
研究者设计了一种新型的Co-LDH @ ZIF-67核-壳异质结结构,以增强Co-LDH的催化活性和稳定性。ZIF-67和层状双氢氧化物之间的异质结界面工程被设计成增强OER催化活性和稳定性的低成本催化剂。该界面由ZIF-67中的氮(N)和Co-LDH的氧(O)构成的,界面调节了催化活性位点的局部电子结构。密度泛函理论(DFT)计算表明,界面相互作用可以增强Co-LDH中Co-Oout键的强度,从而使H-Oout键更容易被破坏,进而导致速率控制步骤的自由能降低。Co-LDH @ ZIF-67在10 mA cm-2的电流密度下的过电势低至187 mV,并且在超过50小时的时间内具有出色的电化学稳定性。该发现为提高OER的催化活性提供了设计方向。
Scheme 1. Schematic illustration of growth pathway to prepare Co-LDH@ZIF-67, Co-LDH and ZIF-67.
电解水产氢产氧被认为是缓解能源短缺和环境问题最有前途的方法之一。其中电催化析氧半反应(OER)是四个质子电子耦合过程,是一个热力学不利,动力学缓慢的过程,极大限制了电解水效率。以往的研究已经证实,某些贵金属基氧化物纳米材料对OER具有高电化学活性,例如IrO2和RuO2 。但这些材料的稀缺性和高成本严重限制了它们的大规模工业应用。因此,开发高效,低成本,稳定的OER催化剂具有重要的科研价值。
通过扫描电子显微镜(SEM)观察了Co-LDH @ ZIF-67的形态, Co-LDH @ ZIF-67具有立方形态,具有高度单分散性,粒径为350 nm(图1a)。高倍扫描电镜(图1b)显示Co-LDH @ ZIF-67具有中空结构,并且Co-LDH被封装在该结构中。Co-LDH @ ZIF-67的示意图如图1c所示。透射电子显微镜(TEM)表明,封装在ZIF-67中的Co-LDH是生长在ZIF-67内表面上的超薄纳米片(图1d和e)。高分辨率TEM(HRTEM)图像清楚地显示了Co-LDH和ZIF-67之间的异质结界面(图1f)。
Figure 1. a,b) SEM image of Co-LDH@ZIF-67. c) Schematic of Co-LDH@ZIF-67. d,e) TEM image of Co-LDH@ZIF-67. f) HRTEM image of Co-LDH@ZIF67. g) EDX elemental mappings of Co-LDH@ZIF-67
Co-LDH@ZIF-67核-壳异质结结构在碱性条件下对OER的电催化活性和稳定性高于IrO2、Co-LDH和Co-LDH/ZIF-67,这归因于ZIF-67和Co-LDH之间的界面相互作用以及ZIF-67的大表面积和丰富的多孔结构。
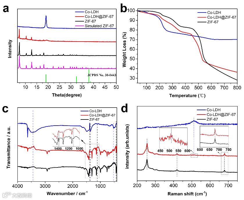
Figure 2. a) XRD pattern (green line: JCPDS no. 30-0443). b) TGA curve under argon atmosphere. c) FTIR spectrum, and d) Raman spectra of CoLDH@ZIF-67, Co-LDH, and ZIF-67.
在1 M KOH水溶液中评估了Co-LDH @ ZIF-67的电催化OER性能,并与Co-LDH,ZIF-67,Co -LDH / ZIF-67和IrO2的电催化OER活性进行了比较。可以看出,在四种催化剂中,当电流密度为10 mA cm-2时,Co-LDH @ ZIF-67对过电势最低(144 mA)。Co-LDH @ ZIF-67的Tafel斜率最小(59 mV dec-1)。而且,Co-LDH @ ZIF-67可以在30mA cm-2的电流密度下稳定工作50小时。
Figure 3. Electrochemical properties of Co-LDH@ZIF-67, Co-LDH, ZIF-67, Co-LDH/ZIF-67, and IrO2 for OER. a) OER polarization curve. b) Comparison of onset overpotentials and overpotentials at 30 mA cm−2. c) The corresponding Tafel plots derived from (a). d) Plots used to extract the double-layer capacitances (Cdl) and estimate the relative electrochemically active surface areas. e) Long-term stability test of Co-LDH@ZIF-67 carried out under a constant current density of 30 mA cm−2 (inset: the production of O2 bubbles on the carbon cloth with Co-LDH@ZIF-67 as the electrode).
为了深入研究Co-LDH @ ZIF-67中的电子转移和Co-O键强度,研究者使用密度泛函数理论(DFT)进行了计算。可以看出,由于配体与Oin的强相互作用,导致钴与活性位点上的氧的键合强度(Co-Oout)增强,进一步导致PDS的自由能(脱氢)降低。
Figure 4. The charge density difference of the underlying layer for a) Co-LDH and b) Co-LDH@ZIF-67, and the Gibbs free energy diagram for OER on c) Co-LDH and d) Co-LDH@ZIF-67. Yellow (blue) isosurfaces denote an increase (decrease) of 0.015 e/Å−3 for electronic density.
开发出了一种新颖的Co-LDH @ ZIF-67核-壳异质结界面结构。该界面由ZIF-67中的氮(N)和Co-LDH的氧(O)构成的。在碱性条件下,相比于IrO2,Co-LDH和Co-LDH / ZIF-67,在OER方面Co-LDH @ ZIF-67表现出更高的电催化活性和稳定性,这归因于ZIF-67和Co-LDH之间的界面相互作用,以及ZIF-67的大表面积和丰富的多孔结构。Co-LDH @ ZIF-67在10 mA cm-2的电流密度下表现出超低过电势(187 mV)。DFT计算表明,界面相互作用可以增强Co-LDH中Co-Oout键的强度,从而使H-Oout键更容易被破坏,并降低了OER过程中电势确定步骤(PDS)的自由能。这项工作提供了提高LDH的OER催化活性的新策略。
李振兴 (通讯作者):中国石油大学(北京)副研究员、博士生导师
中国石油大学(北京)青年拔尖人才,十佳研究生集体,多孔材料与能源催化课题组组长。中国化工学会稀土催化与过程专业委员会委员,《ACS Sustainable Chemistry & Engineering》青年编委,《石油科学》(英文版)青年编委,博士毕业于北京大学无机化学专业,师从严纯华院士。主要研究方向为多孔材料以及过渡金属纳米材料的可控合成及催化性质研究。主持多项国家自然科学基金,北京市自然科学基金,中国石化,中石油,中国航空发动机公司等研究项目。目前已在国际学术期刊上发表多篇论文,包括PNAS, Natl.Sci.Rev., J. Am. Chem. Soc.,Adv. Mater., ACS Nano, ACS Catal., Adv.Sci., Chem. Commun., ACS Appl. Mater. Interfaces, Nano Research等。


