

过渡金属化合物的催化活性跟电子自旋态密切相关,然而,催化剂的微观原子结构自由度非常大,其电子结构复杂性也非常高,给人们研究电子自旋和催化活性之间的内在关联带来极大的困难。本工作基于第一性原理模拟,通过大量理论计算,发现电子自旋磁矩可作为Fe单原子催化剂的构效关系描述符。在催化氧还原反应(ORR)过程中,C2N负载的Fe单原子催化剂与O2分子之间的吸附作用引起Fe和O2电子自旋磁矩的变化,反映了从Fe到O2上的电子转移,并与其催化活性成近似线性的依赖关系。通过自旋磁矩描述符的合理调控,ORR势垒可低至0.10eV。这些发现洞察了催化活性和自旋的内在关联,自旋磁矩描述符的确立将能助力未来的高通量研究,以期利用人工智能方法从大量的数据找到可迁移泛化的构效关系,为过渡金属单原子催化剂的设计提供了新策略。
金属单原子催化剂(single-atom catalysts, SACs)已经引起了越来越多的关注,由于其具有卓越的催化性能和超高的原子利用率。过渡金属SACs的催化活性跟金属单原子的自旋态密切相关,尤其是3d过渡金属。过渡金属自旋态的调控对获得高的催化活性是极其重要的。传统的调控策略包括杂原子掺杂、边界、缺陷、价态改变和外加磁场等。然而,催化剂的微观结构自由度和电子态复杂度都极大,所带来的研究困难导致自旋态和催化活性的内在关联尚不清楚。
氮掺杂的石墨烯负载的Fe催化剂(Fe–N–C)已经引起了广泛的关注,由于它们在一系列化学反应中有前途的催化性能,比如氧还原反应(ORR)、CO2电还原反应、氮还原反应(NRR)以及化学合成等。因此,Fe–N–C催化体系为研究活性和自旋的关系提供了理想的模型。最近,李隽教授等人报道称N-FeN4C10片段通过自旋交叉机理高效催化ORR。Jaouen等人发现低自旋和中间自旋的FeN4C10片段对ORR表现出更高的持久性和活性。此外,张涛研究员通过研究原子分散的Fe–N–C催化剂,发现处于中间自旋的Fe(III)N5对C–H键的选择性氧化活性比高自旋或低自旋的Fe(III)N6高至少一个数量级;李小飞等也证实FeN3活性中心是高自旋极化的,通过局域的磁矩促进了N2的吸附和N–N三键的活化。为了阐明Fe–N–C催化体系活性和自旋的内在关联,以及探索单原子催化剂的催化描述符,我们选择二维的C2N材料负载Fe单原子催化ORR,考察其Fe(II)和Fe(III)的不同自旋态。
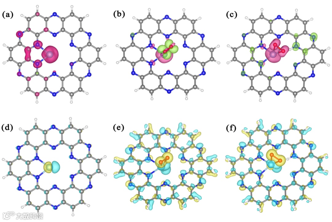
图2中(a)是C2N–Fe的自旋密度,(b)是C2N–Fe–O2的自旋密度,(c)是C2N–Fe–O2–H的自旋密度。(d)是C2N–Fe的差分电荷密度,(e)是C2N–Fe–O2的差分电荷密度,(f)是C2N–Fe–O2–H的差分电荷密度。自旋密度分析显示C2N–Fe上的自旋主要局域在Fe和临近的N和C原子上,Fe的电子自旋磁矩是0.22–0.58 μB。当O2吸附的时候,自旋主要局域到Fe和O2上。差分电荷密度分析显示了从Fe到O2上有一个有效的电子转移。
Figure 2. Spin densities of C2N–Fe(a), C2N–Fe–O2(b), C2N–Fe–O2–H(c). The isosurface value is 5 × 10–3 eÅ–3. Electron density differences for C2N–Fe(d), C2N–Fe–O2(e), C2N–Fe–O2–H(f). The isosurface value is 0.1 e Å–3. Yellow and blue bubbles represent electron accumulation anddepletion, respectively.
