在乙炔半加氢反应中,与金属纳米颗粒催化剂相比,原子级分散的金属催化剂或单原子催化剂(SAC)具有最高的金属利用效率,因此对乙烯具有优异的选择性。然而,这类催化剂通常在相对较高的温度下运行。在保持高选择性的同时实现低温反应仍然是一个挑战。为提高SACs的本征反应活性,通过将第一个金属原子与第二个相邻金属原子进行配位以合理地调整其配位环境成为一个有效的策略。
在本文中,作者制备出一种双原子催化剂(DAC),其具有键合的Pd1–Cu1原子对锚定于纳米金刚石石墨烯(ND@G)载体上,称为Pd1Cu1/ND@G。研究发现,独特的双原子构型可以促进乙炔的吸附,加速H2的吸附和解离,并将H2和乙炔之间的竞争吸附转化为非竞争吸附。与单原子Pd或Cu催化剂相比,双原子催化剂在较低温度下表现出更高的反应活性,在110 °C时的乙炔转化率为100%,乙烯选择性高达92%。
第一作者:Fei Huang、Mi Peng、Yunlei Chen、Xiangbin Cai
DOI: 10.1021/jacs.2c07208

亮点解析
催化剂制备与结构表征
通过强静电吸附与沉积-沉淀策略相结合,成功制备出Pd1Cu1/ND@G催化剂。如图1所示,像差校正高角度环形暗场扫描透射电子显微镜(HAADF-STEM)可以观察到Pd1Cu1/ND@G中的Pd和Cu分散情况。如图1a,c中的橙色椭圆所示,密集分布的孤立亮点代表着Pd和Cu原子。能量色散X射线光谱(EDX)分析表明,锚定在ND@G表面的高度分散Pd和Cu物种共存(图1b)。由于Pd或Cu原子与碳载体之间的Z对比度差异,图1c中标记位点的强度分布(图1d)表明存在相邻的Pd-Cu原子对。
图1. Pd1Cu1/ND@G催化剂的HAADF-STEM表征。
如图2a所示,Pd1Cu1/ND@G和Cu1/ND@G的Cu K-edge XANES白线峰值位置移动到比Cu箔更高的能量,表明与金属Cu相比,Pd1Cu1/ND@G或Cu1/ND@G中的Cu物种表现出缺电子特征。与之相反,Pd1Cu1/ND@G中Pd K-edge XANES白线强度低于Pd1/ND@G (图2b),表明Pd1Cu1/ND@G中的Pd物种获得更多的电子,其价态低于Pd1/ND@G。对于Cu1/ND@G或Pd1Cu1/ND@G的Cu K-edge EXAFS光谱而言,在位于1.5 Å处观察到一个明显的峰,可归因于Cu-C第一壳层散射(图2c)。此外,在Pd1Cu1/ND@G中还观察到约2.5 Å处的明显峰值,表明存在着Cu-Pd配位。
图2. Pd1Cu1/ND@G的XAFS和XPS谱学表征。
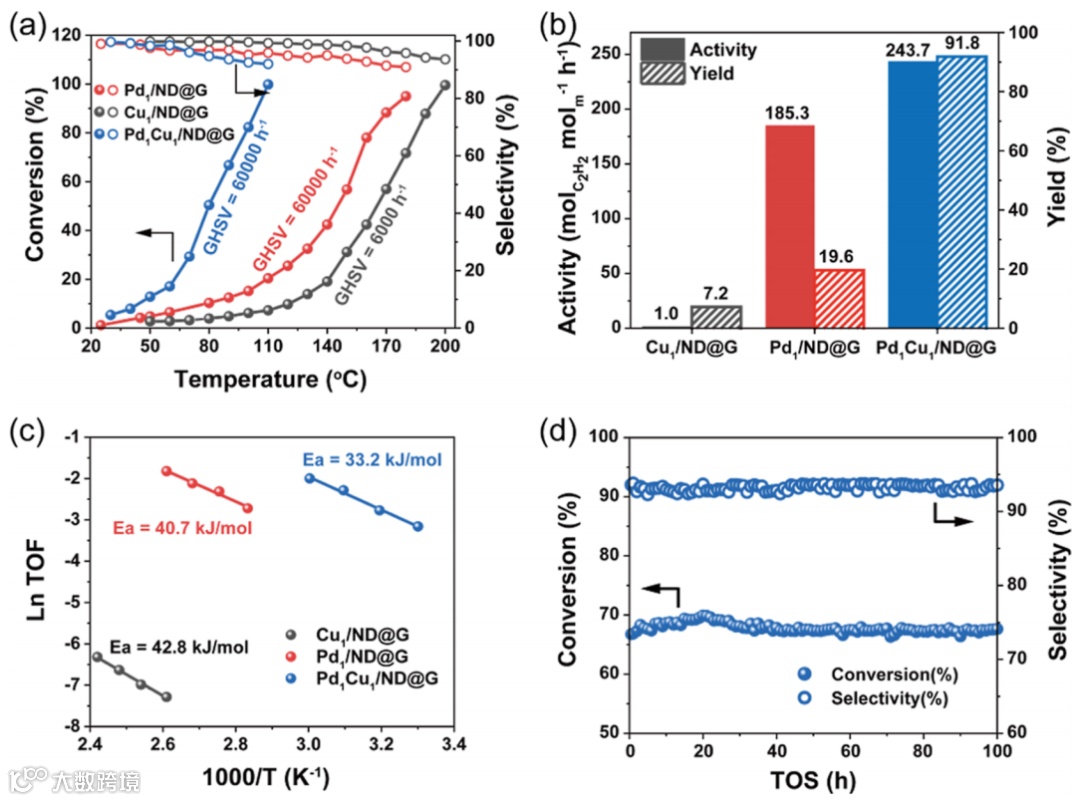
如图3a所示,为催化剂C2H2转化速率和C2H4选择性随反应温度的变化情况。尽管三种催化剂均显示出良好的选择性(>90%),但Pd1/ND@G和Cu1/ND@G催化剂达到单位转化的温度分别为180和200 ℃。相比之下,Pd1Cu1/ND@G催化剂表现出明显更高的反应活性,在110 °C时具有高达92%的乙烯选择性和100%的乙炔转化率。在110 °C下,Pd1Cu1/ND@G的活性为243.7 molC2H2 molmetal-1 h-1,分别为相同反应条件下Pd1/ND@G和Cu1/ND@G的1.3倍和251倍(图3b)。如图3c所示,Pd1Cu1/ND@G的表观活化能(Ea)为33.2 kJ/mol,显著低于Pd1/ND@G (40.7 kJ/mol)和Cu1/ND@G (42.8 kJ/mol)。此外,Pd1Cu1/ND@G在加氢条件下表现出良好的稳定性,在长时间试验(100 h)期间,活性衰减可以忽略不计(图3d)。
