

第一作者:Meng Guo
通讯作者:邓积光研究员
通讯单位:北京工业大学
DOI: 10.1021/jacs.3c00747
在提高产物选择性的同时抑制深度氧化,仍然是负载型Pd基催化剂面临的一项重要技术挑战。在本文中,作者开发出一种普适性策略,即通过合金的热处理过程使得表面强氧化Pd位点被过渡金属(如Cu, Co, Ni和Mn)氧化物部分覆盖。该设计可有效抑制异丙醇的深度氧化,并在50–200 °C的宽温度范围内实现超高的丙酮目标产物选择性(>98%);即便在150–200 °C温度条件下,PdCu1.2/Al2O3催化剂仍表现出高达100%的异丙醇转化率,而Pd/Al2O3催化剂自150 °C开始丙酮选择性出现明显下降。此外,低温催化活性也得到显著提升,PdCu1.2/Al2O3催化剂于110 °C温度下的丙酮产率为Pd/Al2O3催化剂的34.1倍。表面暴露Pd位点的减少可有效削弱C–C键的解离,而CuO的引入使得Pd的d带中心(εd)上移并增强反应物的吸附与活化,提供更多的活性氧组分,特别是用于选择性氧化的关键超氧化物组分(O2–),从而显著降低O–H和β-C–H键的解离能垒。该研究对于C–H和C–C键解离机制的分子级理解,为采用相对惰性金属氧化物调控强氧化贵金属位点以应用于其它选择性催化氧化反应提供了有效指导。
负载型Pd基催化剂被广泛应用于氧化反应中,并表现出优异的催化活性;然而,该催化剂容易引起有机化合物的深度氧化,导致较低的产物选择性。以醇的选择性氧化为例,负载型Pd基催化剂在低温时表现出高醇氧化活性,但在温度升高时往往将醇深度氧化为CO2。因此在高温和高醇转化率条件下,选择性氧化产物的产率和选择性得到大幅降低。在实际工业应用中,仅仅是温度波动变化,便足以破坏选择性氧化产物的高效稳定生产。抑制高温条件下的深度氧化,并在更宽的温度范围内保持选择性氧化产物的超高选择性是一项非常重要的研究课题,而这仍然是负载型Pd基催化剂面临的一项巨大挑战。此前的研究表明,β-C–H键的断裂是醇选择性氧化过程的决速步,而深度氧化为CO2的过程需要C–C键发生断裂。因此,应对上述挑战的关键对策,是设计出可选择性促进C–H键活化并同时抑制C–C键断裂的高效催化剂。然而,由于C–H和C–C键的键能非常接近,单独实现C–H的选择性活化仍然是一项极具挑战性的研究。
在引入不同金属后,负载型双金属催化剂可通过调控表面形貌、电子态以及其它性能以调节反应选择性。具体地,电子结构通过相对于母体金属的几何变化而改变,如金属键长的变化、晶格畸变引起的应变效应或配位环境的变化等。此外,通过替换相邻原子的系综效应,可显著影响反应过程中表面中间体和稳定形成吸附层的类型。尽管已有一些研究揭示出C–H和C–C键的解离机制,但同时实现C–H键的选择性活化并抑制C–C键断裂仍然非常困难。

图1. (a) PdCu1.2/Al2O3的合成过程示意图。(b) PdCu1.2/Al2O3和(c)单个PdCu NPs的HAADF-STEM图。(d) PdCu1.2/Al2O3的EDX元素映射图。

图2. PdCu1.2/Al2O3的(a) Pd K-edge XANES谱和(b) k2加权Pd K-edge FT-EXAFS谱。(c) Pd箔, PdO和PdCu1.2/Al2O3的Pd K-edge小波变换分析。PdCu1.2/Al2O3的(d) Cu K-edge XANES谱和(e) k2加权Cu K-edge FT-EXAFS谱。