O2在C2N–Fe上的还原反应通过三条路径进行:(1)O2解离路径,(2)OOH路径,(3)H2O2路径。图4表示的是在C2N–Fe(II)(S=2)上进行的最优的O2解离路径,速控步的势垒是0.83eV。图5表示的是在C2N–Fe(II)(S=2和1)上进行的最优的OOH路径,速控步的势垒是0.15–0.18eV。图8表示的是在C2N–Fe(III)(S=3/2)上进行的最优的H2O2路径,速控步的势垒是0.10eV。
Figure 4. Calculated potential energy profile of the whole O2 dissociation pathway on C2N–Fe(II)(S=2). The relative energies are Gibbs free energies, and the corresponding energies of spin ground states at elementary steps areset to 0 eV.
Figure 5. Calculated the OOH pathway's potential energy profile on C2N–Fe(II)(S=2, 1 and 0). The relative energies are Gibbs free energies, and the corresponding energies of spin ground states at elementary steps are set to 0 eV.
Figure 8. Calculated potential energy profile of the H2O2 pathway on C2N–Fe(III)(S=3/2, 5/2 and 1/2). The relative energies are Gibbs free energies, and the corresponding energies of spin ground states at elementary steps are set to 0 eV.
图11表示的是在C2N–Fe上ORR反应的活性和Fe+O2自旋磁矩变化的关系图。在C2N–Fe不同自旋态下,活性中心Fe和反应分子O2自旋磁矩的变化反映电子从Fe到O2上的转移,从Fe到O2的电子转移反映了ORR的催化活性。因此,Fe和O2自旋磁矩的变化反映了C2N–Fe的ORR催化活性,相关的公式是Ea=1.040Δq+1.709,决定系数是0.894,显示了活性和自旋接近线性的关系,说明电子自旋磁矩可作为Fe单原子催化剂的催化描述符。
Figure 11. Correlation between the variation of electronic spin moments ΔμB of Fe+O2 and energy barriers of the rate-determining step of the oxygen reduction reaction on C2N–FeSACs for different spin states. Coefficient of determination R2=0.894. Cross points represent cases with a little change of spin orspin-zero states.
通过密度泛函理论计算,作者系统地研究了C2N负载的Fe单原子上ORR。发现通过自旋态的调控在C2N–Fe上ORR反应势垒可低至0.10eV。同时,证明了C2N–Fe的催化活性和Fe+O2自旋磁矩的变化接近线性的关系。Fe+O2自旋磁矩的变化反映了从Fe到O2的电子转移和对ORR的催化活性。这说明电子自旋磁矩可作为Fe单原子催化剂的催化描述符。这些发现洞察了催化活性和自旋的内在关联,为未来的高通量实验与大数据分析研究提供了有效的催化剂描述符,有望为过渡金属单原子催化剂的设计提供新的策略。
钟文辉博士现为曲阜师范大学副教授兼材料科学姑苏实验室访问学者,主要研究领域是燃料电池与纳米催化。目前发表SCI论文20余篇。
江俊教授2000年获武汉大学物理学士学位,2007年获瑞典皇家工学院理论化学博士学位,2008年获中国科学院上海技术物理研究所微电子与固体电子学博士学位。此后在瑞典皇家工学院与美国加州大学尔湾分校从事博士后研究。2011年入选中组部青年高层次人才,2013年获批国家科技部青年973项目并于2018年获结题优秀,2020年获自然科学基金委杰出青年基金资助。江俊教授主要从事理论化学研究,发展融合人工智能与大数据技术的量子化学方法,聚焦于复杂体系内电子运动模拟,研究在多个物理与化学应用领域(能源催化、功能材料、光化学、谱学)中的实际问题。在国际知名SCI期刊如Nat. Energy, Nat. commun., J. Am. Chem. Soc., Angew. Chem. Int. Ed., Phys. Rev. Lett., Adv. Mater. and Nano Lett等发表论文150余篇。近年来结合数据挖掘和人工智能技术,开发了化学材料知识图谱,建设了大规模材料科学数据库平台(www.dcaiku.com)。主持开发6个计算软件包,在美国、瑞典等多个国家的知名研究组应用。获2015年中国化学会唐敖庆青年理论化学家奖,2020年日本化学会杰出讲座奖。
Wenhui Zhong et al., Electronic Spin Moment As a Catalytic Descriptor for Fe Single-Atom Catalysts Supported on C2N, Journal of the American Chemical Society, 2021, doi:10.1021/jacs.1c00889.
https://pubs.acs.org/doi/10.1021/jacs.1c00889