图3. Pd1Cu1/ND@G催化剂的乙炔加氢反应性能。
原子Pd1-Cu1对的可能局部结构如图4a所示,其中一个Cu原子与三个C原子配位,而一个Pd原子与石墨烯上的一个C原子相关联。电荷密度差和Bader电荷分析(图4a)表明,离域电荷沿Pd-C键聚集,而电子沿Pd1Cu1/ND@G中的Cu-Pd键聚集。此外,投影态密度表明Pd-Cu对中Pd和Cu原子之间的紧密电子耦合(图4b)。这种耦合特性可以增加费米能级附近d电子的分布,并为C2H2/H2吸附和活化提供了活性位点(图4c)。就活化能而言,Pd1-Cu1双原子位点相对于Pd1或Cu1位点具有明显优势(0.77 vs 1.1或1.36 eV),这表明Pd1Cu1/ND@G在乙炔加氢反应中具有比Pd1/ND@G或Cu1/ND@G更优异的本征活性。如图4e所示,Pd1/ND@G上的乙炔加氢开始于45 °C(峰值为78 °C),远低于Cu1/ND@G催化剂上的加氢开始温度(68 °C,峰值为100 °C)。这表明Pd1位点比Cu1位点更具活性。
图4. 密度泛函理论计算与C2H2−TPD测试机理研究。
如图5所示,在加氢过程中,乙炔气体分子优先吸附在Pd1Cu1/ND@G的Pd原子上。乙炔吸附后,H2分子在Cu原子上发生解离吸附。然而,解离的氢原子可以迁移到Pd原子上以减少空间应变。随后,第一个加氢步骤为吸热反应(0.22 eV),通过克服0.79 eV的能垒发生(从C到D),为整个乙炔加氢过程的决速步。在乙烯形成后(结合能为-0.67 eV),乙烯产物倾向于脱附路径,避免过度加氢(能垒为0.79 eV),这是实现Pd1Cu1/ND@G高选择性的关键步骤。
图5. Pd1Cu1/ND@G在乙炔加氢全过程中的能量及相应中间产物的结构侧视图。

文献来源
Fei Huang, Mi Peng, Yunlei Chen, Xiangbin Cai, Xuetao Qin, Ning Wang, Dequan Xiao, Li Jin, Guoqing Wang, Xiao-Dong Wen, Hongyang Liu, Ding Ma. Low-Temperature Acetylene Semi-Hydrogenation over the Pd1–Cu1 Dual-Atom Catalyst. J. Am. Chem. Soc. 2022. DOI: 10.1021/jacs.2c07208.
文献链接:https://doi.org/10.1021/jacs.2c07208
本文仅供科研分享,不做盈利使用,如有侵权,请联系后台小编删除
欢迎关注我们,订阅更多最新消息
“邃瞳科学云”推出专业的自然科学直播服务啦!不仅直播团队专业,直播画面出色,而且传播渠道多,宣传效果佳。
“邃瞳科学云"平台正在收集、整理各类学术会议信息,欢迎学会、期刊、会议组织方择优在邃瞳平台上进行线上直播,希望藉此帮助广大科研人员跨越时空的限制,实现自由、畅通地交流互动。欢迎老师同学们提供会议信息(会有礼品赠送),学会、期刊、会议组织方商谈合作,均请联系翟女士:18612651915(微信同)。
投稿、荐稿、爆料:Editor@scisight.cn