第一作者:宋雨柔、任雁涵
通讯作者:侯军刚教授
通讯单位:大连理工大学
论文DOI:10.1002/anie.202306420

缓慢的水氧化动力学和严重的电荷复合限制了光电化学(PEC)水分解的发展。新型金属有机框架(MOFs)催化剂的发展对提高PEC水分解性能具有重要意义。本文通过熔化钴基沸石咪唑框架(Co-agZIF-62),在金属氧化物(MO:Fe2O3, WO3, BiVO4)半导体基底上,结合NiO空穴传输层,构建了Co-agZIF-62/NiO/MO集成光阳极。由于MOF玻璃具有良好的导电性、稳定性和开放的活性位点,Co-agZIF-62/NiO/MO光阳极表现出显著增强的光电化学水氧化活性和稳定性。通过实验分析和密度泛函理论计算,Co-agZIF-62可以有效促进电荷转移和分离,提高载流子迁移率,加速水氧化反应动力学,从而提高PEC性能。

光电化学(PEC)水分解生产氢气在可持续能源的开发和利用中引起了广泛的关注。缓慢的水氧化反应动力学和严重的电荷复合限制了光电化学水分解的发展。负载水氧化反应的助催化剂是提高界面反应动力学,加速电荷分离和转移的有效解决方案。近年来,金属有机框架由于可调的结构和丰富的活性位点,已作为高效助催化剂用于PEC水分解。开发和设计水氧化反应的助催化剂对高效稳定的PEC水分解反应非常重要。

1. 通过机械化学法合成了钴基沸石咪唑框架(Co-ZIF-62),具有较好的玻璃形成能力。

本文由电沉积法制备了NiO空穴传输层,在BiVO4表面呈现蓬松的NiO薄纳米片。通过机械化学法合成了钴基沸石咪唑框架(Co-ZIF-62),熔化相应的Co-ZIF-62获得了钴基沸石咪唑框架玻璃(Co-agZIF-62)。Co-agZIF-62表现出连续光滑的形貌,均匀分布在光阳极的表面(图1)。

图1. 形貌表征
通过光电化学性能表征,Co-agZIF-62/NiO/BiVO4光阳极在1.23 V vs. RHE时光电流密度达到了5.34 mA cm-2,在440 nm时,IPCE值可达90.8%。同时表现出较高的ABPE值和显著减小的界面电荷转移电阻(图2)。表明NiO空穴传输层和Co-agZIF-62催化剂促进了电荷转移和分离,减小了电荷转移电阻,提高了PEC水分解性能。

图2. 光电化学性能表征
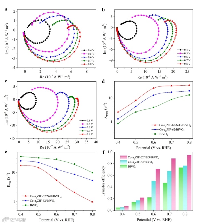
利用强度调制光电流光谱(IMPS)进一步研究了集成光阳极上的电荷转移动力学,以及Co-agZIF-62催化剂和NiO空穴传输层对界面调节的影响。NiO空穴传输层加快了BiVO4向Co-agZIF-62的电荷转移速率,Co-agZIF-62催化剂可以有效地促进电荷转移到光阳极表面参与水氧化反应,从而减少了电荷复合(图3)。

理论计算结果表明,NiO空穴传输层的引入在BiVO4基底和Co-agZIF-62催化剂层之间建立了电荷转移通道,将电荷快速转移到Co-agZIF-62层进行PEC水氧化反应,有效抑制了电荷复合。Co-agZIF-62催化剂可以显著降低反应能垒,加速水分解反应动力学(图4)。

图4. 密度泛函理论计算

综上所述,该团队基于MOF玻璃催化剂,结合NiO空穴传输层,构建了集成Co-agZIF-62/NiO/MO光阳极。Co-agZIF-62/NiO/BiVO4光阳极在1.23 V vs. RHE下光电流密度达到了5.34 mA cm-2,光电流稳定性显著增强。实验分析和密度泛函理论计算表明, Co-agZIF-62作为水氧化反应的助催化剂可以显著促进电荷转移和分离,提高载流子迁移,加速界面反应动力学,从而提高PEC水氧化性能。这项工作为集成光电阳极的合理设计和太阳能转换提供了一个可行的水氧化反应助催化剂。
声明
“邃瞳科学云”直播服务
扫描二维码下载
邃瞳科学云APP

