
第一作者:李易诚博士
通讯作者:陈蓉教授、曹坤副教授
通讯单位:华中科技大学
DOI: 10.1021/acs.chemmater.2c00851

全文速览
当前制造工艺尺度正从微米、纳米向原子量级逼近,出现了以原子为基本单元的自下而上制造方法,这种方法具有先天的制造精度优势,但是面临着缺乏有序制造驱动力的难题,对于纳米结构批量制造的可控性提出了严峻挑战。其中,原子层沉积是一种高精度的化学气相薄膜制造方法,最大的特点是可以将物质以单原子膜的形式镀在基底表面,每次反应只沉积单层原子。这使得该技术具备一个鲜明的特点:即膜厚控制精度达到Å级(10的-10次方m),在原子和近原子尺度制造方面前景广阔。在此基础上,自下而上的选择性ALD制造方法能更进一步利用材料表面的固有差异,在指定区域沉积通过一步沉积实现图案化结构纵向堆叠,该方法能有效减少光刻-刻蚀步骤、避免套刻误差,成为先进电子制造中的使能技术。基于上述背景,这项工作在一系列介电氧化物基底上研究了氧化钽的固有选择性原子层沉积(ALD)。研究发现,Ta2O5薄膜在SiO2等酸性氧化物上线性生长,而在Al2O3等碱性氧化物上存在较长的成核延迟,从而具有近100%选择性生长比。通过理论计算,固有选择性与表面酸度诱导的反应路径差异有关,而H-传递反应是决速步,阻碍碱性氧化物上的H-传递反应是关键。

背景介绍
随着半导体技术的发展,原子级分辨率和高精度的对准工艺正成为纳米制造的主要挑战。自上而下的光刻技术虽然是当前微电子制造的主流技术,但是该方法难以兼顾分辨率和成本而变得难以为继,因此亟需发展面向未来的自下而上纳米制造新方法。选择性原子层沉积是一类非常重要的自下而上制造方法,可以实现在生长区域和非生长区域上选择性生长薄膜,在3D结构对准制造方面展现出了巨大的优势。到目前为止,基于表面钝化,如聚合物,自组装单分子膜和小分子抑制剂等的选择性ALD被广泛探索以获得高选择性。然而,当特征尺寸进一步缩小,对三维纳米结构的需求增加时,选择合适的分子模板变得困难,边缘生长误差难以控制。固有选择性ALD不含抑制剂和去除步骤,制造过程大幅简化。因此,固有选择性ALD可以作为一种重要的补充方法,目前,已经实现了金属、半导体或电介质之间的各种材料组合,例如Ag和SiO2、Pt和SiO2、α-Si:H和SiO2、SiO2和SiN,TiN和SiO2等等。这些方法主要依赖于不同的表面官能团,例如氢化物与羟基以及氨基与羟基。具有不同官能团的表面上的选择性沉积有很大的热力学差异。然而,在具有相同官能团的化学相似表面上进行选择性沉积十分具有挑战性。
针对该挑战,华中科技大学的陈蓉教授、曹坤副教授和李易诚博士生开发了表面酸度诱导的氧化钽的固有选择性ALD,对表面都是羟基的MnO2、SiO2、Ta2O5、Al2O3、HfO2等常见的介电氧化物进行了研究。其中,目标材料氧化钽也是一种很有前途的高介电备选材料,在忆阻存储器、Cu扩散阻挡层、Si钝化层和电荷俘获层中都有应用。Ta2O5的沉积使用五乙醇钽[Ta(OEt)5]和O3作为前驱体和共反应物。在碱性HfO2和Al2O3基底上,观察到超过200次ALD循环的显著成核延迟,而在酸性基底上则观察到线性生长。通过实验和理论计算研究发现:H-传递反应是对-OH封端氧化物进行选择性ALD的主要因素。在SiO2等酸性基底上,可以进行H-传递反应,而对于碱性氧化物,H-传递反应的吸热特性表明它很难发生。因此,弱键合的前驱体分子(如五乙醇钽)很容易在碱性氧化物上脱附,从而导致成核延迟。基于表面酸度的介电氧化物制造方式将扩展未来纳米微电子领域的选择性沉积工艺库。

