
第一作者:金梦添
通讯作者:程春教授
通讯单位:南方科技大学材料科学与工程系
论文DOI:10.1016/j.apcatb.2021.120350

为实现大规模电解水产氢技术,发展适用于大电流密度且能在宽pH范围内良好工作的电催化剂十分必要。近日,南方科技大学程春教授团队以泡沫镍为基底,利用化学浴沉积法在前驱体纳米线阵列上沉积纳米片,最终得到具有多级结构的CoP@Ni2P异质结催化剂。研究结果表明,得益于材料的多级结构、异质结界面电荷的相互作用,催化剂具有大量暴露的高活性催化位点以及独特的“超疏气”表面,使其能及时释放原位生成的H2。因此,该催化剂在大电流密度下具有较低的过电位以及较高的稳定性,可用于较大pH值范围内的大规模制氢。

近年来,由于传统化石燃料的大量使用造成了能源危机和环境恶化的双重问题,引发人们对清洁和可持续替代能源的迫切需求。利用电解水方法制备氢气是可再生能源转化、进而解决能源危机的一种有效策略。然而由于析氢反应动力学缓慢,阻碍了该技术的广泛应用。因此,开发高效稳定的电催化剂,降低电解水过程中的电能消耗是重点研究的课题。近年来,非贵金属催化剂被广泛应用于电催化制氢,并取得了一定的成就。但是,这些催化剂不能在大电流密度下长期稳定工作。主要原因是大电流密度下会产生大量气体聚集在催化剂表面,严重阻碍质量运输,降低催化活性。另外,理想的催化剂也需要在较宽的pH值范围内高效工作以满足不同领域的应用。因此,对在各种pH环境下实现大电流密度电解水产氢的催化剂的研究仍是一个重大挑战。

本工作以泡沫镍为基底,通过CoP纳米线上原位生长Ni2P纳米片的方法构筑异质结以及多级结构的纳米阵列。该方法不仅促进电子的转移而且增加了暴露的活性位点数量,使催化剂在大电流密度下,在各种pH环境中具有较高的活性和稳定性。

