

二维(2D)材料覆盖下的限域催化,已成为各种重要反应中设计高效催化剂的一种极具前景的策略。在本文中,作者设计出一种多孔覆盖层结构以促进2D覆盖催化剂的界面电荷传输和传质动力学。利用多孔石墨烯(pGr)单层对n-Si基底上的NiOx薄膜模型催化剂进行覆盖,其作为光阳极的光电化学氧析出反应(OER)可证实催化性能的提升。测试结果表明,与本征石墨烯覆盖和无覆盖对照样品相比,pGr覆盖可通过平衡光阳极和电解液界面的电荷传输与传质来增强OER动力学。理论研究进一步证实,pGr覆盖的孔边缘可通过降低反应过电位以提高NiOx中活性位点的本征催化活性。此外,通过等离子体轰击可以实现孔的优化调控,满足OER过程中产生的氧分子通过而不会剥离pGr覆盖层,从而确保催化剂的结构稳定性。该研究揭示出多孔覆盖层结构在2D覆盖催化剂中的重要作用,并为高性能催化剂的设计提供有效指导。
作为限域催化的一种新类型,二维(2D)覆盖层限域催化已成为各种重要反应中高性能催化剂设计的有效策略。其中,低压CO催化氧化实验首次证实2D覆盖催化剂中的限域效应。近年来,理论研究揭示出具有2D覆盖层设计的金属或金属氧化物可促进H2析出和CO2还原反应。这类2D覆盖层要么降低反应物在催化剂表面上的吸附自由能,要么提高电荷传输效率,从而提升催化反应性能。
作为一种典型的2D材料,石墨烯(Gr)本身具有电化学惰性,并且可以在不同性质的基底上生长或转移,使其成为研究2D覆盖催化的理想模型。然而,Gr在原子和分子渗透中表现出非常高的能垒(至少几个电子伏特),因此原则上在环境条件下阻止任何气体和液体渗透。Fu等通过测试表明,只有氢离子(H+)能够可逆地穿透Pt(111)表面的单层Gr覆盖层并被电化学还原为吸附原子,而其它体积庞大的阳离子和阴离子在电化学环境下被完全阻断。Koper等近年来的一项实验证明,Gr能够阻隔阴离子与Pt(111)催化剂表面的相互作用,并且Gr层中的质子渗透通过晶畴边界和点缺陷发生。由此可以推断,Gr覆盖层将限制反应物离子/分子进入限域催化表面,并阻止产物从限域区域释放。这不仅会限制催化反应中的电荷传输和传质,而且由于气体产物的压力积聚还可能导致限域区域的结构破坏。尽管限域催化剂中存在着空位或晶界等本征缺陷,但相应的理论研究为基于具有完美2D覆盖层结构的理想模型,从而导致催化机理研究与实际情况存在一些差异。
密度泛函理论(DFT)计算表明,Gr中的结构缺陷对于调控2D限域空间中吸附质与催化剂的相互作用,或改变0D Gr或碳壳层覆盖颗粒电催化剂中的活性位点至关重要。此前的研究发现,2D覆盖层催化剂的电化学H2析出活性可通过改变2D覆盖层结构来调控,例如掺杂、缺陷和覆盖层层数等。然而,对于高性能2D覆盖催化剂而言,合理设计2D覆盖层的结构以调控本征催化活性以及电荷传输和传质仍然是一项挑战。
图1. (a) n-Si/TiO2/NiOx/pGr光阳极的制备过程示意图,其中ALD、TE和PB分别为原子层沉积、热蒸发和等离子体轰击。(b) n-Si/TiO2/NiOx/pGr(红色), n-Si/TiO2/NiOx/Gr(绿色)和nSi/TiO2/NiOx(黑色)光阳极,分布简称为NiOx/pGr, NiOx/Gr和NiOx的Raman光谱。
图2. (a) n-Si/TiO2/NiOx/pGr, n-Si/TiO2/NiOx/Gr和n-Si/TiO2/NiOx光阳极的高分辨率Ni 2p XPS谱。(b) n-Si/TiO2/NiOx/Gr和(c) n-Si/TiO2/NiOx/pGr光阳极的高分辨率C 1s XPS谱。
图3. (a) 300 nm-SiO2/Si基底上pGr在不同Ar等离子体轰击时间以及初始Gr对照样品的Raman光谱。(b) G峰的ID/IG值和FWHM与等离子体轰击时间的关系。(c) ID/IG值与两个相邻缺陷之间平均距离(LD)的关系,其中红色曲线是理论建模数据。(d)在阶段1中一个Ar等离子体离子轰击后pGr的结构模型,其中rA和rS分别为结构活化和无序区域的半径。
图4. pGr样品在Ar等离子体轰击(a) 5, (b) 15和(c) 30 s后的TEM图。
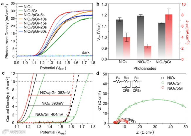
图5. (a)不同轰击时间下的n-Si/TiO2/NiOx/pGr光阳极在1 M KOH溶液和AM 1.5G太阳光(100 mW cm-2)照射下的电流密度-电位(J-V)曲线,n-Si/TiO2/NiOx/Gr和n-Si/TiO2/NiOx作为对照样品。(b) n-Si/TiO2/NiOx/pGr, n-Si/TiO2/NiOx/Gr和n-Si/TiO2/NiOx光阳极的Von和J1.23值。(c)在1 M KOH溶液中,n-Si/TiO2/NiOx/pGr, n-Si/TiO2/NiOx/Gr和n-Si/TiO2/NiOx光阳极于光照(实线)以及相应的p+-Si/NiOx/pGr, p+-Si/NiOx/Gr和p+-Si/NiOx电极于黑暗(虚线)条件下的OER极化曲线。(d) n-Si/TiO2/NiOx/pGr, n-Si/TiO2/NiOx/Gr和n-Si/TiO2/NiOx光阳极在1 M KOH溶液和AM 1.5G太阳光照射下于1.23 VRHE电位的Nyquist曲线。
图6. (a)纯NiOOH和(b)初始Gr, (c)具有C1空位pGr, (d)具有C4空位pGr, (e)具有zigzag边缘pGr, (f)具有armchair边缘pGr, (g)具有氧化zigzag边缘pGr覆盖NiOOH的模型俯视图和DFT计算过电位。红色、蓝色、白色和灰色球体分别代表氧、镍、氢和碳原子。
总的来说,本文设计出一种2D多孔Gr覆盖层结构以增强n-Si基NiOx光阳极的OER性能。研究发现,pGr覆盖层的性能优于Gr覆盖层,性能提升可归功于pGr中的孔有效促进了光阳极和电解液之间的电荷传输与传质性能。这些孔允许电荷和反应物进入催化剂表面,并使得生成的O2从表面有效释放。因此,pGr有效确保了光阳极在PEC OER过程中的优异活性和结构稳定性。DFT计算进一步表明,具有最佳尺寸的孔边缘可以稳定相邻反应中间体,通过降低催化过电位以增强本征OER活性。该研究揭示出多孔覆盖层结构在2D覆盖催化剂中的重要作用,并为高性能催化剂的设计提供有效指导。
【文献来源】
声明
“邃瞳科学云”直播服务
扫描二维码下载
邃瞳科学云APP