图文解析
图1. 入选期刊封面论文

图2. 选择性工艺及验证:(a)在200℃生长温度下,SiO2、Ta2O5、MnO2、HfO2和Al2O3基底上的Ta2O5厚度与ALD循环的对应关系;(b)SiO2(也包括Ta2O5、MnO2)和HfO2之间以及SiO2(也包括Ta2O5、MnO2)和Al2O3之间的选择性值与ALD循环的对应关系。在200℃的生长温度下进行(c)100和(d)250次ALD循环时,对SiO2、HfO2和Al2O3基底上的Ta 4f进行高分辨率XPS扫描,插图分别显示了Ta元素的具体比例。(e)100次ALD循环时,Ta2O5厚度与前驱体脉冲时间的对应关系。(f)Ta2O5薄膜横截面的明场和环形暗场TEM图像,以及元素叠加、Ta、O和Si元素的EDX面扫。

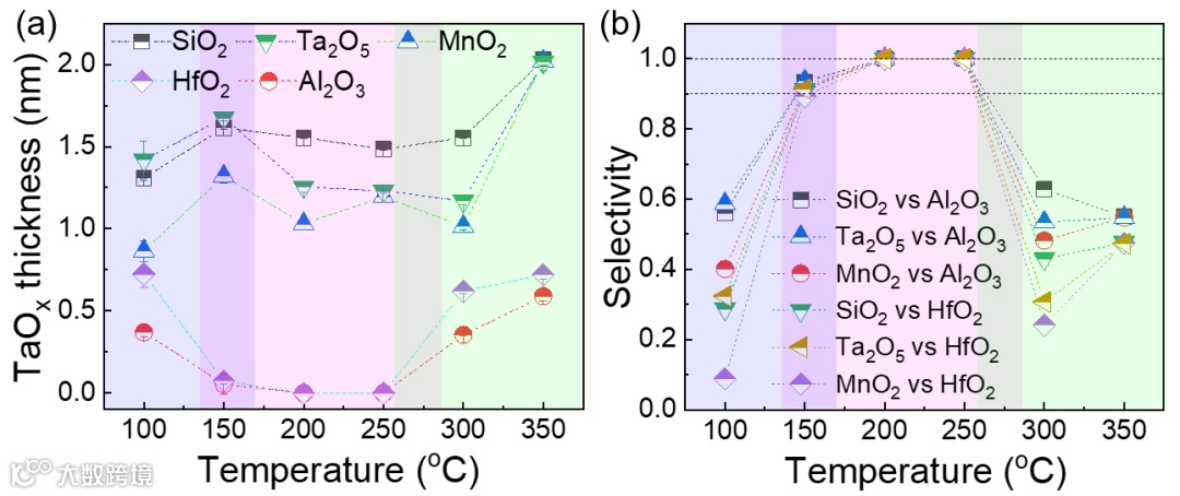
图3. 选择性与温度的对应关系:(a)在SiO2、Ta2O5、MnO2、HfO2和Al2O3基底上进行100次ALD循环时,TaOx厚度与生长温度的对应关系;(b)选择性值与生长温度的对应关系。

图4. 不同酸度基底生长速率:在HfO2、CuO、ZnO、Al2O3、SiO2和MnO2基底上的Ta2O5厚度和表面酸度,生长温度为200℃,100次ALD循环。

图5. 反应过程测试:在(a)连续AB型ALD工艺和(b)连续输入多个前驱体脉冲期间,在200℃下对SiO2进行残余气体测试。在(c)SiO2、(d)HfO2和(e)Al2O3上的残余气体测试,温度为200℃。(f)Ta(OEt)5和O3脉冲期间三种不同纳米颗粒上的乙醇产量,插图显示了乙醇的产生过程。

图6. 不同基底反应路径:在SiO2(黑色)、Al2O3(蓝色)和HfO2(橙色)基底上的完整ALD反应路径,O3半循环是红色曲线。内插图是温度和基底酸度对生长速率的影响。


