

第一作者:Pawan Kumar, Karthick Kannimuthu, Ali Shayesteh Zeraati
通讯作者:Md Golam Kibria, 胡劲光,Pawan Kumar
通讯单位:加拿大卡尔加里大学
论文DOI:https://doi.org/10.1021/jacs.3c00537
由于单原子催化剂 (SAC) 具有低配位数和不饱和活性位点,单原子催化剂具有独特的催化性能。然而,低的 SAC 负载、较差的金属-载体相互作用和较差的稳定性,仍然限制着单原子催化剂的性能。作者报告了一种大分子辅助的 SAC 合成方法,该方法能够在富含吡啶 N 的石墨烯网络中实现高密度 Co 单原子(10.6 wt% Co SAC)。高度多孔的碳网络(表面积约 186 m2 g-1)增加了 Co SAC 中的共轭和邻位 Co 位点修饰,增强了在 1 M KOH 中的电催化析氧反应 (OER) 性能。其η10为 351 mV,质量活性为 2209 mA mgCo-1 (1.65 V),稳定性超过 300 小时。Operando X 射线吸收近边结构证明了缺电子 Co-O 配位中间体的形成,其加速了 OER 动力学。密度泛函理论 (DFT) 计算揭示了从钴到氧物质的OER的电子转移非常容易。
近年来,人们越来越关注可再生能源系统,包括燃料电池、可充电金属空气电池、水电解和 CO2 转化技术等技术。电催化水分解提供了一种模块化的制氢方法。然而,阳极析氧反应 (OER) 会消耗 90% 的能量输入,从而影响性能。最近,基于贵金属(Ir、Ru 等)的单原子催化剂(SAC)与基于 3d 过渡金属氧化物的网络复合之后,在 OER 中显示出良好的性能。然而,其工业级的性能仍需要进一步改进。具有嵌入氮 (N) 掺杂碳质骨架中的 M-Nx-C 的过渡金属基 SAC,被广泛研究用于热催化和电催化。N-配位稳定的、孤立的、配位不足的金属中心确保了高活性、稳定性和金属原子经济性。然而,使用 C-N 前体和金属盐高温合成 M-Nx-C SACs 很少能达到高的孤立原子密度 (~1.0-1.5%)。金属含量的进一步增加会导致金属聚集,从而降低性能。最近,研究人员报道了固定在富含缺陷的石墨烯晶格中的单原子位点。然而,不对称的 C 和 N 终止空位,限制了金属浓度;而低 N 含量促进了团聚,降低了孤立位点的功效。合成高密度的 M-Nx-C SAC,对于增强催化性能至关重要。并且,金属中心的紧密靠近,也可以实现“协同催化”。
最近,研究人员提出了一种级联锚定策略。他们首先利用金属和葡萄糖的络合,然后利用其与三聚氰胺混合退火,在石墨网络中实现了12.1 wt% 的金属负载。然而,两步退火和在富氧多孔碳载体上逐层沉积,不适合大规模制备。由含金属节点和有机连接体构成的金属有机框架 (MOF) 的碳化,是制造高密度 M-Nx-C SAC 最流行的方法。但是,在这种合成方法中会出现团聚和纳米颗粒 (NP) 形成,这限制了单原子位点的可用性。由于配体的热稳定性低,金属中心倾向于过早释放,从而导致高迁移性和团聚。最近,有人报道,在 NH2 功能化的石墨烯量子点 (GQDs–NH2) 中可以捕获各种金属(Ir、Pt、Ni 等)。随后,对 M-GQDs-NH2 和尿素的冷冻干燥混合物进行热退火,可以实现高的单原子 (SA) 负载量(即 Ir-40 wt% 或 3.8 at%)和 N 含量(27.8 at% )。这些观察结果表明,金属配位点和官能团的同时存在,对于碳骨架的生长和高的 SA 浓度至关重要。

图 1. (a) 纳米团簇 CoCML 和 CoCMM 的合成示意图。 (b) Co-N4-吡啶 SACs 的合成示意图。 (c) CoCMM 的 HR-TEM 图;插图是 FFT 图。 (d) 显示多孔结构的 CoMM 的 HR-TEM 图。 (e) CoML 的 HR-TEM 图。 (f) CoMM 的 HR-TEM 图。 CoMM 在 (g) 5 nm 和 (h) 2 nm 比例尺下的 AC-HAADF STEM 图;白色箭头和圆圈为钴单原子。 (h) 中的插图显示了显示 Z 对比度的线扫描。 (i) CoMM 的 EELS 光谱图。 (j) 在图像 k 中标记区域的 EELS 光谱图。 (l–p) Co、C、N 和 O 元素的 EELS 映射图。

