

全文速览
利用silicalite-1全硅MFI分子筛特殊的硅烷醇巢(silanol nest),本文采用简单的浸渍法制备了一系列具有明确CrOx结构的CrOx/silicalite-1催化剂,考察了其催化CO2氧化丙烷脱氢反应(CO2-ODP)的性能。将反应前后催化剂的结构、C3H8吸附和C3H6脱附等表征结果与其催化CO2-ODP反应性能进行关联分析,发现催化活性和丙烯选择性的线性关系(scaling relationship)起因于C3H8和C3H6在不同结构CrOx表面吸附的线性关系,据此揭示了催化剂的构效关系,阐明了催化活性和选择性的本质,明确了结焦机理及其对催化性能特别是稳定性的影响及其作用机制。

背景介绍
丙烯作为重要的化工基础原料,在现代石油化工行业中占有重要地位。将热力学稳定且动力学惰性的CO2作为弱氧化剂用于丙烷氧化脱氢制丙烯,不仅克服了氧气氧化丙烷脱氢面临的深度氧化等难题,而且可在一定程度上缓解直接脱氢的热力学平衡限制,并同时实现温室气体CO2的资源化利用,使得CO2-ODP有望成为一条节能且环境友好的增产丙烯的绿色合成工艺。
负载型CrOx脱胎于烷烃直接脱氢催化剂,仍是目前CO2-ODP研究的重要催化体系之一。作为重要的氧化催化剂,尽管国内外学者进行了大量研究,但由于CrOx的结构复杂(孤立态、聚合态、结晶态等)和反应过程中催化剂不可避免地快速结焦,CrOx的结构和性能之间的关系依然缺乏深刻认识。同时,尽管对介孔SiO2或分子筛等负载CrOx氧化物催化CO2-ODP进行了较多的研究,但较低的单层分散Cr阈值(0.6 Cr atom·nm-2)限制了结构明确且高分散CrOx的制备。此外,孤立态和聚合态Cr6+氧化物对催化性能的影响仍然存在争议。考虑到纯硅分子筛silicalite-1上独特的硅烷醇巢(silanol nest)可以有效地分散和稳定CrOx氧化物,通过控制表面Cr密度,有望制备CrOx结构和组成明确的负载型CrOx氧化物催化剂,揭示不同结构CrOx影响其催化CO2-ODP性能的规律。

