
论文DOI:10.1002/anie.202215540

全文速览
利用O2在温和条件下将碳氢化合物选择性地氧化为高附加值的含氧化学品是一种富有前景但充满挑战的方法。在本文中,作者巧妙地合成了一种晶态的、含三价铁(Felll)的共晶型钛氧簇合物Ti4Fe1。它能够很好地调控光激发状态下的能量转移和电荷转移过程,使得光生空穴和单线态氧(1O2)协同作用活化C(sp3)-H键,从而实现了将烃类碳氢化合物(C5至C16)高效和选择性地氧化成醛和酮,转化率高达12,860 μmol·g−1·h−1,比Felll掺杂型的钛氧簇合物Ti3Fe1高出5.7倍。这项工作提供了一种在原子水平上设计光催化剂来实现协同催化的新思路。

背景介绍
选择性氧化C(sp3)-H键,将有机碳氢原料转换为高附加值的含氧化学品,在化工和制药领域具有巨大的应用前景。但是C(sp3)-H键的高解离能使得该类反应充满挑战,通常要求苛刻的反应条件(如高氧气压力和/或高反应温度),还需要添加腐蚀性氧化剂。光催化能够直接利用太阳光激发产生电子和空穴,进而通过活化O2产生活性氧,如羟基自由基(•OH)、超氧自由基(•O2)和单线态氧(1O2)等,可在温和、绿色的条件下完成这些具有挑战性的反应。此外,光生空穴可以直接活化C-H键,利于提高催化性能。为此,多种光催化材料(如半导体、金属配合物、金属有机框架等)被开发用于碳氢化合物的氧化。然而,这些材料难以充分利用光生电荷和活性氧,受限了它们的催化效率。
理想的光催化转化过程应该是充分利用光生空穴活化C-H键,随后由活性氧氧化为特定的含氧产物。其中,活性氧是控制反应选择性的关键。1O2作为一种温和的氧化剂,因其强亲电性和宽pH值稳定性,通常比•OH和•O2-具有更高的氧化选择性和抗干扰性能。然而,将惰性的三重态O2分子选择性地活化为高活性的1O2并非容易,通常要求光激发的电子具有较长的寿命和小的间距,以便通过能量转移促进O2自旋翻转。此外,1O2与光生空穴高效地协同催化需对催化剂的活性位点进行理性的调控,因此迫切需要一种能在原子水平上调控光生电荷转移和能量转移过程的新型催化材料。

本文亮点
1. 精准调控异金属在钛氧簇中的结合方式,调控其能量转移和电荷转移机制,实现了高选择性地将O2活化为1O2。
2. 巧妙利用氧气和碳氢化合物在共晶中不同亚单元上吸附活化性能的差异,实现了光生空穴和1O2协同氧化碳氢化合物,完成了高的转化率(12,860 μmol·g−1·h−1)和选择性(91%)。
3. 结合理论计算和原位光谱,阐明了钛氧簇中异金属不同结合模式下的电荷转移机制和催化氧化反应机理。

图文解析
作者通过溶剂热法制备了两种结合模式的异金属钛氧簇合物,分别是共晶型的Ti4Fe1和掺杂型的Ti3Fe1和Ti3Al1,见图1。共晶的Ti4Fe1由{Ti4}+和{FeCl4}-两个亚单元构成(图1a,b)。Ti3Fe1(图1c)和Ti3Al1(图1d)是由{Ti3}亚单元结合一个异金属原子而形成。

图1:异金属钛氧簇合物的晶体结构。(a) Ti4Fe1的堆积结构,为CsCl型堆积模式。(b) Ti4Fe1的晶体结构, (c) Ti3Fe1的晶体结构, 和 (d) Ti3Al1的晶体结构。
作者通过固体紫外、Mott−Schottky测试、XPS价带谱确定了三种团簇的禁带宽度和能带水平(如图2所示),并通过密度泛函计算分析了各组分在能带结构中的贡献。基于这些信息对三种异金属团簇的电荷转移过程进行了分析。在共晶的Ti4Fe1体系中,{Ti4}+亚单元的光生电子可在电势梯度的驱动下转移至{FeCl4}-亚单元,电子在该过程中伴随能量释放(图2c,d)。在掺杂的Ti3Fe1体系中,掺杂的Fe在其带隙中形成了掺杂能级,{Ti3}亚单元的光生电子在电势梯度的驱动下转移至Fe掺杂能级,并可能在Fe位点上进一步与光生空穴复合,从而释放出能量(图2e,f)。Al掺杂并没能明显改变钛簇的能带结构(图2g,h)。

