

第一作者:王佳琳
通讯作者:沈少华教授
通讯单位:西安交通大学动力工程多相流国家重点实验室
论文DOI:10.1021/acscatal.2c05249
电催化CO2还原可以将可再生电能转化为具有高附加值的燃料和化学品,能够有效缓解CO2排放带来的温室效应和全球变暖等问题。原子分散的过渡金属锚定氮掺杂碳(M−N−C)单原子催化剂表现出了优异的电化学CO2还原反应(CO2RR)性能,但决定CO2RR活性和选择性的机制尚不清楚。本工作采用简单通用的浸渍-酸刻蚀的方法来合成不同的M-N-C (M: Fe, Co, Ni, Cu) 单原子催化剂,揭示了中心金属d轨道电子排布对CO2RR性能的影响。电催化实验结果显示,Ni-N-C具有最优的CO2RR性能,在-0.65 V vs. RHE外加电压下,CO2转化为CO的法拉第效率(FE)达到97%。原位红外结果表明,Ni-N-C有利于*COOH中间体的形成;理论计算对比了CO2RR和HER竞争反应中决速步骤的自由能,进一步解释了Ni-N-C催化剂性能优于其它M-N-C催化剂的决定因素。
为缓解CO2排放增加所造成的日益严重的温室效应和全球变暖问题,人们迫切希望将CO2捕获并转化为高附加值的化学品和燃料。以可再生电能驱动电化学CO2RR,可以将CO2转化为高附加值化学品,是一种极具工业化潜力的CO2资源化转化与利用技术。然而,由于CO2还原反应途径复杂,产物多样化和产物选择性差等问题使其在实际应用中受到了很大的挑战。CO是C1产物链中最简单且最常见的产物,还原过程中只有2电子参与,并且能够实现预期的高活性和高选择性。单原子催化剂具有优异的稳定性、高活性和高原子利用率,是一种极有潜力的CO2转化为CO的催化剂。
1. 基于简单通用的浸渍-酸刻蚀法,本文制备了具有相同M-N4配位结构、不同d轨道电子构型的过渡金属M-N-C (M:Fe, Co, Ni和Cu)单原子催化剂。
2.Ni-N-C表现出优异的CO2-CO选择性,在-0.65 V vs. RHE外加电压下,CO法拉第效率(FE)达到97%,且在-0.5 V ~ -0.9 V vs. RHE的电压范围内仍保持90%以上的CO选择性。
3.阐明了中心金属的d轨道电子排布与CO2RR选择性之间的关系。Dewar-Chatt-Duncanson(DCD)模型和差分电荷密度分析表明,Ni-N-C中Ni2+的最外层d轨道为空轨道,有利于电子从吸附的CO2分子中的C原子向Ni2+转移,促进CO2活化。其他M-N-C (M:Fe,Co和Cu)单原子催化剂中,由于其中心金属的最外层d轨道由未成对的单电子占据,因此阻碍了电子转移过程。因此,Ni-N-C表现出优异的CO2-CO转化性能。
本工作采用一种简单通用的浸渍-刻蚀的方法合成了系列M-N-C (M: Fe, Co, Ni, Cu)单原子催化剂(图1a)。透射电镜和球差电镜(图1b-e)证明了单原子催化剂的成功合成。

图1 a) M-N-C (M: Fe, Co, Ni,和Cu)单原子催化剂制备过程示意图。b) Fe-N-C, c) Co-N-C, d) Ni-N-C, 和e) Cu-N-C的透射电镜图。f) Fe-N-C, g) Co-N-C, h) Ni-N-C, 和i) Cu-N-C的球差电镜图,其中过渡金属用红色圆圈标注。
通过X射线吸收光谱(XAS)研究了M-N-C (M: Fe, Co, Ni和Cu)单原子催化剂中心金属M的电子结构和配位情况(图2b-f),进一步证明了M-N-C催化剂中金属以单原子形式存在,且均为M-N4配位结构。

图2 a) M-N-C (M: Fe, Co, Ni,和Cu)的XRD分析。b) Ni原子的K-edge XANES光谱。c) Ni-N-C和参比样品的k3-weighted EXAFS光谱傅里叶变换。d) Ni-N-C和 e) Ni 箔的小波变换。f) FT-EXAFS曲线拟合,插图是Ni-N-C对应的结构模型。
M-N-C (M: Fe, Co, Ni和Cu)单原子催化剂的CO2RR电催化实验结果表明(图3),Ni-N-C具有最优的CO2RR性能,在-0.65 V vs. RHE外加电压下CO的FE达到97%,并在-0.5 V ~ -0.9 V vs. RHE电压下的FE仍保持90%以上。同时,Ni-N-C具有最高的CO2RR电流密度和优异的稳定性(图3b-d)。

