

在原子尺度上有序排列原子以构建稳定的多原子结构,是一项极具挑战性的研究课题。在本文中,作者通过创造区域缺陷,成功在二维表面上形成三维限域区域。该区域由垂直堆叠的石墨烯层组成,其中Ni和Fe原子同轴锚定以高产率形成轴向双原子位点,并且表现出优异的电催化CO2还原性能以高效生成合成气。理论计算表明,Ni位点可以垂直调控下层中相邻Fe位点的电荷分布,从而降低d带中心。这反过来削弱了*CO中间体的吸附,并有效抑制Fe位点处H2的产生。该研究通过构建限域选择性表面,为双原子位点的高载量构筑提供了一种新策略。

单原子催化剂(SACs)因其高原子经济性与优异的选择性而被广泛应用于各种催化反应中。通常,单原子位点包括中心金属原子和周围的杂原子(如O、N和P),可以作为活性位点。这种独特的原子构型使其在基元反应中具有高反应性,但由于吸附能标度关系,其在涉及多个电子和中间体转移的复杂催化过程中的性能有待提高。为克服这一限制,构建原子级分散的多金属位点如双原子位点是一种极具前景的策略。这些位点可以通过电子轨道杂化以调节d带中心,从而避免标度关系并降低能垒。合成单原子位点依赖于维持未成键的孤立金属原子,这可以通过减少金属载量与增加锚定缺陷来实现。相比之下,双原子位点(DASs)的构筑则要困难很多,其需要将相同或不同的金属原子锚定在两个相邻的缺陷中。然而,目前的策略通常倾向于通过不同原子在同一表面上自由碰撞以随机化DASs的形成,从而导致较低的产率。
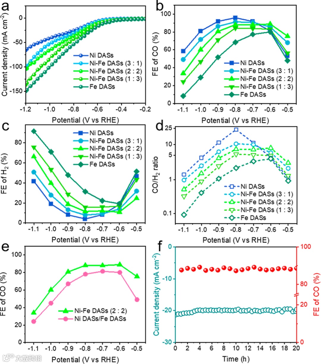
特别地,缺陷的位置对于DASs的分散和产率至关重要。与缺陷在基底上的分散分布相比,增加选择性表面上的缺陷浓度是提高DASs产率的有效策略。具体地,增加特定区域的限域能力可以同时在该区域锚定两个不同的金属原子,从而显著增加生成DASs的可能性。在本文中,作者在平面上构建出层堆叠结构,其通过聚集缺陷有效地锚定Ni和Fe原子以形成轴向双原子位点。该结构可以产生三维限域效应,有效减少金属原子的面外迁移率,从而确保高结构稳定性。理论计算表明,相邻Fe原子位点的电荷分布可通过Ni位点垂直调控,从而降低d带中心。这可以削弱电催化CO2还原反应过程中CO产生的能垒,并阻止析氢反应(HER)。






总的来说,本文设计出一种具有高产率的轴向双原子位点,该位点限域在层状堆叠石墨烯中。研究发现,垂直的多层石墨烯可以有效锚定Fe和Ni原子,从而在CO2RR过程中产生可调控的合成气产物。理论计算表明,Ni位点可以调节Fe位点对中间体的吸附行为。该研究通过在表面上构建多层结构,为高产率双原子位点的设计开辟出一种新策略。

Wangyang Wang, Wei Zhou, Yuchen Tang, Weicheng Cao, Scott R. Docherty, Fangwei Wu, Kang Cheng, Qinghong Zhang, Christophe Copéret, Ye Wang. Selective Oxidation of Methane to Methanol over Au/H-MOR. J. Am. Chem. Soc. 2023. DOI: 10.1021/jacs.3c04172.
文献链接:https://doi.org/10.1021/jacs.3c04172
声明
“邃瞳科学云”直播服务
扫描二维码下载
邃瞳科学云APP

