
第一作者:罗舒婷
通讯作者:张兴;朱凌云
通讯单位:清华大学;桂林电器科学研究院有限公司

研究背景
全固态锂金属电池凭借其显著提高的安全性和能量密度,在储能、电动汽车及便携式电子器件等领域具有广阔的应用前景。然而,界面问题依然是限制全固态锂电池性能的关键,电极-电解质界面不稳定性引起的高阻抗界面层会主导电池内阻,尤其是对于硫化物电解质和强还原性锂负极形成的界面。原位XPS、原位拉曼、原位TEM以及第一性原理计算等众多实验和理论研究表明,硫化物电解质电化学窗口较窄,在与金属锂接触时会生成Li2S、Li3P、LiX(对于Li6PS5X,X = Cl,Br,I)、Li-Ge合金(对于Li10GeP2S12)等产物。然而,现有研究主要集中在界面反应产物的精确测定上,而与电池性能密切相关的界面层纳米结构却很少被研究,这很大程度上决定了界面能否实现良好钝化。

成果简介
近日,清华大学张兴教授团队和桂林电科院朱凌云教授团队合作,利用拉曼光谱、冷冻透射电镜和从头算分子动力学模拟等多尺度表征手段研究了不同温度下单根锂枝晶和硫化物电解质界面层的纳米结构及演化。研究发现,室温下金属锂和硫化物电解质生成的界面层为单晶Li2S,对界面具有良好的钝化作用;而在60 ℃下,界面层为显著增厚的多晶Li2S,且反应过程伴随无序-有序的相变。高温下界面层内部出现的众多晶界、位错以及增加的厚度导致了超高的界面阻抗。反应动力学模拟进一步阐明了金属锂-硫化物电解质界面原子尺度的结构演变,并提出了有望完全抑制界面反应的稳定包覆层材料。相关研究成果以“Nanostructure of interphase layer between a single Li dendrite and sulfide electrolyte in all-solid-state Li batteries”发表在国际顶级期刊ACS Energy Letters上。