图2:(a) Ti4Fe1, Ti3Fe1 and Ti3Al1的紫外可见吸收光谱和对应的(b) Tauc plots图。Ti4Fe1(c, d), Ti3Fe1(e, f)和 Ti3Al1(g, h)的态密度图和对应的能带结构及能量转移过程示意图。
稳态荧光光谱证实Al没能抑制钛氧簇本征的电荷复合,显示了最强的荧光发射。虽然Ti4Fe1和Ti3Fe1表现了类似的光致发光性能,但是Ti4Fe1显示了更强光电流响应,说明共晶的Ti4Fe1拥有更好的电荷分离性能。原位顺磁共振谱表明,在光照后Fe的顺磁信号明显减弱,可归因于高自旋的+3价Fe被转移过来的光生电子还原为低价态的Fe(低自旋),证实以上理论计算的推测。Ti4Fe1表现出比Ti3Fe1更强的顺磁衰减,说明Ti4Fe1的电荷转移效率更高,这些结果与荧光和光电流的表征结果一致(图3)。

图3:(a) Ti4Fe1, Ti3Fe1 和Ti3Al1的稳态荧光光谱;(b)Ti4Fe1, Ti3Fe1 和Ti3Al1的光电流(全光谱);(c)Ti3Fe1不同光照时间下的顺磁共振谱图;(d) Ti4Fe1不同光照时间下的顺磁共振谱图。
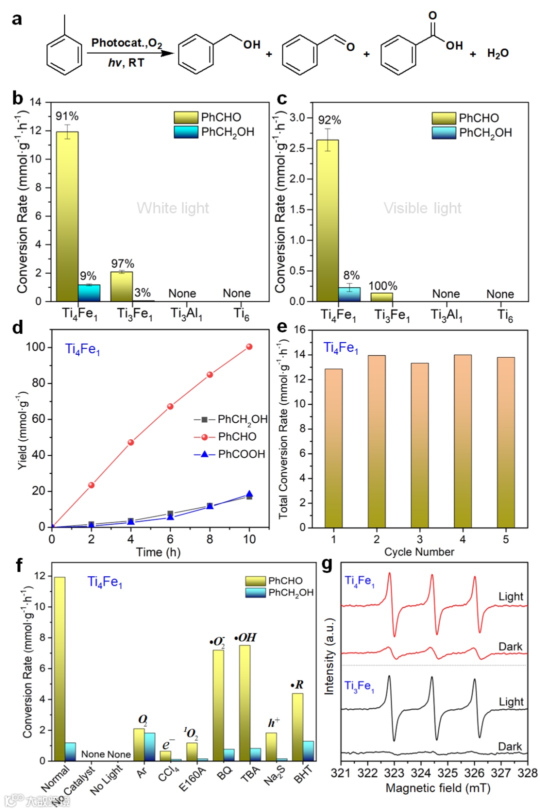
光催化甲苯氧化性能测试表明,相较于掺杂的Ti3Fe1,共晶的Ti4Fe1表现了更高的催化性能,白光照射下实现了12,860 μmol·g−1·h−1转化速率和91%产物选择性,转化速率是Ti3Fe1的5.7倍之高(图4)。可见光下也同样实现了较高的催化性能(转化速率2,680 μmol·g−1·h−1,产物选择性92%)。耐受性测试表明,异金属团簇在干燥剂(无水硫酸钠)存在下具有良好的催化稳定性,5个循环测试中,转化速率未见明显的衰减。同时Ti4Fe1对其他直链烷烃和芳香烃(C5-C16)实现了高效的选择氧化。活性物种捕获实验以及原位的顺磁共振光谱表明,光生电子和空穴在光催化氧化中同时发挥重要的作用,1O2和碳自由基(•R)是主要的活性物种,•O2在掺杂的Ti3Fe1中起到较Ti4Fe1更明显的作用。

图4:(a)光催化甲苯氧化的反应式;(b)白光和(c)可见光下光催化甲苯氧化的性能;(c) Ti4Fe1上光催化甲苯氧化的性能产率随反应时间的关系图和(d)循环测试图;Ti4Fe1上光催化甲苯氧化的活性物种捕获测试图,捕获剂为CCl4, β-胡萝卜素 (E160A),对苯醌 (BQ), 叔丁醇 (TBA),Na2S和丁羟甲苯(BHT);(g)在Ti4Fe1和Ti3Fe1上捕获单线态氧的顺磁共振谱图。
为进一步分析其催化反应机理,作者通过密度泛函计算分析了O2和甲苯分别在Ti4Fe1和Ti3Fe1中亚单元上的吸附能。结果表明O2和甲苯都优先吸附在钛簇亚单元上(图5)。基于上述催化性能测试和理论分析结果,作者提出了可能的电荷转移机制和催化反应机理。在共晶的Ti4Fe1中,{Ti4}+亚单元的光生空穴通过活化吸附在其上甲苯的C-H键,形成•R自由基;同时光生电子转移至{FeCl4}-亚单元,转移过程中释放的能量正好将吸附在{Ti4}+上的O2活化为1O2,1O2高选择性地将•R氧化为醛酮化合物。{FeCl4}-得到电子被还原,抑制了光生电子和空穴复合。1O2和光生空穴的协同氧化实现了高效的催化转化。而在掺杂的Ti3Fe1中,{Ti3}亚单元的光生电子迁移至Fe掺杂能级,但是该过程释放的能量不足以O2活化为1O2。转移到Fe上的光生电子再与空穴复合,降低了空穴活化C-H键的能力;同时在该过程中的释放能量位点与在{Ti3}亚单元上吸附的O2有着空间阻隔,降低了产生1O2的效率;而部分吸附在Fe位点上的O2被电子直接还原为•O2。

