DOI:10.1038/s41467-022-35415-x

全文速览
CO2电催化还原制备多碳产物具有重要的意义,但面临着低选择性、低生产效率、低碳利用率和稳定性欠佳等挑战。近日,湖南大学黄宏文课题组利用孔结构限域效应和阳离子效应协同调控电催化反应的局部微环境,从而在强酸性(pH≤1)环境下在多孔铜纳米片催化剂上实现了高效制备多碳产物,在流动池中选择性可达83.7%,分电流密度达0.56 A cm-2,单程碳利用率达54.4%,并实现了30小时的稳定电解。机理研究表明,亥姆霍兹平面上累积的物种(K+,OH-)通过降低界面质子浓度在动力学上抑制析氢副反应,并通过非共价作用在热力学上推动CO2转化,从而促进多碳产物的生成。本论文的研究强调了催化剂设计与微环境工程耦合的策略对于促进电催化反应、并提升转化效率的重要性。

背景介绍
电催化CO2还原技术有望应用于将间歇性绿色电能存储于具有高附加值的碳氢化合物中,同时减少温室气体浓度。在多种CO2还原产物中,多碳产物(C2+)由于其高能量密度特征和在化工业的重要性而受到重点关注。当前,在热力学上优化*CO在活性位点上的吸附和在动力学上促进C-C偶联决速步骤,被认为是设计高效合成多碳的催化体系的基本原则。基于这样的原则,CO2电还原体系主要采用碱性电解液,这是因为碱性环境可以抑制析氢副反应,同时促进C-C偶联反应。迄今为止,尽管在通过优化催化剂结构和界面性质来促进多碳产物的选择性和活性的研究方面已取得许多进展,但绝大多数碱性CO2电还原体系仍旧面临着低选择性/活性,以及由碳酸盐积累所导致低碳利用率和稳定性欠佳等问题,这严重阻碍了碱性CO2电解体系的应用前景。
最近,为了解决碱性CO2电解体系的碳酸盐积累问题,有学者尝试利用酸性电解液来替代碱性电解液,从而抑制碳酸盐的形成,或者将局域形成的碳酸盐再生为CO2反应物。Sargent等人在开创性研究展示了一个理性设计的酸性CO2电解体系用于制备多碳产物,由于碳酸盐形成受到抑制,该体系展现出很高的碳利用率,并维持着较好的体系稳定性。尽管取得初步进展,由于酸性条件下竞争性析氢反应动力学十分快速,对应的多碳产物选择性还比较低,在pH≤1环境下仅有48%,这远不能达到实用标准。如何抑制酸性析氢副反应,并促进CO2分子活化生成多碳,是发展酸性CO2电解体系亟待解决的问题。
除了催化剂,我们意识到多碳产物的选择性和活性,亦强烈依赖于电催化反应微环境,其决定了电极—电解液界面中的物种分布、传质行为和局域相互作用。因此,本文基于催化剂设计与微环境工程耦合的策略,合成了一种具有丰富纳米孔结构的二维铜片催化剂,通过阳离子效应和孔结构限域效应调控局部微环境,开发了一个在强酸性环境下有效抑制析氢副反应、并高效高选择性制备多碳产物的CO2电还原催化体系。

图文解析

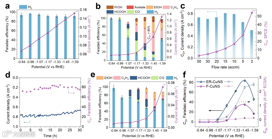
图1. 酸性介质中电催化CO2还原性能:(a) 0.05 M硫酸电解液中多孔铜片的CO2还原性能;(b) 添加3 M氯化钾的0.05 M硫酸电解液中多孔铜片的CO2还原性能;(c) 多孔铜片含钾离子酸性体系在不同CO2流速下多碳分电流密度及单程碳利用率;(d) 电解稳定性;(e) 光滑铜片的CO2电还原催化性能;(f) 添加3 M氯化钾的0.05 M硫酸电解液中多孔铜片和光滑铜片的多碳法拉第效率和ECSA归一化分电流密度对比。

图2. 阳离子效应机理研究:(a) 添加不同钾离子浓度的酸性体系CO2电还原催化性能;(b) 不同计算模型上的CO2还原为CO的反应路径能量变化;(c) 不同计算模型上的C-C偶联反应能垒对比;(d) 不同模型上的*OCCO和Cu活性位点相互作用(Cu-C强度)的积分晶体轨道哈密尔顿分量分析(-IpCOHP);(e) Cu-H2O-K+吸附*OCCO中间体的Bader电荷分析;(f) 添加3 M不同阳离子体系的酸性CO2电还原催化性能对比;(g) 多孔铜片和光滑铜片电极表面局域钾离子浓度测试;(h)-(i) 基于COMSOL计算的多孔及光滑铜片的表面钾离子浓度分布。

图3. 孔结构对于*CO中间体和OH-的限域效应:(a)-(b) 多孔铜片和光滑铜片的CO2电催化还原反应的原位红外光谱;(c)-(d) 0.1M KOH电解液中、不同转速下多孔铜片和光滑铜片的CV曲线,其中三个峰代表铜基催化剂不通过晶面的OH-吸附。

