论文DOI:https://doi.org/10.1021/acsenergylett.2c01945

全文速览
过氧化氢 (H2O2) 是一种用途广泛的强氧化剂,但其化学生产过程不可持续且不安全。通过选择性双电子氧还原反应 (2e- ORR) 的分散电合成H2O2很有吸引力。这需要在酸性和中性溶液中具有活性、选择性、稳定性且具有成本效益的电催化剂。金属化合物是一类新兴的 2e- ORR 催化剂,具有用于优化 H2O2电合成的多样且可调的结构,但它们仍未得到充分探索。因此,对结构-性质关系知之甚少。本综述总结了基于金属化合物的酸性和中性 2e- ORR 催化剂的最新计算和实验发展,以及由此产生的机理理解和催化剂设计规则,用于指导未来的催化剂发现。系统地讨论了影响 H2O2 电合成的反应、催化剂、电极和设备因素。基于金属化合物的酸性 2e- ORR 催化剂还可以实现高效的电芬顿过程,用于环境修复和生物质增值。

背景介绍
过氧化氢 (H2O2) 是一种绿色氧化剂,在化学制造、废水处理以及造纸和纸浆工业中有着广泛的应用。H2O2 的工业生产主要通过蒽醌过程进行,其是能源密集型的。通过双电子氧还原反应 (2e– ORR, O2 + 2H+ + 2e– → H2O2) ,分散电合成H2O2提供了一条可持续的途径。它可以由可再生电力驱动,并消除对 H2 气体的需求,可以在环境条件下运行,并可以在使用点直接生产稀释的 H2O2,这有利于水处理等分布式应用。目前,关键的挑战是开发具有高活性、选择性和稳定性的廉价电催化剂,以实现所需的 2e- ORR生成 H2O2。
在过去十年中,科学家们已经研究了不同 pH 条件下的 H2O2 电合成,并报道了几类高选择性 2e- ORR 催化剂,包括贵金属合金、碳纳米材料、单原子催化剂和金属化合物。在这些报道中,碱性 2e- ORR 催化剂得到了最广泛的研究,尽管碱性 H2O2电合成存在一些局限性,包括 H2O2 在碱性溶液中的不稳定性和竞争性较弱的阴离子交换膜 (AEM) 技术。相比之下,除了 H2O2的化学稳定性外,研究较少的酸性和中性条件也具有吸引力。酸性 H2O2电合成可以在技术成熟的质子交换膜 (PEM) 装置中进行。现场消毒和环境修复也可以受益于酸性 H2O2 电合成,这是因为电芬顿过程在~3 的最佳 pH 值下运行,可以将产生的 H2O2转化为更具氧化性的羟基自由基 (•OH),以去除持久性细菌和有机污染物。对于直接应用,无腐蚀性的中性溶液可以避免中和的需要。然而,在酸性和中性溶液中高性能且具有成本效益的 2e- ORR 催化剂仍在开发中。
最近,人们开始对金属化合物电催化剂用于 H2O2 电合成产生兴趣。但是,对它们的结构-性质关系了解还不够。通过计算和实验,最近的研究建立了合理的催化剂设计规则,发现了一系列二元 (CoS2, CoSe, NiSe2) 和四元 (CuCo2-xNixS4, 0 ≤ x ≤ 1.2) 的金属硫族化物,其在酸性和中性溶液中可以作为稳定的 2e- ORR 催化剂。作者对催化剂的选择性、活性和稳定性进行了机理研究。与此同时,其他金属化合物在选择性 2e- ORR 电催化和 H2O2电合成方面也取得了成功。用于酸性 2e- ORR 的金属硫族化物催化剂的系统研究已改善了 H2O2 电合成性能和催化剂稳定性。并且,更稳定的 CoSe2 和 NiSe2 催化剂已被用于对催化剂稳定性要求更高的电芬顿工艺。除了使用 CoSe2 阴极证明有机污染物的电芬顿降解外,作者进一步开发了一种新方法,使用 NiSe2 阴极上的电芬顿过程将生物质衍生原料电化学增值为相应氧化产物。

