

论文DOI:10.1002/anie.202218596
分子筛分分离被认为是最理想的气体分离模式,尤其适合于正丁烷和异丁烷同分异构体的分离。但传统的吸附剂在分离选择性和吸附量两者之间往往存在相互制约,难以兼得,特别是一些分子筛分吸附剂材料由于孔隙率低、吸附容量低,限制了其工业应用。因此,理想的吸附剂材料不仅应具有合适的孔穴尺寸实现分子筛分效应,同时应具有高的孔隙率以兼具良好的吸附容量。
本工作通过在具有较大孔笼的Zn-bzc MOF的孔笼窗口处引入甲基基团,得到甲基修饰的Zn-bzc-2CH3 材料,实现了正丁烷和异丁烷的高效分离。一方面,甲基的引入有效地调节了笼状MOF的孔尺寸,实现了正丁烷和异丁烷的分子筛分分离。另一方面,笼状的孔结构提供了较高的孔隙率,使其在298 K和1 bar下具有较高的正丁烷吸附容量。此外,引入的甲基基团在MOF孔道内创建了疏水环境,大大增加了MOF材料的化学稳定性,并且很好地消除了水汽对分离的影响。该材料在分离性能和稳定方面均具有优势,表现出良好的应用前景。


背景介绍
正丁烷(n-C4H10)和异丁烷(iso-C4H10)均为重要的石化基础原料。工业上C4烷烃同分异构体通常是从裂解气或异构化产物中获得,以混合物的形式存在。因此,C4烷烃同分异构体的分离非常重要,且具有挑战性。工业上通常采用低温精馏的方法进行分离,投资大、操作复杂、能耗高。相比而言,吸附分离具有优势,但传统的吸附剂材料在分离选择性和吸附量两者之间往往存在相互制约,难以兼得。因此,理想的吸附剂材料不仅应该具有合适的孔穴尺寸实现分子筛分效应,同时应该具有大的孔隙率以具备高的吸附容量。
为了解决这一难题,近日,天津工业大学仲崇立/黄宏亮团队在Angew. Chem. Int. Ed.期刊发表了题为“Stepwise engineering of a cage-like MOF pore aperture for the efficient separation of isomeric C4 paraffins under humid conditions”的文章 (DOI: 10.1002/anie.202218596),作者将一定数量的疏水基团引入笼状MOF的孔窗口处,通过精确调节MOF孔窗口尺寸,实现了高效的n-C4H10/iso-C4H10分子筛分分离。此处引入甲基有三方面贡献:第一,甲基的引入有效地调节了笼状MOF的孔尺寸,实现了正丁烷和异丁烷的分子筛分分离;第二,引入的甲基基团在MOF孔道内创建了疏水环境,很好地消除了水汽对C4分子的竞争吸附,从而消除了水汽对C4分离的影响;第三,由于疏水甲基基团对无机簇的屏蔽作用,甲基的引入大大增加了MOF材料的化学稳定性。另外,笼状的孔结构提供了较高的孔隙率,使得该材料在298 K和1 bar下具有较高的正丁烷吸附容量。

本文亮点
1. 本工作通过在笼状MOF的孔窗口处逐步引入不同数量的甲基基团,实现了孔窗口尺寸的精细调控,并获得了具有n-C4H10/iso-C4H10分子筛分分离的吸附剂材料,并且由于其笼状结构提供了较大的孔隙率,该材料的正丁烷吸附量超过了其他文献报道的分子筛分吸附剂。因此,本工作报道的吸附剂材料兼具高的分离选择性和吸附容量。
2. 本文通过引入疏水的甲基基团,不仅实现了孔尺寸调控,甲基基团创建了疏水的孔道微环境,大大提高了MOF材料的化学稳定性,并消除了水汽对C4分离的影响,使得该材料是高湿度下仍然保持了极佳的分离效果。

图文解析

图1. 笼状MOF的孔穴尺寸调控和C4烷烃异构体分离示意图

图2. (a) Zn-bzc中的bzc配体;(b) Zn-bzc-CH3中的bzc-CH3配体;(c) Zn-bzc-2CH3中的bzc-2CH3配体;(d) Zn-bzc、(e) Zn-bzc-CH3和 (f) Zn-bzc-2CH3的康诺利表面结构;(g) Zn-bzc、(h) Zn-bzc-CH3和 (i) Zn-bzc-2CH3的孔窗口。