总结与展望
综上所述,我们利用催化剂设计与微环境工程耦合的策略,基于阳离子效应和孔结构限域效应调控电催化反应界面,抑制酸性析氢副反应,促进CO2还原为多碳过程的热力学和动力学条件,最终开发出了一个可在强酸性(pH≤1)条件下高效电还原CO2制备多碳产物的催化体系。

通讯作者介绍
黄宏文,湖南大学教授、博士生导师。2015年在浙江大学材料科学与工程学院获工学博士学位,师从叶志镇院士。期间赴美国佐治亚理工学院进行博士联合培养项目,师从夏幼南教授。现任湖南大学材料科学与工程学院教授,博士生导师,湖湘青年英才、湖南省优青、湖南大学教师新人奖获得者。目前主要从事高效能源金属电催化剂的研究。至今已发表SCI学术论文72篇,其中包括在J. Am. Chem. Soc.(3篇)、Nat. Commun.(1篇)、Angew. Chem. Int. Ed.(2篇)、Adv. Mater.(1篇)、Energy Environ. Sci.(2篇)、Nano Lett.(4篇)、Adv. Energy Mater.(3篇)、Adv. Funct. Mater.(3篇)、ACS Nano(1篇)等学术期刊发表一作/通讯论文50篇(IF>10论文32篇);已授权国家发明专利8项;主持国家重点研发计划青年科学家项目、国家自然科学基金联合基金、湖湘青年英才、湖南省优青等研究项目10项;担任纳米领域重要期刊Nano Research, Chinese Chemical Letters的青年编委;担任国家自然科学基金评审专家以及Nature、Nature Commun.、J. Am. Chem. Soc.、Adv. Mater.、Angew. Chem. Int. Ed.等顶级期刊的审稿人。

文献来源
Zesong Ma, Zhilong Yang, Wenchuan Lai*, Qiyou Wang, Yan Qiao, Haolan Tao, Cheng Lian, Min Liu, Chao Ma, Anlian Pan, Hongwen Huang*. CO2 electroreduction to multicarbon products in strongly acidic electrolyte via synergistically modulating the local microenvironment. Nature Communications, 2022, 13:7596, DOI: 10.1038/s41467-022-35415-x.
https://doi.org/10.1038/s41467-022-35415-x

博士后招聘
课题组主页:http://huang-research-group.com
一、应聘条件
1)具有材料、物理、化学专业的博士学位;
2)具有独立的科研能力以及很好的英文写作能力;
3)性格开朗,善于沟通,事业心强,身体健康,年龄35周岁以下。
4)具有严谨的科研态度和良好的团队协作精神,工作勤奋踏实。
二、聘期待遇
1)全职博士后薪资待遇由基础待遇和课题组补贴构成,分为以下两类:
特别资助类:30万元/年(税前工资)+上沙市人才补贴9-16万+基金/科研奖励。
要求入选“博士后创新人才支持计划”或“博士后国际交流计划”(引进项目),入选者资助期内享受上述待遇。
重点资助类:20万元/年(税前工资)+湖南省人才补贴9-16万+基金/科研奖励。
要求至少符合以下条件之一:
1. 博士毕业于arwu世界大学学术排名前100的海外(境外)高校或国际知名科研机构、国内双一流高校或a-及以上学科;
2. 在海外(境外)知名高校取得博士学位的非华裔人员;
3. 博士期间以第一作者或通讯作者发表本学科领域高水平研究论文(高被引或IF>10、SCI一区期刊)2篇,或取得相当水平学术成果。
2)全职博士后在站期间计算工作年限从进站之日起计算,博士后期间经评审后可认定为副研究员。在站期间成果丰富,入选湖南大学“杰出博士后奖”(每年评选一次)者,可直接申请副教授岗位。
3)课题组协助申请博士后科学基金、国家自然科学基金及省市各级课题(湖南省博士后创新人才支持计划-40万元经费)。
4)全职博士后在站期间,学校提供博士后公寓或租房补贴,其子女享受我校教职工子女入托、入学待遇。
5)博士后出站后,业绩优秀者可以续聘,或根据工作意愿推荐到其他单位。
2)反映本人学术水平的2篇代表作。
黄老师待人真诚,对科研有激情,在科研一线亲自指导,对本实验的博士后个人发展极为支持(已出站2位博士后均成为211高校副教授),有意者欢迎联系湖南大学材料学院黄宏文教授。
本文仅供科研分享,不做盈利使用,如有侵权,请联系后台小编删除
欢迎关注我们,订阅更多最新消息
“邃瞳科学云”推出专业的自然科学直播服务啦!不仅直播团队专业,直播画面出色,而且传播渠道多,宣传效果佳。
“邃瞳科学云"平台正在收集、整理各类学术会议信息,欢迎学会、期刊、会议组织方择优在邃瞳平台上进行线上直播,希望藉此帮助广大科研人员跨越时空的限制,实现自由、畅通地交流互动。欢迎老师同学们提供会议信息(会有礼品赠送),学会、期刊、会议组织方商谈合作,均请联系翟女士:18612651915(微信同)。
投稿、荐稿、爆料:Editor@scisight.cn