论文DOI:10.1021/acscatal.2c02715

全文速览
近日,河南大学张东娣和华南师大兰亚乾课题组合作设计并构建了两个功能化封端配体修饰的稳定的晶态铋氧簇Bi3和Bi14。两例铋氧簇首次被用作模型催化剂,系统地研究了电催化CO2还原为HCOOH的反应,两个催化剂都表现出高的转化率、高的法拉第效率和优异的电化学稳定性。同时,密度泛函理论计算结果表明,与Bi14中的单齿*OCHO中间体相比,Bi3中相邻双Bi原子的结构特征更有利于吸附活化CO2分子,桥接到活性中心的中间体*OCHO更有利于HCOOH的形成。这项工作为设计用于电催化将CO2还原为特定产品HCOOH的更稳定、更优异的晶态铋氧簇催化剂提供了重要的理论依据。

背景介绍
利用可再生电力将二氧化碳转化为高价值的燃料或化学品,被认为是缓解能源危机和温室效应的有效策略。在电催化二氧化碳还原反应(ECR)的液相产物中,甲酸无毒、稳定,在储存和运输方面有很大的优势,在储氢和燃料电池方面有广阔的应用前景。目前,铋基纳米材料电催化剂在ECR领域已被广泛报道,它们通常对CO2转化为HCOOH具有较高的选择性和法拉第效率。然而,这类电催化剂由于其相对复杂的相和组分,往往缺乏明确的结构信息,这就很难确定其确切的催化活性组分,进而确定反应机制。因此,为了研究CO2到HCOOH的具体转化机制,必须设计具有明确活性位点的电催化剂。
值得注意的是,晶态材料(如配位化合物)的发展大大扩展了它们在ECR中的应用。由金属离子/团簇和有机配体通过配位键组装而成的配位化合物具有明确的、可调整的结构,这使得它们可以成为研究特定构效关系的模型催化剂。然而,一些晶态材料在碱性甚至中性溶液中是不稳定的,这给它们在ECR中的应用带来很大的障碍和挑战。因此,提高晶态材料的稳定性对于扩大其ECR应用是非常必要的。

本文亮点
i) 这是首次报道用于ECR的稳定晶态铋氧簇电催化剂。疏水杯芳烃配体的修饰极大地增强了铋氧簇的稳定性,为它们成为稳定ECR电催化剂提供了先决条件。而且,铋氧簇清晰的分子结构为研究CO2向HCOOH的特定转化机制提供了精确的分子模型。
ii) 杯芳烃官能化的Bi3和Bi14对CO2到HCOOH转化的法拉第效率分别为96.47%和92.76%,并且在ECR过程中展现出优异的电化学耐久性分别长达27.5和23.9小时。
iii) 文章揭示了两种化合物在ECR过程中的特定电催化机理。与吸附在Bi14单金属位点上的单齿*OCHO中间体相比,Bi3结构中两个相邻铋原子桥接的双齿配位*OCHO中间体更稳定,并最终促进HCOOH分子的高效产生。

图文解析
文章采用简单的溶剂热法设计合成了两个稳定的对叔丁基硫杂杯[4]芳烃(TBC4A)修饰的铋氧簇,Bi3(μ3-OH)(TBC4A)2·2DMF (Bi3)和Bi14(μ3-O)3(μ4-O)4(TC4A)6(H2TBC4A)2·DMF (Bi14)。在这两个铋氧簇中,不饱和配位的铋原子有可能作为特定催化反应的活性中心。杯芳烃是一类具有多配位、多构象的配体,在金属高核簇合物的设计和制备方面具有显著的优势。TBC4A去质子化后成为强Lewis碱,与强Lewis酸的Bi3+离子形成非常稳定的结构。而且,TBC4A中叔丁基的强疏水性保证了合成的铋氧簇在催化反应中的稳定性。

图1. Bi3和Bi14的结构示意图。(a) Bi3的金属配位簇,(b) 对称的TBC4A配体,(c) Bi3的整体簇结构。(d) 铋氧核心,(e) 不对称的TBC4A配体,(f) Bi14的整体团簇结构。为了清晰起见,所有省略了氢原子。
LSV曲线显示了两个晶态催化剂相对于商用Bi2O3,具有较低的起始电位和较大的电流密度,中性条件下电催化CO2转化结果表明,还原产物主要为液相产物甲酸,并伴随少量的气相产物氢气和一氧化碳。此外,Bi3在较宽的电位窗口中表现出对甲酸的高选择性(-1.0 V到-1.3V,FEHCOOH > 90%),并在-1.3 V的电位下达到96.37%的最大值。