图5:O2分别在Ti4Fe1中(a)钛簇氧位点和(b)铁位点上的吸附模型和对应的吸附能;(c)O2吸附在Ti4Fe1中钛簇氧位点上的差分电荷分布图;O2分别在Ti3Fe1中(d)钛簇氧位点和(e)铁位点上的吸附模型和对应的吸附能;(f)O2吸附在Ti3Fe1中钛簇氧位点上的差分电荷分布图;(g)Ti4Fe1和(h)Ti3Fe1上光催化氧化甲苯的电荷和能量转移示意图。

总结与展望
本工作中,作者通过控制Felll的组装模式,理性地调控异金属钛氧簇合物的电荷动力学,实现了碳氢化合物的高效和选择性氧化。共晶结构的Ti4Fe1中的{FeCl4}-可以作为电子受体,增强能量的转移,促进高活性的1O2的产生,但是在掺杂的Ti3Fe1上无法有效实现。光生空穴和1O2的协同作用使得碳氢化合物高效和选择性的光催化氧化。本工作为设计和调节异金属钛氧簇合物的电子结构和能量转移提供了新的见解,并阐明了它们在光催化氧化中的应用潜力。

作者介绍
熊宇杰,中国科学技术大学讲席教授、博士生导师。1996年进入中国科学技术大学少年班系学习,2000年获化学物理学士学位,2004年获无机化学博士学位,师从谢毅院士。2004至2011年先后在美国华盛顿大学(西雅图)、伊利诺伊大学香槟分校、华盛顿大学圣路易斯分校工作。2011年辞去美国国家纳米技术基础设施组织的首席研究员职位,回到中国科学技术大学任教授,建立独立研究团队。2017年获国家杰出青年科学基金资助,入选英国皇家化学会会士(FRSC)。2018年获聘长江学者特聘教授,入选国家万人计划科技创新领军人才。2022年当选东盟工程与技术科学院外籍院士(FAAET(F))、新加坡国家化学会会士(FSNIC)。现任ACS Materials Letters副主编。主要从事基于催化过程的生态系统重构研究。迄今为止,在Science等国际刊物上发表260余篇论文,总引用34,000余次(H指数95),入选科睿唯安全球高被引科学家榜单和爱思唯尔中国高被引学者榜单。2012年获国家自然科学二等奖(第三完成人),2014-2016和2018年四次获中国科学院优秀导师奖,2015年获中美化学与化学生物学教授协会杰出教授奖,2019年获英国皇家化学会Chem Soc Rev开拓研究者讲座奖,2021年获安徽省自然科学一等奖(第一完成人)。
张磊,教授、博士生导师。2004年本科毕业于南京大学化学系,2009年获中国科学院福建物质结构研究所博士学位。2014年9月至2022年8月任中科院福建物构所研究员,2022年8月至今任南开大学电子信息与光学工程学院教授,主要研究方向为金属氧簇合成、光响应性能调控及光刻应用。截至目前,以第一或通讯作者在Acc. Chem. Res.、Chem. Soc. Rev.、J. Am. Chem. Soc. (6)、Angew. Chem. Int. Ed. (8)、CCS Chem. (2)等国内外知名期刊发表学术论文100余篇;申请、授权发明专利10余项;目前担任《中国科学:化学》《应用化学》《Chinese Chemical Letters》《Polyoxometalates》等期刊青年编委。作为负责人主持国家基金委优秀青年科学基金、重大研究计划培育项目、面上项目、福建省杰青项目等。曾入选中科院上海分院第八届杰出科技创新人才,中国青年化学家元素周期表“钛”元素代言人,福建省第三批青年拔尖创新人才等。
崔晓峰,安徽师范大学副教授,青年皖江学者,主要研究方向为金属纳米团簇功能化用于光、电催化小分子活化。截至目前,以第一或通讯作者在J. Am. Chem. Soc.、Angew. Chem. Int. Ed.等国内外知名期刊发表学术论文20余篇;申请、授权发明专利5项。
本文仅供科研分享,不做盈利使用,如有侵权,请联系后台小编删除
欢迎关注我们,订阅更多最新消息
“邃瞳科学云”推出专业的自然科学直播服务啦!不仅直播团队专业,直播画面出色,而且传播渠道多,宣传效果佳。
“邃瞳科学云"平台正在收集、整理各类学术会议信息,欢迎学会、期刊、会议组织方择优在邃瞳平台上进行线上直播,希望藉此帮助广大科研人员跨越时空的限制,实现自由、畅通地交流互动。欢迎老师同学们提供会议信息(会有礼品赠送),学会、期刊、会议组织方商谈合作,均请联系翟女士:18612651915(微信同)。
投稿、荐稿、爆料:Editor@scisight.cn