本文亮点
1、采用简单的浸渍法,通过控制表面Cr密度,制备了一系列具有明确CrOx结构和组成的CrOx/silicalite-1催化剂。

图文解析
图1,H2-TPR、In situ UV-vis DRS、UV-Raman等表征结果表明,通过浸渍法获得了一系列不同CrOx结构和组成的CrOx/silicalite-1催化剂。反应结果表明,初始C3H8和CO2转化率都呈现先增后减的趋势,而初始C3H6选择性呈现先减后增的趋势。
图1 yCrOx/silicalite-1催化剂的H2-TPR(a)、in situ UV-vis DRS(b)、UV-Raman(c)和反应结果图(d、e、f)
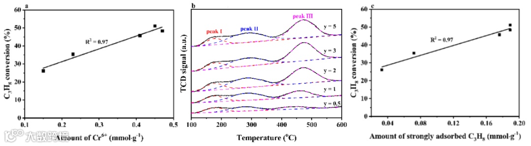
图2和图3,关联催化性能和C3H8/C3H6-TPD结果,初始C3H8转化率或C3H6选择性与催化剂中Cr6+氧化物含量具有较好的线性关系,表明Cr6+氧化物的含量是决定CrOx/silicalite-1催化CO2-ODP活性和选择性的关键因素。CrOx/silicalite-1催化剂的CrOx结构对C3H8吸附和C3H6脱附具有重要的影响。由于较高程聚合度的聚合态Cr6+氧化物可以更强地吸附C3H8,是催化CO2-ODP反应的最高活性位。相反地,由于聚合态Cr6+氧化物上C3H6更难脱附,孤立态或较低聚合度的聚合态Cr6+氧化物催化CO2-ODP的C3H6选择性更高。
图2初始C3H8转化率与Cr6+氧化物含量的关系(a)、C3H8-TPD图(b)和初始C3H8转化率与强吸附C3H8量的关系(c)
图3初始C3H6选择性与Cr6+氧化物含量的关系(a)、C3H6-TPD图(b)和初始C3H6选择性与强吸附C3H6量的关系(c)
图4,积炭提高了CrOx/silicalite-1催化CO2-ODP的稳定性。反应可以分为两个阶段,即初始快速失活阶段和后期稳定阶段,在反应的初始阶段,催化剂上完全暴露的聚合态Cr6+氧化物可强吸附更多量的C3H8和C3H6,表现出较高的C3H8转化率和较低的C3H6选择性。随着反应进行,积炭逐渐沉积并覆盖聚合态Cr6+氧化物,导致C3H8转化率降低和C3H6选择性增加。当聚合态Cr6+氧化物几乎完全被积炭所覆盖时,只有极少量的C3H8和C3H6分子可以继续强吸附在较低聚合度的聚合态和孤立态Cr6+氧化物上。随着反应时间的进一步增加,催化剂表现出相对较低的C3H8转化率,但较高的C3H6选择性和稳定性,即后期稳定阶段。
图4 CrOx/silicalite-1催化剂的相对失活速率与积炭速率关联图(a),反应前后3CrOx/silicalite-1催化剂的C3H8-TPD(b)和C3H6-TPD(c)图,CrOx/silicalite-1催化CO2-ODP的两段反应机理示意图(d)

总结与展望
本文采用湿浸渍法制备了一系列具有明确CrOx结构和组成的CrOx/silicalite-1催化剂,并用于CO2-ODP。通过关联催化剂的结构表征和评价结果,得出聚合态Cr6+氧化物比孤立态Cr6+氧化物对催化CO2-ODP具有更高的活性和更低的丙烯选择性,归因于不同CrOx结构对C3H8和C3H6分子的吸附强度不同。由于反应物C3H8和产物C3H6强吸附在聚合态Cr6+氧化物上,导致积炭的生成,在降低C3H8转化率和提高C3H6选择性方面起着双重作用,进而提出了CrOx/silicalite-1催化CO2-ODP的两段反应机理,即初期快速失活阶段和后期稳定阶段。这些更深刻认识对于高性能负载型CrOx催化剂的合理设计及合成具有重要意义,也有助于烷烃脱氢反应的高效催化剂如V、Mo等毒性较小的金属氧化物的开发。

作者介绍
刘忠文教授:博士生导师,现任陕西省合成气转化重点实验室主任、中国化工学会超临界流体专委会副主任委员、中国稀土学会催化专业委员会常委、中国化工学会化学工程专委会委员,陕西师范大学学报(自然科学版)主编,《工业催化》编委会副主任委员。长期从事C1化学化工基础及应用基础研究,主要包括选择性调控费托合成产物分布的反应工艺及催化剂设计、CO2作为弱氧化剂利用的新工艺和催化剂工程及燃料电池车载制氢关键技术等。2012年以来,先后主持国家自然科学基金重点/面上/石油联合基金(培育)、陕西省自然科学基金、企业委托课题等科研项目十余项,在Nature Commun.、Ind. Eng. Chem. Res.、J. Catal.、Appl. Catal. A & B等学术期刊发表研究论文100余篇,申请中国发明专利30余件,其中授权20余件,多次应邀在国际学术会议作主旨/邀请等学术报告。曾获陕西省科学技术奖二等奖等奖励,2008年入选教育部“新世纪优秀人才支持计划”,2013年入选“合成气中碳高效转化重大基础”陕西省重点科技创新团队带头人,2014年入选教育部“长江学者奖励计划”特聘教授。