图文解析

图1. 用于酸性和中性 H2O2 电合成/电芬顿过程的金属化合物基电催化剂的示意图。

图2. ORR 途径的热力学和动力学因素。(a) 基于贵金属的2e- ORR(绿色迹线)和 4e- ORR(蓝色迹线)火山图。(b) 2e-ORR 选择性可以通过增加 O-O 键裂解过程的活化势垒来进行动力学控制。

图3. 基于二元金属化合物的 2e- ORR 催化剂(c-CoS2,c-CoSe2, o-CoSe2,和 c-NiSe2)的稳定性、选择性和活性的计算筛选。(a) 黄铁矿型和白铁矿型金属硫族化物的晶体结构。(b) 在 c-CoS2, c-CoSe2, o-CoSe2和 c-NiSe2 的最稳定面上,O* 和 OH* 吸附到优先结合位点的能量。(c) 在包含两个 Ni 和四个 Se 位点的c-NiSe2 (100) 表面晶胞上,不同 O* 和/或 OH* 覆盖率的自由能比较。(d) 2e- 和 4e- ORR 路径的自由能图。

图4. 代表性金属硫族化物 2e- ORR 催化剂的 RRDE 评估。(a) (a1) 二元金属硫族化物 (c-CoS2,c-CoSe2, o-CoSe2和 c-NiSe2) 和 (a2) 硫尖晶石(CuCo2-xNixS4,0 ≤ x ≤ 1.2)催化剂的 RRDE 伏安图和相应的 H2O2 选择性;在 O2饱和的 0.05 M H2SO4 中,以 1600 rpm 的速度运行。(b) c-NiSe2和 c-CoSe2 的 H2O2 选择性和双层电容 (Cdl)与电位的关系。(c) 基于金属化合物的 2e- ORR催化剂与最近报道的其他类别催化剂的 H2O2 电合成动力学电流密度比较。(d) c-CoS2, c-CoSe2, o-CoSe2和 c-NiSe2 在 0.05 M H2SO4 中的 RRDE 稳定性测试。

图5. 硫尖晶石电催化剂的结构表征。(a) 表现出混合金属配位环境(四面体 Cu 和 Ni 位点;八面体 Co 和 Ni 位点)的 CuCo2-xNixS4硫尖晶石的晶体结构。(b) 合成后的 CuCo2-xNixS4(0 ≤ x ≤ 1.2) 催化剂和在碳纤维纸 (CFP) 上生长的酸处理 CuCo0.8Ni1.2S4 催化剂在 (b1) Cu K-edge、(b2) Co K-edge和 (b3) Ni K-edge记录的扩展 X 射线吸收精细结构。(c) 合成后的 CuCo2-xNixS4(0 ≤ x ≤ 1.2) 催化剂的粉末 X 射线衍射图。(d) 与 2e- ORR(路径 I)竞争,合成后的 CuCo2-xNixS4 催化剂可以很容易地浸出铜物质(路径 II 和 III),从而分解所产生的H2O2 并防止 H2O2积累(路径 IV);因此,在酸中预处理催化剂对于实现实际的 H2O2积累至关重要。

图6. 其他已报道的在酸性溶液中对 2e- ORR 进行实验测试的金属化合物的晶体结构。

图7. 监测基于金属化合物的 2e- ORR 催化剂的元素浸出。(a) 在 O2 饱和的 0.1 M HClO4 (40 mL) 中,以 0.5 V vs RHE 运行 6 小时后,Pt-Hg 与 PtP2 浸出元素的浓度(催化剂负载量均为 0.2 mgcatalystcm-2disk)。(b) RRDE 测试期间 PtP2 的活性损失,以及其通过 Al2O3外涂层的稳定性。(c) 与 PtP2 相比,在酸性溶液中进行长期 RRDE 稳定性测试后,c-NiSe2 和 c-CoSe2 的金属和非金属元素 (μmol gcatalyst–1h–1) 的归一化浸出率。