图2. (a) Bi2O3、Bi3和Bi14在Ar和CO2气氛下的线性扫描伏安曲线。(b) Bi3在不同电位(-0.7 V 至 -1.3 V)下的法拉第效率(H2,CO 和HCOOH)。(c) Bi2O3,Bi3和Bi14在不同施加电位(-0.7 V 至 -1.3 V)下的FEHCOOH。(d) TBC4A、Bi2O3、Bi3和Bi14的最大FEHCOOH。
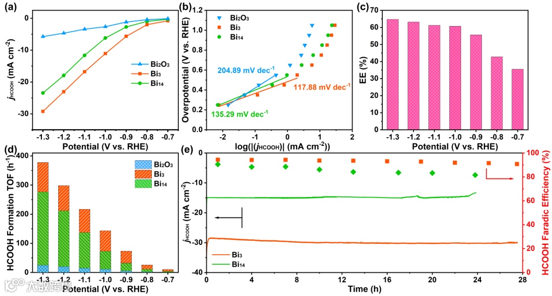
Bi3和Bi14在ECR过程中的部分电流密度TOF明显高于商用Bi2O3。较低的Tafel斜率表明Bi3具有更高的反应动力学,其主要原因是Bi3相比Bi14和Bi2O3暴露了更多的活性位点。分别对Bi3和Bi14进行了长时间稳定性测试,结果表明Bi3可以在-29.23 mA cm-2电流密度下维持约27.5小时;Bi14则在24小时内保持相对稳定的电流密度,但是其法拉第效率随时间的推移而下降,只能维持在80%以上。两种晶态催化剂的能量效率均超过了60%,表明两种催化剂具有较高的能量转化效率,这在大多数铋基ECR催化剂中也是比较优异的。

图3. (a) 商用Bi2O3、Bi3和Bi14上HCOOH的部分电流密度。(b) Bi3、Bi14及商业Bi2O3的Tafel斜率。(c) Bi3的能量效率。(d) TOF (h-1)。(e) Bi3和Bi14的稳定性测试。
通过密度泛函理论计算对Bi3和Bi14的ECR机理进行了研究。Bi3中铋簇的绝对构型是由μ3-OH连接的三角形铋氧簇,并且所有三个Bi原子都可以用作CO2吸附和活化的活性位点。值得注意的是,尽管Bi14结构含有14个Bi原子,但是大多数Bi原子被杯芳烃包围,并且杯芳烃之间的强大空间位阻使得除Bi14之外的所有Bi原子不能成为吸附和活化CO2分子的活性位点。结果表明在决速过程中,*OCHO中间体通过Bi3中两个相邻的铋原子形成两个Bi-O键而稳定在催化剂表面。然而,在Bi14中,活性位点(Bi14)的配合物结构由一个单齿*OCHO中间体完成。自由能图(FED)显示,单齿状*OCHO中间体的能量稳定性比桥接的*OCHO中间体高0.26 eV,表明甲酸更容易在三核铋氧簇上形成。通过原位红外表征追踪了ECR反应过程中的中间体产生,其结果表明*OCHO是电化学CO2转化为HCOOH的重要中间态物种。

图4. 通过DFT计算的反应途径和机理。简化模型并提出了Bi3 (a)和Bi14 (b)活性位点上ECR的反应途径。(c)Bi3和Bi14的自由能图(FED)。(d) ECR过程中0-20分钟期间Bi3的原位ATR-FTIR光谱。

总结与展望
本文设计合成了两种非常稳定的铋氧簇电催化剂,并对其ECR性能进行了详细的探索。两种催化剂对CO2还原为HCOOH具有较高的选择性和良好的电化学稳定性。通过电催化测试和DFT理论计算,本文研究了测试体系中电还原反应选择性与活性中间体之间的构效关系。结果表明在CO2还原为HCOOH过程中,桥接到活性中心的中间体*OCHO更有利于HCOOH的形成。本工作为探索用于实现CO2到HCOOH高效电还原的铋基晶态催化剂基本结构设计提供了重要的分子模型。
https://pubs.acs.org/doi/10.1021/acscatal.2c02715
本文仅供科研分享,不做盈利使用,如有侵权,请联系后台小编删除
欢迎关注我们,订阅更多最新消息
“邃瞳科学云”推出专业的自然科学直播服务啦!不仅直播团队专业,直播画面出色,而且传播渠道多,宣传效果佳。
“邃瞳科学云"平台正在收集、整理各类学术会议信息,欢迎学会、期刊、会议组织方择优在邃瞳平台上进行线上直播,希望藉此帮助广大科研人员跨越时空的限制,实现自由、畅通地交流互动。欢迎老师同学们提供会议信息(会有礼品赠送),学会、期刊、会议组织方商谈合作,均请联系翟女士:18612651915(微信同)。
投稿、荐稿、爆料:Editor@scisight.cn