主要内容
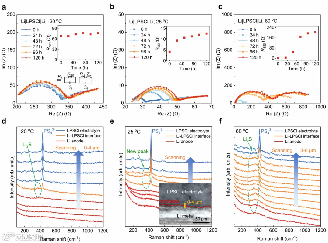
金属锂和硫化物电解质Li6PS5Cl(LPSCl)的界面反应过程可以从原位阻抗谱的演化中反映出来。图1a-c显示了在不同温度下静置的Li|LPSCl|Li电池120 h内的电化学阻抗谱及相应界面阻抗的演化过程。可以发现,对于在-20 ℃下静置的电池,其界面阻抗呈现波动且缓慢的上升。在25 ℃下的电池120 h内界面电阻从4 Ω增加至~13 Ω。与此同时,界面电阻增长的斜率逐渐减小,因此可以推断室温下为扩散控制的反应。对于60 ℃静置的电池,界面电阻增加了2个数量级,表明副反应的显著增强。与此同时,界面电阻的斜率先增加后降低,可以推断高温下反应早期为反应控制,随后转为扩散控制。此外,60 ℃下的界面电阻(204 Ω)是体材料电阻(14.4 Ω)的14倍,因此高温下离子输运的控制步骤不在体相中,而是在界面上。
图1. Li-LPSCl界面在不同温度下的阻抗演变和拉曼光谱分析。Li|LPSCl|Li电池分别在(a)-20 ℃,(b)25 ℃和(c)60 ℃下放置120 h后的时间演化阻抗谱。插图显示了电化学阻抗谱等效电路以及Li-LPSCl界面电阻的演化。Li|LPSCl|Li电池在(d)-20 ℃,(e)25 ℃和(f)60 ℃下静置120 h后Li-LPSCl界面的线性扫描拉曼光谱。图1e中的插图显示了Li-LPSCl横截面的光学图像。
为了确定界面层的组分,研究者利用拉曼光谱对静置120 h的Li-LPSCl横截面进行了测试。图1d-f显示了不同静置温度下Li-LPSCl界面的线扫描拉曼光谱。425 cm-1处的拉曼特征峰归因于LPSCl电解质,是由PS43-阴离子基团中P-S键的对称拉伸振动引起。对比25 ℃下Li-LPSCl界面和LPSCl电解质的拉曼光谱(图1e)可以发现,界面在~372 cm-1位置有新峰出现。通过将其与标准材料的特征峰进行比较,可以确定反应产物为Li2S。与此同时,在60 ℃下检测到增厚的Li2S界面层(图1f),而在-20 ℃下界面处仅捕捉到微弱的Li2S信号,这与阻抗谱结果一致。因此,Li2S为锂负极和硫化物电解质界面反应的主要产物。虽然Li2S的离子电导率远低于LPSCl电解质本身,但其对金属锂是热力学稳定的,有望作为保护层钝化界面。
2. 界面层纳米结构的研究
高分辨率冷冻TEM用于进一步分析单个锂枝晶和硫化物电解质之间界面层的纳米结构。图2a和2b分别显示了25 ℃和60 ℃下接触48 h形成界面层的高分辨TEM图像。对于在25 ℃下形成的界面层,从晶格条纹和快速傅里叶变换(FFT)图像中的特征衍射点可以确定,界面层为12 nm厚的单晶Li2S。而当温度升高至60 ℃,其纳米结构发生显著变化,在Li2S外层还存在厚度约为3 nm的非晶层。结合60 ℃下界面阻抗的演化,可以推断非晶层为界面反应的中间状态。此外,与室温下Li2S明亮的衍射点不同,60 ℃时FFT图像中的晶格衍射呈弧形,这表明Li2S层结晶度的下降和小角度晶界的出现。在绿色虚线框内可以观察到明显的晶界和Li2S晶粒之间的位错,在这些位置Li2S结晶度进一步下降。
图2. 不同温度下单根锂枝晶和硫化物电解质之间的界面层纳米结构及演化示意图。(a)25 ℃和(b)60 ℃下形成的界面层的高分辨TEM图像和FFT图像。(c)室温和(d)高温下界面层纳米结构演化示意图。
图2c和2d显示了不同温度下界面层纳米结构的演化示意图。在室温下,金属锂的扩散是界面反应的控制步骤,反应产物为结晶状态良好的Li2S,随着反应过程的进行,反应速率逐渐变慢,最终形成稳定的钝化层。在高温下,由于加速的锂扩散和增强的反应动力学,在锂金属的还原下电解质首先变为无序的Li-P-S-Cl原子,然后同时形成多个核,导致多晶Li2S的生成。Li2S从无序到有序的转变证明反应早期是反应控制的,而非扩散控制,与阻抗谱结果一致。随着反应的深入,无定形层与扩散的锂继续反应,形成显著增厚的多晶Li2S层。因此,与室温下钝化良好的界面不同,高温下增加的晶界、位错和界面层厚度导致钝化失效,这需要额外的途径来稳定界面。
3. 界面反应机理的研究及抑制策略
为了更深入了解Li-LPSCl的界面反应机理,研究者应用从头算分子动力学模拟(AIMD)从原子尺度阐明了界面结构随时间的演化。图3a显示了100 K和500 K下模拟后Li-LPSCl的界面结构,可以发现高温下具有更高的结构混乱度和反应深度,电解质中的S原子和金属锂中的Li原子相互扩散明显。从径向分布函数的演化可以发现(图3b-i),高温下P-S键发生明显断裂,并伴随Li2S和少量Li-P化合物的生成。模拟结果表明硫化物电解质中弱的P-S键是导致高温下超高界面阻抗的根本原因。
图3. 不同温度下Li-LPSCl界面的AIMD模拟结果。(a)在100 K和500 K下模拟后的界面结构;模拟过程中(b,f)P-S键、(c,g)Li-S键、(d,h)Li-P键和(e,i)键在(b,c,d,e)100 K和(f,g,h,i)500 K下的径向分布函数演化。
由于高温下界面钝化的失败,硫化物电解质和锂负极在实际应用中无法直接接触,人工界面层是一种有效的方式来提升界面稳定性。在此,研究者模拟了6种具有代表性的界面层材料,包括自形成的硫化物Li2S、氟化物LiF、氮化物BN、氧化物ZnO以及多元锂化物Li3PO4和Li5AlO4,500 K下模拟后的界面结构如图4a-f所示。可以看出,除BN外,其他界面层材料均无法抵制高温下的锂扩散。结合进一步的Bader电荷分析可知(图4g),材料的还原稳定性遵循氮化物>氧化物>硫化物>氟化物的总体趋势。对于同种阴离子,多元化合物的还原稳定性低于二元化合物。相比之下,氮化物具有独特的稳定性,即使在高温下也有望完全抑制锂金属和硫化物电解质之间的副反应,未来值得进一步研究。
图4. 500 K下Li-SEI-LPSCl界面的AIMD模拟结果。人工界面层材料为(a)Li2S、(b)LiF、(c)BN、(d)ZnO、(e)Li3PO4和(f)Li5AlO4的Li-SEI-LPSCl界面模型。(g)AIMD模拟后Li金属、LPSCl电解质和人工界面层材料的净电荷转移量。

