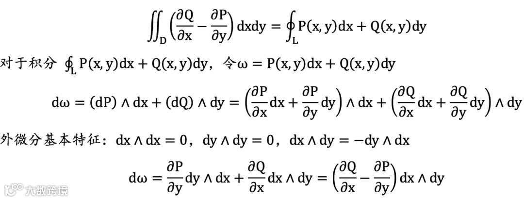
1. Green 定理:

因此 Green 定理可以改写为:

2. Stokes 定理:

因此 Stokes 定理可以改写为:

3. Gauss 定理:
因此 Gauss 定理可以改写:

陈省身先生说“外微分𝐝𝐱 ∧ 𝐝𝐲 = −𝐝𝐲 ∧ 𝐝𝐱最妙!”如果一个大师说一个事情很美妙,一 定值得我们终身学习。由上面的分析可知,这三个著名的积分公式可以利用外微分将他们统 一起来,数学是逻辑和形式上的统一。对于物理系统来说系统性质都是由边界(或表面)来决 定的。所以说所有里子都是由面子来决定的,面由心生是有一定的数理基础的。
声明
“邃瞳科学云”直播服务
扫描二维码下载
邃瞳科学云APP