总结与展望
这项工作研究了TaOx在几种电介质氧化物上的固有选择性原子层沉积。ALD工艺使用Ta(OEt)5和O3在100至350℃的温度范围内进行。研究发现,表面酸度是诱导选择性沉积的一个重要因素,并且可以通过动力学调控放大酸性和碱性氧化物之间H-传递反应的差异:在200℃时,碱性基底(Al2O3和HfO2)上存在200次ALD循环的较长形核延迟,而酸性基底(SiO2和MnO2)则观察到线性增长。并且,只有在ALD温度窗口中,碱性基底才存在较长的形核延迟,这是由于碱性基底在热力学上难以发生H-传递反应。同时,与酸性氧化物相比,碱性氧化物表面具有更短的-OH键长和更强的键级,这可以防止键断裂和随后的H-传递反应,这种固有选择性沉积方法可以扩展下先进电子制造的工具箱。

第一作者介绍
李易诚,2015年于武汉科技大学获得学士学位,2018年于华中科技大学获得硕士学位,2018年至今在华中科技大学机械工程专业博士在读。主要进行选择性原子层沉积理论与方法的研究。目前以第一或等同第一作者在Chem. Mater.、ACS Appl. Mater. Interfaces、Int. J. Extrem. Manuf.、Molecules等国际期刊发表论文。

通讯作者介绍
曹坤,华中科技大学机械科学与工程学院副教授,2011年与2016年在华中科技大学分别获得学士和博士学位,2016-2018年在华中科技大学进行博士后研究,2018年至今在华中科技大学工作。主要研究方向为微纳制造,包括选择性原子层沉积制造工艺,集成型薄膜制备与原位表征装备研发等,及其在柔性显示电子、环境催化等领域的应用。在Small、Chem. Mater.、Sci. Bullet.等发表SCI论文40余篇,获得湖北省技术发明一等奖、日内瓦国际发明展评审团特别嘉许金奖等。
陈蓉,教授、博士生导师,华中科技大学柔性电子研究中心副主任、机械科学与工程学院院长助理。2001年获得中国科学技术大学学士学位、2006年获得美国斯坦福大学博士学位。毕业后分别在美国应用材料和英特尔研究院担任高级技术职务。2011年回国,加入华中科技大学至今。国家级创新领军人才(2018),海外高层次青年人才(2011), 科学探索奖”获得者(2021)、中国工程院-中国工程前沿杰出青年学者(2021)。从事微纳制造的前沿交叉领域,开展原子层沉积方法、工艺与装备的研究。在Nat. Comm.,Adv Mater,Angew. Chem. Int. Ed,Small,Sci. Bullet.,IJEM,OEA等国内外期刊上发表SCI论文150余篇,获授权专利80余项、含10余项国际专利。发表SCI论文150余篇,主编撰写中英文出版物3部,获授权专利80余项、10余项国际专利。获湖北省技术发明一等奖、湖北省专利奖、“科创中国-先导技术榜单、IEEE SMC杰出学术贡献奖、日内瓦发明展特别金奖、金奖等。

文献来源
Yicheng Li, Yuxiao Lan, Kun Cao*, Jingming Zhang, Yanwei Wen, Bin Shan, and Rong Chen*. Surface Acidity-Induced Inherently Selective Atomic Layer Deposition of Tantalum Oxide on Dielectrics. Chem. Mater. 2022, DOI: 10.1021/acs.chemmater.2c00851
https://doi.org/10.1021/acs.chemmater.2c00851
声明
本文仅供科研分享,不做盈利使用,如有侵权,请联系后台小编删除
“邃瞳科学云”直播服务
“邃瞳科学云"平台正在收集、整理各类学术会议信息,欢迎学会、期刊、会议组织方择优在邃瞳平台上进行线上直播,希望藉此帮助广大科研人员跨越时空的限制,实现自由、畅通地交流互动。欢迎老师同学们提供会议信息(会有礼品赠送),学会、期刊、会议组织方商谈合作,均请联系翟女士:18612651915(微信同)。
投稿、荐稿、爆料:Editor@scisight.cn
扫描二维码下载
邃瞳科学云APP