图 2. 不同样品的 (a) Raman 图和 (b) XRD 图。 (c) CoMM 和 (d) CoCML 的基于同步加速器的 WAXS 二维图。所计算出 (e) CoMM 和 (f) CoCML 的 Q 值。不同样品的 (g) C 1s 和 (h) N1s XPS 光谱图。不同样品的 (i) N K-edge 和 (j) C K-edge NEXAFS 光谱图。

图 3. (a) 不同样品的基于同步加速器的 Co L-edge 软 X 射线光谱图。 (b) 不同样品的 XANES 光谱图。 (c) 在图像 b 中选定区域的放大 XANES 光谱图。 (d) Co Ac.CoML 和 CoMM 的 FT-EXAFS 光谱图。 (e) DFT 计算模型;显示了与 EXAFS 结果有关的、相邻的 Co-Co(在 Co 金属和 Co 双原子催化剂中)和 Co-C 原子之间的距离。 (f) (i) CoMM、(ii) CoML、(iii) Co 箔和 (iv) Co 醋酸盐的 WT 图。(g) CoMM 和 (h) CoCMM 在室温下获得的 CO-DRIFTS 图。

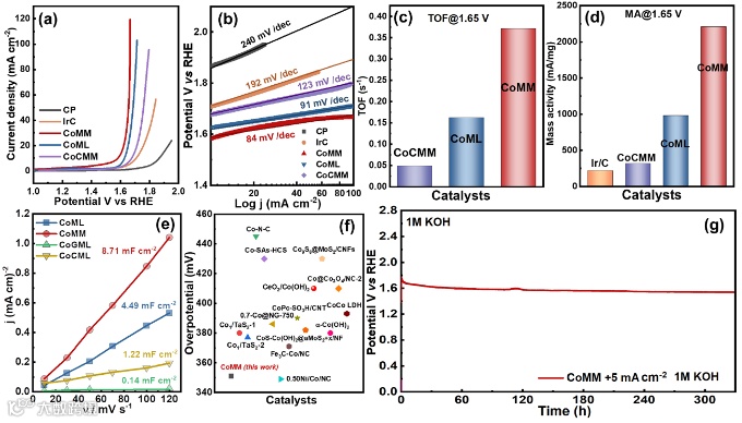
图 4. 钴基电极的电催化 OER 性能(CP:碳纸)。 (a) 在 5 mV s-1 下的 OER LSV 研究。 (b) 塔菲尔斜率。 (c) 在 1.65 V 时的 TOF。(d) 质量活性。 (e) 在非法拉第区域中,来自 ΔJ 与 ν 的 Cdl 值。 (f) CoMM 与其他催化剂的 OER 活性 (@10 mA cm-2) 比较。 (g) 在 5 mA cm-2 下, CoMM 的 300 小时长期稳定性。

图 5. (a) CoMM 的原位 XAS 分析测试装置示意图。 (b) 在 OER 期间,CoMM 的化学状态变化;显示了活性位点的再生。 (c) 吡啶-氮-钴(代表 CoMM 和 CoML)和吡咯-氮-钴单原子模型的 OER 自由能曲线。钴、碳、氮、氧和氢原子分别标记为蓝色、棕色、灰色、红色和粉红色。(d) 吡啶-氮-钴和吡咯-氮-钴单原子模型的 Co 原子上的 PDOS。在吡啶模型上,*OH 和 *O 中间体的电子密度差异。 (e) *OH 的顶视图和 (f) 侧视图。 (g) *O 的顶视图和 (h) 侧视图。
总的来说,作者使用平面 CoPc 和蜜勒胺单体,在富含吡啶 N 的石墨网络中实现了高密度 Co SA 位点(10.6 wt%)的合成。蜜勒胺的 C6N7 和 CoPc 的直接融合,产生了稳定在富含 N 的共轭碳质骨架中的 Co SA 位点。其在电催化过程中具有更好的电荷传输。基于同步加速器的 WAXS 证实了没有亚纳米团簇,而散射数据的拟合证实了嵌入碳质骨架上的吡啶 Co-N4。分离的 Co 中心可以促进高效和稳定 (>300 h) 的电催化 OER。通过协同金属-载体相互作用,催化剂可以在 1.65 V/0.37 s-1 TOF下实现 2209 mA mgCo-1 的质量活性。Operando XANES 分析证明了电催化OER过程中容易形成缺电子 Co-O 中间态。 Bader 电荷分析、态密度和 DFT 研究表明,较低的自由能变化和有利的电子传输加速了 Co-N4 SAC 的 OER。这些发现可能会有助于对高密度 SA 电催化剂的合理设计。除了电催化,所设计的合成方案还将有助于其他高密度金属 SAC 的制造,以实现工业催化反应。
声明
“邃瞳科学云”直播服务
扫描二维码下载
邃瞳科学云APP