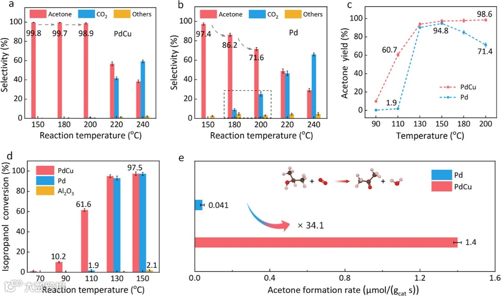
图3. (a) PdCu1.2/Al2O3和(b) Pd/Al2O3的催化选择性,(c) PdCu1.2/Al2O3和Pd/Al2O3的丙酮产率,(d) PdCu1.2/Al2O3, Pd/Al2O3和商业Al2O3催化剂的异丙醇转化率与温度的关系。反应条件:异丙醇浓度为1.0 vol %,O2含量为20.0 vol %,SV = 20,000 mL g–1 h–1。(e) Pd/Al2O3和PdCu1.2/Al2O3催化剂在110 °C条件下的丙酮产率。

图4. 在PdCu1.2/Al2O3和Pd/Al2O3催化剂体系中,(a)丙酮和CO2在异丙醇-TPO过程中的脱附曲线,以及(b)丙酮和丙烯在异丙醇-TPD过程中的脱附曲线。(c) PdCu1.2/Al2O3在异丙醇-TPD和He-异丙醇-TPD过程中的脱附曲线。(d) PdCu1.2/Al2O3和(e) Pd/Al2O3在不同温度下催化1.0 vol %异丙醇选择性氧化过程的原位DRIFTS谱。(f) PdCu1.2/Al2O3和Pd/Al2O3的O 1s XPS谱。(g) PdCu1.2/Al2O3和Pd/Al2O3在200 °C温度下的吡啶-DRIFTS分析。

图5. (a)在Pd和PdCu催化剂上的异丙醇选择性氧化过程。(b)在Pd和PdCu催化剂上的异丙醇选择性氧化能量,TS代表异丙醇选择性氧化过程中的过渡态。(c)异丙醇、丙酮和O2分别在PdCu和Pd催化剂上的吸附能,其中灰色、蓝色、红色、棕色和粉红色球分别代表Pd、Cu、O、C和H原子。(d) Pd和PdCu催化剂的PDOS。
总的来说,本文开发出一种普适性策略,即采用过渡金属氧化物对强氧化Pd位点进行部分覆盖,有效地抑制了异丙醇的深度氧化,并大大提升目标产物丙酮的选择性。特别地,PdCu1.2/Al2O3催化剂在异丙醇选择性氧化为丙酮反应中表现出优异的催化性能,在110 °C温度下的丙酮产率为Pd/Al2O3催化剂的34.1倍,并于50–200 °C温度范围内具有高达98%的丙酮产物选择性。研究发现,CuO的引入可以显著促进氧吸附与活化,并提供关键ROS (O2–)以提升选择性催化氧化性能。此外,Pd, PdO和CuO之间独特的协同作用可以选择性地促进C–H键的活化,并同时抑制C–C键的断裂。密度泛函理论计算表明,PdCu1.2/Al2O3催化剂具有更低的O–H和β-C–H键解离能垒,以及更容易的丙酮脱附性能。该研究提供了一种可行的策略以抑制深度氧化,并以比Pd基催化剂更高的选择性拓宽温度范围来实现优异的醇选择性氧化性能。此外,该研究对于C–H和C–C键解离机制的分子级理解,为采用相对惰性金属氧化物调控强氧化贵金属位点以应用于其它选择性催化氧化反应提供了有效指导。
【文献来源】
Meng Guo, Peijie Ma, Lu Wei, Jiayi Wang, Zhiwei Wang, Kun Zheng, Daojian Cheng, Yuxi Liu, Hongxing Dai, Guangsheng Guo, Erhong Duan, Jiguang Deng. Highly Selective Activation of C–H Bond and Inhibition of C–C Bond Cleavage by Tuning Strong Oxidative Pd Sites. J. Am. Chem. Soc. 2023. DOI: 10.1021/jacs.3c00747.
文献链接:https://doi.org/10.1021/jacs.3c00747
声明
“邃瞳科学云”直播服务
扫描二维码下载
邃瞳科学云APP

