
目前,非富勒烯受体发展迅速,其效率大于18%,但全聚合物有机太阳能电池(AP-OSC)发展相对缓慢,为此,山东师范大学唐波教授,香港科技大学颜河教授,华南理工大学黄飞教授,浙江大学陈红征教授共同合作,将少量的BN-T(一种B←N型聚合物受体)掺杂入主体系PM6:PY-IT中,成功地将性能提高了16.09%。发现少量BN-T的加入在有效增加主体系的结晶性的同时,可适当降低相分离尺度,从而提高了激子分离和电荷传输;BN-T的加入致使主体系的非辐射能量损失显著降低,并在两个受体之间存在能量和电荷转移。从热力学观点来看,BN-T倾向于分散在PM6和PY-IT之间,对微观形貌进行微调,并显著增加主体系的稳定性。此研究表明AP-OSC不但可以进一步提升其效率,而且稳定性会更好,为面向实用化生产迈进一步。
与基于小分子受体有机太阳能电池相比,基于全聚合物有机太阳能电池(AP-OSC)不但具有非富勒烯小分子受体的可调能级、光学带隙等特性,而且具有出色的稳定性和耐用性,如效率提升到18%以上,全聚合物太阳能电池将有很大希望实现大规模生产和商业化应用。但是,长期以来AP-OSC的光电转化效率(PCE)一直低于10%,对光能的利用率低和成本高,从而限制了其应用前景。
由于非富勒烯小分子受体(SMA)的飞速发展,其效率PCE超过18%。不同结构高效的SMA为开发聚合物受体提供了借鉴。在近几年,聚合的小分子受体(PSMA)与高性能的聚合物供体(如PBDB-T和PM6)相结合,已成功地将AP-OSC的PCE从9%提升到15%。近期,我们成功分离了端基异构体并应用于聚合物受体中去,并获得了PSMA(PY-IT),其二元主体系的PCE在15.0%左右。为我们进一步研究并提升聚合物体系的光电转化效率提供了基础。结合之前在三元器件方面的大量经验的积累(Energy Environ. Sci. 2018, 11, 3275;Energy Environ. Sci. 2019, 12, 2529;Energy Environ. Sci. 2020, 13, 2115;ACS Energy Lett. 2020, 5, 2711等),我们决定引入另外一种聚合物受体材料作为第三组份,经过对30多种聚合物受体材料的筛选,我们最终选择一种B←N型聚合物受体(BN-T)来调控二元主体系。
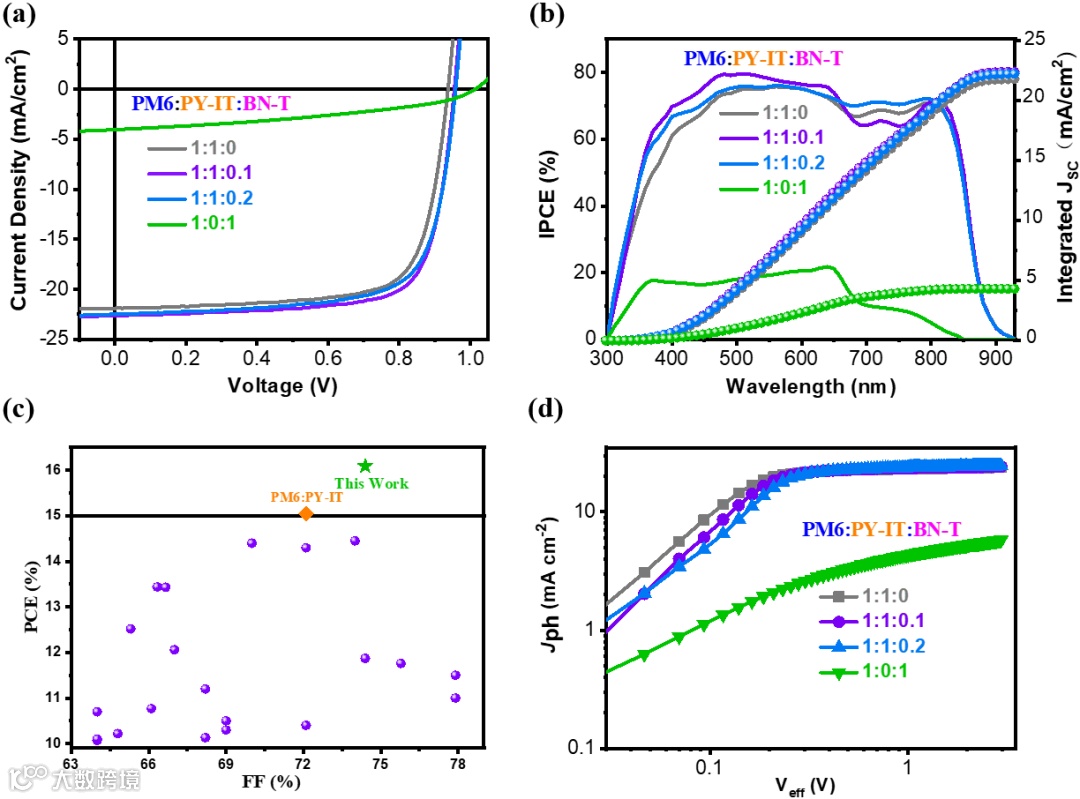
在本文中,我们报告了一种由PM6:PY-IT作为主体系和少量的BN-T作为第三组份的全聚合物三元体系,其PCE超过16%,当PM6:PY-IT:BN-T的重量比为1:1:0.1时,器件的开路电压(VOC)和短路电流(JSC)同时提高,实现了最佳性能(16.09%)。界面表面能分析表明,BN-T插入PM6和PY-IT之间的界面(达到热力学平衡时),这不会强烈改变相分离的长度尺度,但会导致层状和π-π堆积增强。这样可以同时促进电荷传输和激子分离。此外,能量损失实验表明,额外的BN-T减少了非辐射能量损失并增加了VOC。光学和器件分析表明了两个聚合物受体之间存在能量和电荷转移,这有助于获得更大的JSC。此外,我们制备了1cm2 的器件,同时浙江大学陈红征教授课题组制备了0.92 cm2 的器件,其最高光电转化效率为15.5%,这证明了器件的可重复性,并为大面积印刷这种三元全聚合物体系的器件提供了一定的理论依据。
本论文的第一作者刘焘博士,杨涛博士、马睿杰博士生和占玲玲博士为共同一作,本论文的通讯作者为刘焘博士、陈红征教授、黄飞教授、唐波教授和颜河教授。同时感谢香港中文大学路新慧教授在形貌表征上的帮助,林雪平大学高峰教授在能损表征上的帮助,山东大学高珂教授在动力学分析方面的帮助。刘焘博士特别致谢导师孙艳明教授的悉心培养。
该论文发表在:https://doi.org/10.1016/j.joule.2021.02.002
图一. 材料的基本信息
图二. 器件的光伏性能

图三. GIWAXS和GISAXS表征结果
图四. 单组分薄膜接触角
图五. 器件/活性层的光物理表征

图六. 能损分析以及大面积器件性能

