

第一作者:Ruoxin Wang, Jianhao Qian
通讯作者:王焕庭院士,王奉超,刘泽贤
通讯单位:澳大利亚莫纳什大学,中国科学技术大学
论文DOI:https://doi.org/10.1038/s41467-023-37932-9
不同的二维材料可以被设计成具有独特物理化学性质和分子筛通道的异质结构膜,有望用于快速的和高选择性的气体分子传输。作者开发了一种简单而通用的热解分层方法。该方法以氮化硼纳米片为主要支架,以壳聚糖前体衍生的石墨烯纳米片为填料。在高温分层处理过程中,石墨烯纳米片(与氮化硼纳米片相邻)的重排形成了精确的平面内狭缝状纳米通道和~3.0Å的平面间距,从而构筑了选择性氢气传输的特定气体传输路径。异质结构膜显示出 849 Barrer 的高 H2 渗透率,H2/CO2 选择性为 290。这种简便且可扩展的技术,为制造异质结构膜用于提高气体分离和纯化过程的效率,开拓了新的道路。
基于膜的氢分离技术在能源效率和资金成本方面优于传统工艺。然而,目前由几种聚合物材料制成的商业膜仍然受限于透气性和选择性之间的权衡。由二维 (2D) 纳米片制成的层状膜,例如氧化石墨烯 (GO),MXene和二硫化钼 (MoS2),可以超越当前的气体渗透率-选择性上限,通过平面内通道和平面间层间距实现分子传输。尽管如此,将相邻纳米片之间的层间距设计为气体传输路径,对于快速和选择性分子传输至关重要。目前,研究人员已提出各种技术来调节气体传输路径,包括化学交联,机械压缩和孔蚀刻等。 Yang 及其同事开发了一种硫脲共价连接的 GO 框架 (TU-GOF) 膜,该膜具有狭窄且定义明确的 3.7Å 2D 通道。 Shen 及其同事在 GO 层压板上施加外力以引导 GO 纳米片堆叠,实现层间高度为 4.0 Å 的亚纳米级二维孔径。然而,当纳米片堆叠成膜时,它们的随机排列会导致非选择性面内缺陷和平面间距。因此,目前迫切需要开发更有效的策略,其不仅可以精确控制气体传输路径,还可以最大限度地减少由 2D 纳米片随机堆叠引起的缺陷。
最近,通过交替堆叠不同的 2D 材料,或通过化学生长技术制造的范德瓦尔斯异质结构,已经显示出独特的协同物理化学特性。相邻的 2D 层压板之间可能会发生电荷的重新分配,从而调控每层中的电子或离子状态,这有助于离子的吸附和扩散。这种堆叠也可以引起每个结构的变化,并通过调整相对方向来精细控制。因此,具有扩展功能范围的异质结构拥有越来越多的潜在应用。

图 1. 氮化硼和石墨烯纳米片 (BNG) 异质结构膜的制备、形貌和结构。 a 热解分层方法示意图,和气体分子通过 BNG 膜的传输示意图。 b、c 制备的 FBN-壳聚糖前体膜和 BNG 膜在高温热解层压前后的照片。 d, e 用镊子弯曲并放置在工作台上的独立 BNG 膜的照片。 f BNG 膜的 SEM 图。 g BNG 膜的 SEM 横截面图。 h BNG 膜横截面的 TEM 图。插图表示 BNG 膜的选区电子衍射 (SAED) 图。

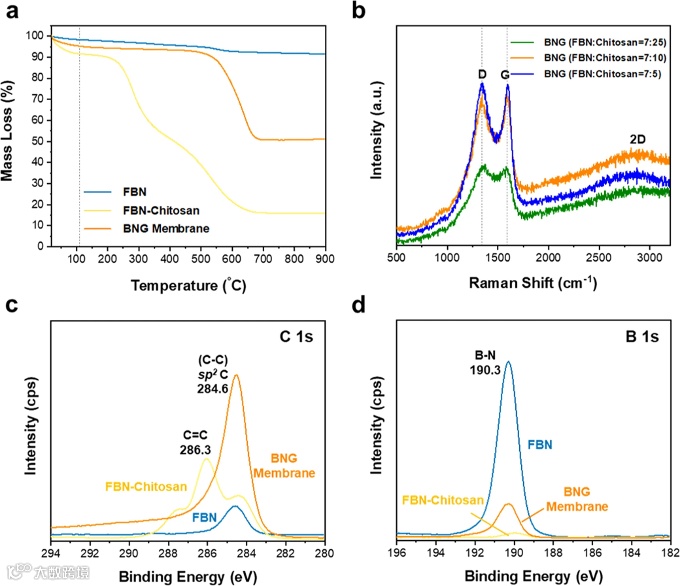
图 2. FBN 和壳聚糖膜、FBN-壳聚糖前体和制备的 BNG 异质结构膜的化学结构。 a FBN 薄膜、FBN-壳聚糖前体和 BNG 膜的热重分析 (TGA)(FBN:壳聚糖 = 7:10)。 b 不同比例(FBN:壳聚糖=7:25、7:10 和 7:5)的 BNG 膜的拉曼光谱图。 c, d BNG膜表面元素(C 1 s和B 1 s)化学态的XPS光谱(FBN:壳聚糖 = 7:10)。

图 3. BNG膜的纳米结构分析。a BNG 膜的横截面 TEM 图(FBN:壳聚糖 = 7:10)。 b (a) 中选定区域的 BNG 膜的横截面 HRTEM 图。 c (b) 中选定区域的BNG 膜的横截面 HRTEM 图。 HRTEM 图像揭示了 BN 和石墨烯片的交替堆叠。石墨烯和 BN 片的层间距分别用红色和橙色表示,形成的纳米通道的宽度用黄色表示。 d (c) 中所示的同一选定区域的 HAADF-HRTEM 图。 e BNG 膜的 B K-edge、C K-edge 和 N K-edge 的电子能量损失谱(FBN:壳聚糖 = 7:10)。 f 纯 FBN 和壳聚糖薄膜,以及 FBN-壳聚糖前体的 XRD 图(FBN:壳聚糖 = 7:10)。 g BNG 膜的 XRD 图(FBN:壳聚糖 = 7:25、7:10 和 7:5)。

图 4. 制备的 BNG 异质结构膜 (FBN:壳聚糖 = 7:10) 的气体分离性能和分子动力学模拟。 a BNG 膜的单一气体渗透率与 25°C 下的气体动力学直径的函数关系。 b 该 BNG 膜与其他分子筛膜的 H2/CO2 分离性能比较。c 气体通量和 H2/CO2 选择性与相对于 CO2 最短尺寸的狭缝宽度的相关性。 d 宽度接近 CO2 最短尺寸的狭缝的气体通量和选择性的放大视图。
总的来说,作者展示了一种高温分层方法。该方法利用了氮化硼纳米片和衍生自壳聚糖前体的石墨烯纳米片,制备了稳定的二维纳米片异质结构膜。在整个异质结构膜中,经过良好调控的纳米片之间形成了狭缝状纳米通道。由此产生的 BNG 异质结构膜显示出高度优先的氢分子传输,从而实现了高氢渗透性和选择性。热解分层策略提供了一种易于使用且具有潜在可扩展性的技术,可以从各种二维材料制备异质结构膜,其不仅可以用于气体分离,还可用于脱盐、离子分离等。
声明
“邃瞳科学云”直播服务
扫描二维码下载
邃瞳科学云APP