图3. (a) Zn-bzc、(b) Zn-bzc-CH3和(c) Zn-bzc-2CH3在298 K下的n-C4H10和iso-C4H10吸附等温线图。

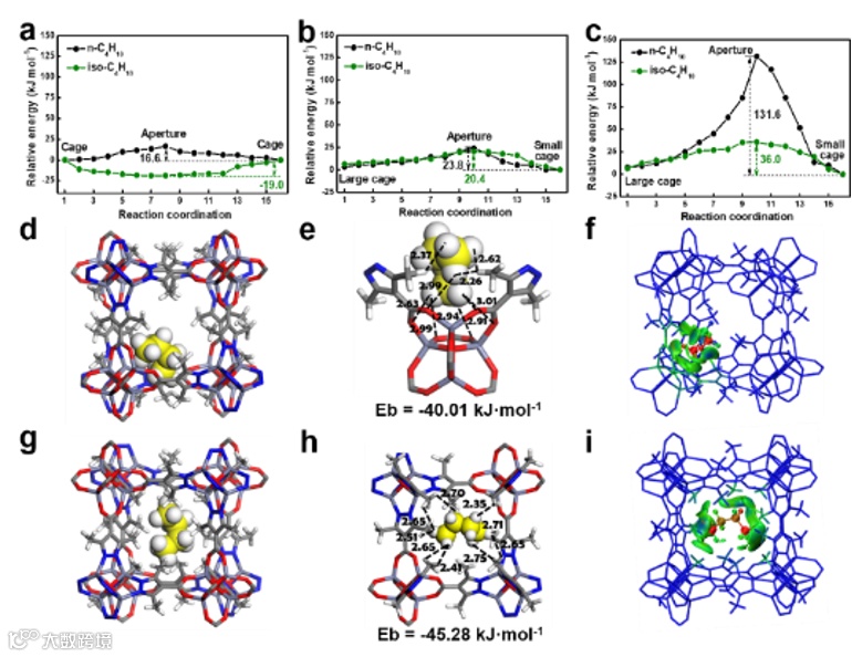
图4. (a) Zn-bzc、(b) Zn-bzc-CH3和 (c) Zn-bzc-2CH3中的n-C4H10和iso-C4H10的扩散能垒;n-C4H10在Zn-bzc-2CH3 的大孔笼 (d,e) 和小孔笼 (g,h) 中的吸附构型;n-C4H10在Zn-bzc-2CH3 的大孔笼 (f )和小孔笼 (i) 中的IGM分析。

图5. 在298 K下,(a) Zn-bzc-2CH3分别在干燥和潮湿环境中的n-C4H10/iso-C4H10(v/v=1:1)混合物的穿透图;(b) Zn-bzc-2CH3分别在干燥和潮湿环境中对n-C4H10的穿透图;(c) Zn-bzc和Zn-bzc-2CH3的单组分水蒸气穿透图;(d) Zn-bzc分别在干燥和潮湿环境中对n-C4H10的穿透图。

图6. (a) Zn-bzc和Zn-bzc-2CH3化学稳定性测试。(b) 苛刻条件处理后的Zn-bzc-2CH3的n-C4H10吸附等温线。Zn-bzc-2CH3的(c) n-C4H10单组分循环再生吸附实验和(d) n-C4H10/iso-C4H10混合物分离循环再生实验。

总结与展望
作者通过调控孔窗口处的甲基数量,实现了MOF吸附剂优异的正异丁烷分子筛分效果。一方面,甲基的引入有效地调节了笼状MOF的孔尺寸,从而实现了n-C4H10/ iso-C4H10的分子筛分分离。另一方面,笼状的孔结构提供了较高的孔隙率,从而使得Zn-bzc-2CH3 材料在298 K和1 bar下具有较高n-C4H10吸附容量。此外,引入的甲基基团在MOF孔道内创建了疏水环境,大大增加了MOF材料的化学稳定性,并且很好地消除了水汽对n-C4H10/ iso-C4H10分离的影响。该新材料在分离性能和稳定方面均具有优势,表现出良好的应用前景。同时证明了在MOF的孔窗口处引入小分子来实现优异的筛分效果的策略是可行的,并且可扩展到更多的分子筛分体系中,为发掘出更多高效的吸附剂材料提供了一种可能。

通讯作者简介

仲崇立,教授,博士生导师,天津工业大学省部共建分离膜与膜过程国家重点实验室主任、化学工程与技术学院院长。1993年获北京化工大学工学博士学位,先后在日本广岛大学和荷兰Delft University of Technology任助理教授、博士后研究员,1999年9月至2018年12月任北京化工大学化工学院教授,2019年1月至今,任职于天津工业大学。曾任国家自然科学基金项目会评专家、科技部“973计划”项目复评专家。
长期从事面向化工、环境与能源等领域应用的纳微结构材料的分子设计、合成与性能研究,特别是MOF/COF及其复合材料的吸附分离与膜分离性能研究。主持并完成国家杰出青年基金、国家自然科学基金重点项目和国家“973”计划课题等各类项目多项。发表论文300余篇,其中包括化工四大期刊50余篇和影响因子10以上40余篇(Chem. Rev., Nat. Mater., Nat. Catalysis, Adv. Mater., JACS, Angew等),被Nature及Science等期刊他引1万余次,单篇引用次数超过100次的论文25篇;出版中文专著2部;获授权发明专利13件,软件著作权2件;获得2021年天津市自然科学一等奖,其他科技和人才奖励8项;主持科技部重点研发计划(2021);入选全国杰出专业技术人才(2021)、长江学者特聘教授(2013年)、国家杰青(2007年)、国务院“享受政府特殊津贴专家”(2002年)等。
参考文献:
Stepwise engineering of a cage-like MOF pore aperture for the efficient separation of isomeric C4 paraffins under humid conditions.
Lu Wang, Wenjuan Xue, Hejin Zhu, Xiangyu Guo, Hongliang Huang*, Chongli Zhong*. Angewandte Chemie International Edition DOI: 10.1002/anie.202218596
原文链接:
https://onlinelibrary.wiley.com/doi/10.1002/anie.202218596
本文仅供科研分享,不做盈利使用,如有侵权,请联系后台小编删除
欢迎关注我们,订阅更多最新消息
“邃瞳科学云”推出专业的自然科学直播服务啦!不仅直播团队专业,直播画面出色,而且传播渠道多,宣传效果佳。
“邃瞳科学云"平台正在收集、整理各类学术会议信息,欢迎学会、期刊、会议组织方择优在邃瞳平台上进行线上直播,希望藉此帮助广大科研人员跨越时空的限制,实现自由、畅通地交流互动。欢迎老师同学们提供会议信息(会有礼品赠送),学会、期刊、会议组织方商谈合作,均请联系翟女士:18612651915(微信同)。
投稿、荐稿、爆料:Editor@scisight.cn