第一作者:Swarnava Nandy
通讯作者:Kazunari Domen
通讯单位:日本国立信州大学
论文DOI:https://doi.org/10.1016/j.joule.2023.05.018
通过太阳光驱动的光催化水分解生产可再生氢,可以解决能源和环境问题。然而,要实现超过 5% 的太阳能-氢能转换效率(STH) 和大规模扩展性,对于实际的太阳能制氢至关重要。因此,研究人员设计了一种光催化剂片,由掺杂的 La5Ti2Cu0.9Ag0.1O7S5作为析氢光催化剂 (HEP),BiVO4作为析氧光催化剂 (OEP) ,以及 Au 作为导体层。在4 kPa 的 Z 型全水分解 (ZOWS) 中,该光催化剂片表现出 0.67% 的太阳能-氢能转换效率 (STH)。然而,由于逆反应的存在,光催化剂片在升高的压力下会失去活性。为了解决这个问题,作者通过在片材上涂上无定形 SiO2 层,以抑制活性损失。与广泛使用的无定形 TiO2涂层不同,SiO2 涂层在高温下仍能保持其性能,并在 90 kPa 和 333 K 下表现出0.41% 的 STH。这项研究结果使易发生逆反应的光催化剂片能够在室外环境中应用,为实现实际的太阳能制氢提供了新的路径。
使用颗粒半导体进行光催化水分解被认为是一种利用太阳能生产可再生 H2 的方法,并已得到广泛研究。然而,实现经济可行的光催化太阳能水分解系统,其中太阳能-氢能转换效率(STH)达到5%或更高,仍然是一个主要挑战。Al 掺杂的 SrTiO3 (STO:Al) 光催化剂在紫外光下的全水分解 (OWS) 反应中,表现出超过 90% 的优异表观量子产率 (AQY)。然而,在常规环境条件下运行的 100 m2规模的光催化剂面板反应器(使用 STO:Al)无法利用可见光,并且其最大 STH 值无法达到目标。因此,利用可见光(波长为 400–800 nm)至关重要。尽管一些掺杂的氧化物和非氧化物半导体光催化剂在可见光下表现出 OWS 活性,但在紫外线区域,其AQY 和 STH比 STO:Al 低数倍。这是由于它们具有较窄的能带隙,导致本征较低反应活性。
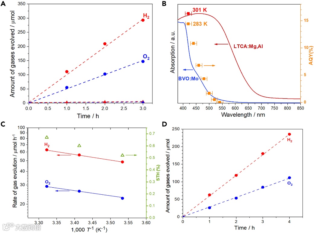
为了弥补这种低反应性,窄带隙光催化剂通常用于 Z 型 OWS (ZOWS) 系统,该系统利用两步激发析氢和析氧光催化剂(分别为 HEP 和 OEP)。OEP 到 HEP 的电子转移可以通过物理接触简单实现。但最常见的是使用离子或固体电子介体来促进这种转移。据报道,研究人员利用 Rh、La 共掺杂 SrTiO3和 Mo 掺杂 BiVO4(BVO:Mo) 分别作为 HEP 和 OEP,并将其嵌入到金、碳或氧化铟锡导电层上,设计了用于ZOWS的高效光催化剂片。基于碳导体的光催化剂片在接近环境压力下的 STH 为 1.0%。然而,这些基于氧化物的光催化剂仅能利用波长仅为约 500-520 nm 的可见光,这也限制了光催化剂片可以达到的 STH 效率。





总的来说,负载有 Cr2O3/Rh 和 CoOx助催化剂的 LTCA:Mg,Al/Au/BVO:Mo(h) 颗粒光催化剂片在AM 1.5G,4 kPa 和 301 K 下,可以将水分解为 H2 和 O2,在 420 nm 下,其AQY 和 STH分别为 16.3%和 0.67%。然而,由于在作为 HEP 的Cr2O3/Rh/LTCA:Mg,Al上会发生 ORR,光催化剂片的 ZOWS 活性会随着背景压力的增加而显著下降。Cr2O3 涂层可以抑制 Rh 助催化剂上的 ORR,但在暴露的 LTCA:Mg,Al 光催化剂上,抑制作用不够明显。研究表明,通过 TEOS 水解沉积的无定形 SiO2 层覆盖光催化剂片的表面,厚度为 5-8 nm,可以抑制 ORR,并且在很大程度上保留 LTCA:Mg,Al 和 BVO:Mo(h) 的活性。此外,SiO2 层在热水中稳定性良好。使用无定形 SiO2层改性的并载有助催化剂的 LTCA:Mg,Al/Au/BVO:Mo(h) 片,在 90 kPa 和 333 K 下表现出0.41% 的 STH,接近于实际工作条件。这项工作展示了在典型的户外工作条件下,易于发生 ORR 的窄带隙硫氧化物 HEP 光催化剂片的活化,有助于开发高效 ZOWS 系统,实现大规模太阳能燃料生产。
声明
“邃瞳科学云”直播服务
扫描二维码下载
邃瞳科学云APP

