前景。

论文信息
Yi Liu, Ying Liu, Xiang Wu*, Young Rae Cho* High performance aqueous zinc battery enabled by potassium ion stabilization. Journal of Colloid and Interface Science 2022,10.1016/j.jcis.2022.08.046

作者简介
武祥教授主要从事半导体微纳材料的控制组装及其在环境和能源领域的研究。已在Advanced Materials, Nano Energy, Small, Journal of Energy Chemistry 等期刊发表SCI收录论文160篇,先后有17篇入选ESI 高被引论文。论文引用次数超过7000次,H 因子49。先后获得黑龙江省自然科学二等奖3项。黑龙江省高校自然科学一等奖和二等奖各1项。博士毕业论文被评为哈尔滨工业大学第12届优秀博士论文。曾主持国家自然科学基金,教育部科学技术研究重点项目和黑龙江省新世纪优秀人才计划项目等。入选2017年辽宁省“百千万人才工程”百人层次人选和2018年沈阳市高层次领军人才。2018年和2019年两次入选英国皇家化学会Top 1%高被引作者。2020年和2021年入选全球前2%顶尖科学家名单(终身科学影响力)。2019年和2021年辽宁省优秀硕士论文指导教师。2020年沈阳市优秀研究生导师。迄今为止,指导的研究生共26人获得国家奖学金(其中5人两次获得)。武祥教授目前担任美国科学出版社期刊Science of Advanced Materials和Journal of Nanoelectronics and Optoelectronics副编辑。国际期刊Nano-Micro Letters编委。作为客座编辑在Battery&Supercaps, Chemical Record, Chinese Chemical Letters,Nanomaterials,Journal of Nanoelectronics and Optoelectronics,Science of Advanced Materials和Journal of Nanomaterials期刊等共组织10期专题。课题组主页:wuxiang.polymer.cn。
声明
本文仅供科研分享,不做盈利使用,如有侵权,请联系后台小编删除
“邃瞳科学云”直播服务
“邃瞳科学云"平台正在收集、整理各类学术会议信息,欢迎学会、期刊、会议组织方择优在邃瞳平台上进行线上直播,希望藉此帮助广大科研人员跨越时空的限制,实现自由、畅通地交流互动。欢迎老师同学们提供会议信息(会有礼品赠送),学会、期刊、会议组织方商谈合作,均请联系翟女士:18612651915(微信同)。
投稿、荐稿、爆料:Editor@scisight.cn
扫描二维码下载
邃瞳科学云APP

