
第一作者:Beomil Kim, Ying Chuan Tan, Yeonkyeong Ryu
通讯作者: Jihun Oh, Stefan Ringe, Pyuck-Pa Choi
通讯单位:韩国科学技术院,韩国大邱庆北科学技术院
论文DOI:https://doi.org/10.1021/acsenergylett.3c00418
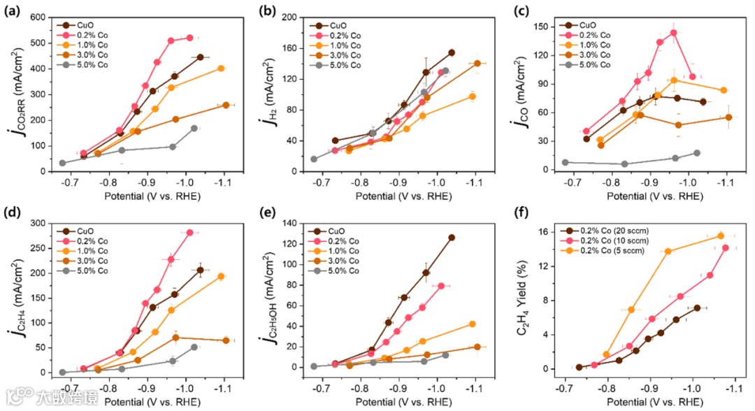
由于CO 对催化剂的毒化作用,即使在掺杂了具有更强 CO 结合能力元素的铜基催化剂中,电化学 CO2 还原反应 (CO2RR) 仍然无法成功提高 CO2RR 的多碳产量。在本研究中,作者发现将微量的Co 原子掺杂到Cu催化剂中(形成 CoCu 单原子合金,简称CoCu SAA),可以使 CO 的形成速率提高两倍。在中性电解质条件下,当电位为-1.01 VRHE时,其jC2H4高达282 mA cm-2。DFT 计算结果显示,Cu 位点与 CO中毒的 Co 原子位点相邻,这加速了 CO2向 CO 的转化,并增强了形成多碳产物所需的 *CO 中间体的覆盖范围。此外,CoCu SAA 还具有促进 *HOCCH 脱氧的活性位点,可以提高乙烯选择性。因此,CoCu SAA 可以同时促进 *CO 中间体的形成,并调节乙烯的选择性,从而实现高达 15.6% 的乙烯收率。
电化学二氧化碳还原反应 (CO2RR) 提供了一种将二氧化碳转化为高价值碳基分子的方法。其中,多碳 (C2+) 分子,如乙烯、乙醇和 1-丙醇,在化学品和燃料市场中的需求较大,是 CO2RR 的理想产物。为了实现C2+产物的高效生产,必须促进CO的二聚化,因为这被认为是速率决定步骤。因此,该研究领域一直致力于开发催化剂用于促进CO二聚化。然而,与此相反的是,人们对调节 C2+ 产物(即乙烯与乙醇)的选择性知之甚少。
由于适度的 CO 结合能,铜是唯一能够催化形成大量 C2+ 产物的金属元素。目前,进一步促进CO二聚的一种策略是通过将第二种金属引入Cu主体,来改变催化剂的电子结构,从而影响中间吸附物的结合强度。因此,合金化可以实现Sabatier火山图中纯金属催化剂无法实现的强度。然而,此类合金的活性仍然受到基于线性比例关系的火山图的限制。打破线性比例关系的一种新兴方法是设计具有两个不同活性位点的催化剂,例如一个用于将 CO2 转化为 CO,另一个用于进行 CO 二聚。因此,报道的串联催化剂主要涉及在铜表面沉积产生CO的金属(如Au、Ag等),这可以通过提供更高的局部CO浓度来提高C2+分子的收率。然而,在CO二聚反应中,每单位催化剂质量的活性位点减少会影响到这种催化剂设计。因此,串联催化剂的全部潜力尚未被完全开发出来。



总的来说,本文合成了一种 MOF 衍生的 CoCu SAA,并用于研究强 CO 结合Co原子对催化反应的影响。通过TEM-EDS和APT,证实Co原子以单原子形式存在,其痕量成分仅为0.2%。尽管原子级分散的Co原子具有高CO结合强度,并且易受CO毒化。但是DFT计算表明,这些被CO覆盖的Co位点附近的Cu位点可以实现*CO和*COOH的平衡稳定性。因此,上述因素加速了 CO2 向 CO 的转化,并实现了较高的 jCO。此外,DFT 计算还表明,裸露的 Co 位点和被 CO 覆盖的 Co 位点都提高了乙烯相对于乙醇的选择性。因此,CoCu SAA 实现了高的 jC2H4 和高的 C2H4 收率(15.6%)。总的来说,这项工作展示了一种非直观的策略,即利用强的CO结合元素来创建串联位点,从而提高C2H4的产量。此外,这些位点可以维持高*CO 覆盖率或高局部 CO 浓度,从而最大化 C2H4 产量。重要的是,考虑到活性位点的异质性,SAA 被视为一类独特的催化剂,并有待在CO2RR中被进一步探索。
声明
“邃瞳科学云”直播服务
扫描二维码下载
邃瞳科学云APP