本文先通过水热反应生长CoCH纳米线阵列。进一步通过化学浴沉积,在纳米线表面原位生长Ni(OH)2纳米片,从而得到具有多级结构的阵列。进一步低温磷化得到最终的CoP@Ni2P电极材料。如图所示,磷化后的CoP@Ni2P保留了多级结构,其粗糙表面和继承自泡沫镍的三维开放多孔通道增强了活性表面积,加速了H2气体的扩散。高分辨TEM图中可以看到两个晶面所形成的异质结构界面使两种组分间的电子相互作用,优化了催化剂对反应中间物种的吸附能,加快了界面处电荷转移速度,最终提高了电催化性能。
图1 CoP@Ni2P的结构和物相表征
图2说明CoP@Ni2P在酸性、中性、碱性条件下均具有较小的后退角。这一结果表明,CoP@Ni2P的多级结构导致材料表面具有超疏气特性,在电催化析氢过程中有利于快速释放H2,从而提高了催化剂在高电流密度下的活性和稳定性。
图2 CoP@Ni2P在不同pH条件下测得的后退角
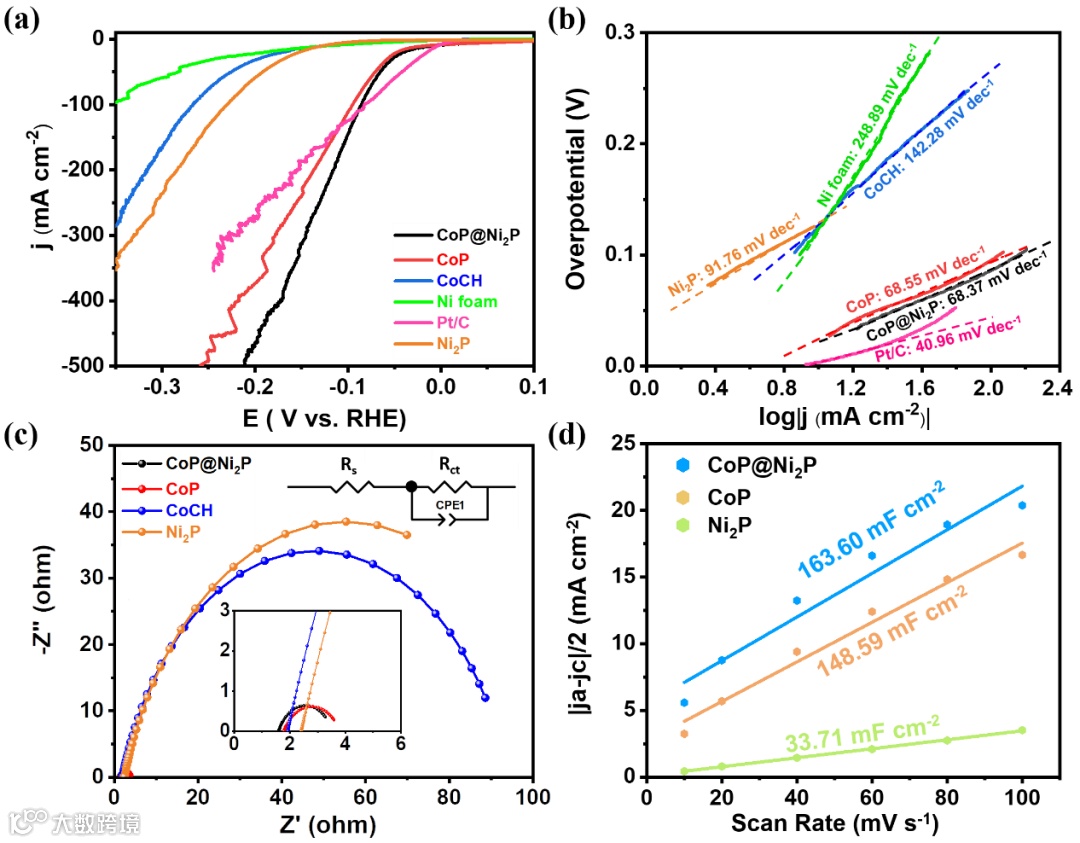
图3所示为CoP@Ni2P及其对比样品在1 M KOH中的电催化析氢性能。CoP@Ni2P展现了非常优秀的性能,η10和η100分别是16 mV和85 mV,接近泡沫镍负载的20 wt% Pt/C性能 (9 mV和82 mV)。当电流密度达到500 mA cm-2时,CoP@Ni2P电极仍然保持209 mV的低过电位,其电催化活性超过了Pt/C催化剂 (图3a)。图 3b可以看出 CoP@Ni2P表现出优异电催化剂的 Tafel 斜率 (68.37 mV dec-1),相比于CoP和Ni2P,CoP@Ni2P有较小的 Tafel 斜率,证明两者材料的结合有助于加快催化剂的催化析氢动力学过程。图3c所示为电极材料的电化学阻抗谱,CoP@Ni2P的电荷转移电阻是1.9 Ω,小于CoP和Ni2P,表明复合材料具有较高电导率和快速电荷转移动力学。另外,催化剂的电化学活性面积通过非法拉第区间的双电层电容(Cdl)来计算。得到复合材料CoP@Ni2P的Cdl 值为 163.60 mF cm-2,大于单一组分的CoP和Ni2P样品,表明两种材料的结合能够提高催化剂的活性表面积以及暴露更多的活性位点。
图3 CoP@Ni2P在碱性条件下的电催化性能
图4所示为CoP@Ni2P及其对比样品在1 M PBS、0.5 M H2SO4中的电催化析氢性能。CoP@Ni2P电极在中性和酸性介质中η10分别为20和29 mV, 该值低于Pt/C所需的过电位。另外在大电流密度下(500 mA cm-2),CoP@Ni2P分别在中性和碱性溶液中仅需367 mV和199 mV,性能优于Pt/C电极。对应的Tafel 斜率为81.68 mV dec-1和 53.02 mV dec-1。以上结果表明 CoP@Ni2P电催化剂在全pH值范围内都具有较高的电催化活性,尤其是在高电流密度下仍仅需较低的过电位,其性能优于近期报道的大多数非贵金属电催化剂。
图4 CoP@Ni2P在酸性、中性条件下的电催化性能
鉴于CoP@Ni2P催化剂突出的电化学性能,我们测试了它在三种pH环境中的稳定性。首先,测试了电极材料经过5000圈CV前后的极化曲线,并进行对比。如图5a、5c、5e所示,发现LSV 曲线几乎重合。另外,通过计时电压法测试CoP@Ni2P 分别在10、100、500 mA cm-2的恒定电流下的稳定性。如图5b、5d、5f所示,经过48小时后,三个电流密度下的电压与时间形成的曲线几乎保持一条直线。以上结果表明催化剂在长时间电化学测试过程中具有良好的稳定性。
图5 CoP@Ni2P在不同pH条件下的电催化性能
理论计算结果如图所示,Ni2P表面的ΔGH*高达0.35 eV,这意味着该位点很难吸附氢。CoP对氢的吸附则较强(-0.08 eV),表明其HER活性高于Ni2P。而 CoP@Ni2P表现出最优的ΔGH*(-0.03 eV),表明两种材料的相互作用能优化氢吸附强度,从而提高电催化析氢的本征活性。如图6b所示,CoP@Ni2P费米级处的态密度(DOS)远大于Ni2P,略大于CoP,可以推断异质结构中的电荷转移导致CoP@Ni2P的DOS明显增加,增强了材料的导电性。
图6 CoP、Ni2P和CoP@Ni2P的吉布斯自由能和态密度图

本文通过简单的三步反应在泡沫镍上制备了一种先进的电催化剂CoP@Ni2P。受益于Ni2P纳米片与CoP纳米线之间的电子相互作用以及材料的多级结构,该电催化剂在较宽的pH范围内表现出显著的电催化析氢性能,优于大多数过渡金属磷化物。在高电流密度下具有良好的活性和稳定性,因此在大规模的水电解中具有很大的实际应用潜力。

金梦添 南方科技大学程春教授课题组硕士研究生,研究方向为非贵金属催化剂用于电催化分解水的研究。
课题组主页