结 论
综上所述,本文系统研究了单根锂枝晶和硫化物电解质之间界面层的温度依赖性纳米结构,并阐明了有/无人工界面层的原子尺度界面结构演变。冷冻TEM结果表明,室温下形成的界面层为单晶Li2S,对界面具有良好的钝化作用,而60 ℃下界面层内部出现的大量晶界和位错导致超高的界面电阻,需要人工界面层来辅助稳定界面。模拟结果表明,氮化物具有超高的还原稳定性,有望完全抑制副反应。我们的研究在纳米尺度上为金属锂和硫化物电解质的界面反应提供了有价值的见解,并将为未来的界面设计和实际应用提供合理的指导。

作者介绍

第一作者-罗舒婷:清华大学航天航空学院博士研究生,师从张兴教授,本科毕业于山东大学能源与动力工程学院。主要从事全固态锂电池的研究。
通讯作者—朱凌云:桂林电器科学研究院有限公司副总经理,工学博士,广西八桂学者,国务院特殊津贴专家,中国电工技术学会绝缘材料与绝缘技术专业委员会主任委员。曾获机械部科技成果二等奖,2008年起开展高安全性高容量全固体硫化物系锂离子电池系统研究工作,发表有关锂离子电池方面的论文30余篇,发明专利授权20余件。
通讯作者—张兴:清华大学航天航空学院教授,博士生导师,工程热物理研究所所长,中国工程热物理学会副理事长。曾获Hartnett-Irvine Award、教育部自然科学奖一等奖、日本机械学会热工学国际成就奖、亚洲热物性研究“重大贡献奖”等。发表期刊、国际会议论文400余篇,其中SCI收录200余篇,连续8年被爱思唯尔评为“中国高被引学者”。详见个人网页:https://www.hy.tsinghua.edu.cn/info/1155/1864.htm。
原文链接:https://doi.org/10.1021/acsenergylett.2c01543
声明
本文仅供科研分享,不做盈利使用,如有侵权,请联系后台小编删除
“邃瞳科学云”直播服务
“邃瞳科学云"平台正在收集、整理各类学术会议信息,欢迎学会、期刊、会议组织方择优在邃瞳平台上进行线上直播,希望藉此帮助广大科研人员跨越时空的限制,实现自由、畅通地交流互动。欢迎老师同学们提供会议信息(会有礼品赠送),学会、期刊、会议组织方商谈合作,均请联系翟女士:18612651915(微信同)。
投稿、荐稿、爆料:Editor@scisight.cn
扫描二维码下载
邃瞳科学云APP