图8. c-NiSe2 和 c-CoSe2 2e- ORR 催化剂上过氧化物还原反应 (PRR) 的 RRDE 研究。(a) c-NiSe2 和 c-CoSe2 催化剂在 O2 饱和的 0.05 M H2SO4 中,在 1600 rpm 下的盘电流密度 (jdisk)、环电流密度 (jring) 和部分电流密度 (jperoxide),以及在含有 1、5、10 或 20 mM H2O2 的 Ar 饱和 0.05 M H2SO4 中、1600 rpm 下的 PRR 电流密度 (jPRR)。(b) c-NiSe2 和 c-CoSe2 催化剂的 H2O2净生成率与 jperoxide-jPRR 的相关性。

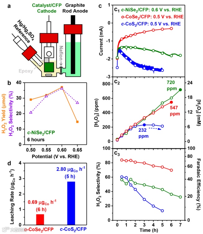
图9. 在 H 电池装置中,代表性金属化合物 2e- ORR 催化剂的H2O2电合成。(a) 三电极 H 电池示意图。(b) 在不同的施加电位(0.50、0.55、0.60 或 0.65 V vs RHE)下,在 O2-饱和的 0.05 M H2SO4(4 mL,在 1200 rpm 下搅拌)中, c-NiSe2/CFP 运行 6 小时的 H2O2 产率和选择性。(c) 在 0.05 M H2SO4 中,c-CoS2/CFP、o-CoSe2/CFP、c-NiSe2/CFP 上的 H2O2 电合成,其中 (c1) 显示计时电流法期间的稳态电流,(c2) 显示累积的 H2O2 浓度与时间的函数关系, (c3) 显示随时间累积的 H2O2 选择性和法拉第效率。(d) (c) 中 o-CoSe2/CFP与 c-CoS2/CFP 的金属浸出。

图10. 在流动池中,代表性金属化合物 2e- ORR 催化剂的H2O2电合成。(a) 使用涂有层模板化 sc-CoSe2 催化剂的 GDE 阴极的流动电解槽示意图。(b) sc-CoSe2 GDE 的总电流密度和 H2O2 分电流密度。(c) sc-CoSe2 GDE 的连续运行曲线。(d) PEM 燃料电池示意图;使用涂有用于 H2O2 电合成的 PtP2 催化剂 GDE 阴极。(e) H2O2 通过循环水流与低得多的稳态浓度在中性水中积累到高浓度。

图11. 使用新的基于金属化合物的 2e-ORR 催化剂,使电芬顿过程能够用于环境和生物质增值应用。(a) 电芬顿过程示意图。(b) 甘油线性配对电化学增值为相同氧化产物的示意图。

总结与展望
综上所述,该综述旨在对用于酸性和中性 H2O2 电合成的基于金属化合物 2e- ORR 催化剂,以及由这些新催化剂实现的后续电芬顿工艺提供简明的总结和展望。本文从用于预测识别对 2e- ORR 具有选择性和活性的稳定金属化合物的计算框架开始。然后概述了严格评估基于金属化合物 2e- ORR 催化剂的实验,从基本的电化学技术到催化剂浸出和副反应监测,再到放大的 H2O2 本体电合成和电化学装置工程。然后讨论了基于金属化合物阴极在电芬顿过程中的用途,用于从环境处理到有价值的化学转化等各种潜在应用。最后,作者提出了寻找新的、性能更好的基于金属化合物 2e- ORR 催化剂的未来挑战和机遇。
本文仅供科研分享,不做盈利使用,如有侵权,请联系后台小编删除
欢迎关注我们,订阅更多最新消息
“邃瞳科学云”推出专业的自然科学直播服务啦!不仅直播团队专业,直播画面出色,而且传播渠道多,宣传效果佳。
“邃瞳科学云"平台正在收集、整理各类学术会议信息,欢迎学会、期刊、会议组织方择优在邃瞳平台上进行线上直播,希望藉此帮助广大科研人员跨越时空的限制,实现自由、畅通地交流互动。欢迎老师同学们提供会议信息(会有礼品赠送),学会、期刊、会议组织方商谈合作,均请联系翟女士:18612651915(微信同)。
投稿、荐稿、爆料:Editor@scisight.cn