图3 M-N-C (M: Fe, Co, Ni,和Cu)单原子催化剂的a) CO法拉第效率。b)总电流密度。c) CO电流密度。d)不同电压下的电流密度随时间变化曲线。
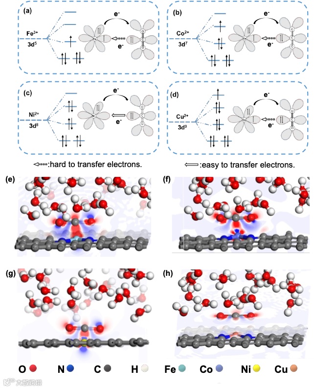
由M-N-C (M: Fe, Co, Ni和Cu)单原子催化剂的中心原子d轨道电子排布及其与CO2分子的电子相互作用(图4a-d)可以看出,具有空的最外层d轨道的Ni-N-C最有利于CO2RR过程中的电子转移。差分电荷计算结果(图4e-h)进一步表明,在CO2RR过程中,Ni-N-C催化剂的中心金属Ni周围具有最高的电子云密度,进一步证明了Ni-N-C最有利于电子转移和CO2RR的发生。

图4中心金属d轨道电子排布示意图及其与CO2分子的电子相互作用:a) Fe-N-C, b) Co-N-C, c) Ni-N-C, d) Cu-N-C。差分电荷侧视图:e) Fe-N-C, f) Co-N-C, g) Ni-N-C, h) Cu-N-C。
原位红外光谱(图5)测试结果表明,Ni-N-C在较低电压下最有利于*COOH中间体的产生,使其CO2RR性能优于其它M-N-C (M: Fe, Co和Cu)单原子催化剂。

图5 a) Fe-N-C, b) Co-N-C, c) Ni-N-C, d) Cu-N-C的原位红外光谱。e) CO2-CO还原反应路径示意图。
接着从理论计算的角度来分析Ni-N-C性能的优越性。通过对比CO2RR和HER的决速步骤的自由能可以看出:Ni-N-C催化剂的CO2RR决速步骤自由能低于HER决速步骤自由能,更有利于CO2RR的发生;而其余M-N-C (M: Fe, Co和Cu)单原子催化剂均表现出CO2RR决速步骤自由能高于HER决速步骤自由能,不利于CO2RR的发生(图6)。该理论计算结果充分证明了Ni-N-C具有最优的 CO2RR性能和CO选择性。

图6 反应路径和自由能图:a) CO2RR, b) HER。
本工作使用一种简单的浸渍-酸刻蚀的方法合成了具有相同M-N4配位结构的M-N-C (M: Fe, Co, Ni和Cu)单原子催化剂。Ni-N-C表现出了最优的CO2RR性能,在-0.65 V vs. RHE外加电压下CO2转化CO的法拉第效率达到97%,优于其它M-N-C (M: Fe, Co和 Cu)单原子催化剂。晶体场理论和DFT计算结果表明,当具有相同的M-N4配位时,M-N-C单原子催化剂中心金属的d轨道电子排布是影响CO2RR性能的主要因素。对Ni-N-C而言,Ni2+的最外层d轨道是空的,有利于CO2RR过程中电子从CO2的C原子转移到Ni2+。然而,M-N-C (M: Fe, Co和 Cu)的中心金属最外层d轨道为单电子占据状态,阻碍电子转移,不利于CO2RR的发生。原位光谱和理论研究表明,Ni-N-C更有利于*COOH中间体的形成。对比CO2RR和HER的决速步骤的自由能发现,Ni-N-C具有更低的CO2RR决速步骤自由能,CO2RR性能最优。本工作从实验和理论两方面证实了M-N-C单原子催化剂中心金属d轨道电子排布对CO2RR性能的决定性影响。
王佳琳,西安交通大学沈少华教授课题组博士研究生,研究方向为电催化CO2还原。
沈少华,西安交通大学教授、博导,动力工程多相流国家重点实验室副主任,国家杰出青年科学基金获得者。博士毕业于西安交通大学,美国加州大学伯克利分校博士后,从事太阳能光电催化能源转化研究。学位论文获“全国百篇优秀博士学位论文”,入选中组部“万人计划”青年拔尖人才、教育部“青年长江”和国际先进材料协会会士(IAAM Fellow);获中国青年科技奖、国家自然科学二等奖、中国可再生能源学会技术发明一等奖、陕西省科学技术一等奖、陕西省教学教育成果特等奖、IAAM Award、Nano Research Young Innovator Award等奖励。以一作/通讯作者在Nature Energy, Adv Mater等期刊发表SCI论文120余篇,他引13000余次。兼任中国工程热物理学会多相流分会副主任、可再生能源学会氢能专委会副秘书长、可再生能源学会青年工作委员会秘书长等学会职务,担任Science Bulletin、Chinese Chemical Letters、Battery Energy、Carbon Neutrality等期刊编委。
声明
“邃瞳科学云”直播服务
扫描二维码下载
邃瞳科学云APP

