
第一作者: 冯宁东, Huiwen Lin, Hui Song
通讯作者: 冯宁东,叶金花
通讯单位: 中国科学院武汉物理与数学研究所,日本国家材料研究所
论文DOI: https://doi.org/10.1038/s41467-021-24912-0

全文速览
将甲烷以高产率,高选择性地光催化转化为甲醇,目前仍然是一个巨大的挑战,因为该过程中会有不可避免的过度氧化。这项工作中,作者在Ag 修饰的特定晶面主导的 TiO2 上,利用 O2将CH4 光催化氧化为 CH3OH。{001} 晶面主导的 TiO2 显示出 4.8 mmol g-1 h-1 的 CH3OH 稳定产率和约 80% 的选择性,这比 {101} 晶面主导的TiO2以及最近报道的催化剂的性能要更为出色。 Operando傅里叶变换红外光谱、电子自旋共振和核磁共振技术等分析结果全面阐明其反应机制。具体地,通过光致空穴在 {001} 上直接产生氧空位对于避免形成 •CH3 和 •OH 起着关键作用,这是通常容易在 {101} 面上形成的,且导致过度氧化的主要因素。 {001} 上氧空位的产生导致不同的中间体和反应途径(氧空位→Ti–O2• → Ti–OO–Ti和Ti–(OO) → Ti–O•对),从而实现 CH4 高选择性、高产率光氧化制 CH3OH。

背景介绍
CH4 直接转化为甲醇 (CH3OH) 是最有前景的甲烷优化和利用方法之一。然而,CH4 是一种非常稳定和惰性的分子,因为它具有可忽略的电子亲和力、低极化率和 C–H 的高键能(439 kJ mol-1 处的第一解离能)。因此,激活 C-H 键通常需要高温和高压,这会大大增加成本和操作风险,并导致环境问题。光催化是利用光子能代替热能驱动 CH4 氧化的一种有潜力的方法。在光子激发半导体光催化剂后,在光催化 CH4 氧化中形成的一系列高活性含氧自由基可以在室温下轻松激活 C-H 键。然而,CH4 中 C-H 键的活化能远高于产物 (CH3OH) 中的活化能。因此,在 CH4 的第一个 C-H 键被活性自由基活化形成甲基或甲氧基物质后,这些物质比 CH4 更容易被活化和氧化,最终导致 CH3OH 过度氧化生成 CO 和 CO2。特别是对于气相 CH4 氧化,产物 CH3OH 很容易吸附到光催化剂(如负载各种助催化剂的 TiO2 和 ZnO)表面,并被过度氧化为 CO 和 CO2。
由于不可避免的过氧化,在 CH4 光催化氧化为 CH3OH 的过程中,几乎无法同时实现高活性和高选择性。一个的增强通常会牺牲另一个。科学界已经发现,在水相 CH4 氧化中,水可以促进活性位点产物的解吸,从而避免严重的过度氧化。实际上,CH3OH 的过度氧化应部分归因于 •OH 自由基的形成。此外,对于已经报道的催化剂,CH4 可以与光致空穴反应在表面形成•CH3,•CH3 可以与O2 和超氧化物(O2•-) 反应生成CH3OOH 而不是CH3OH。应该注意的是,CH3OOH 很容易分解成 HCHO 和 H2O。因此,只要光催化CH4氧化中存在•CH3和•OH,就很难提高CH3OH的选择性,除非通过合理的催化剂设计引入新的反应途径来减少•CH3和•OH的形成。

图文解析

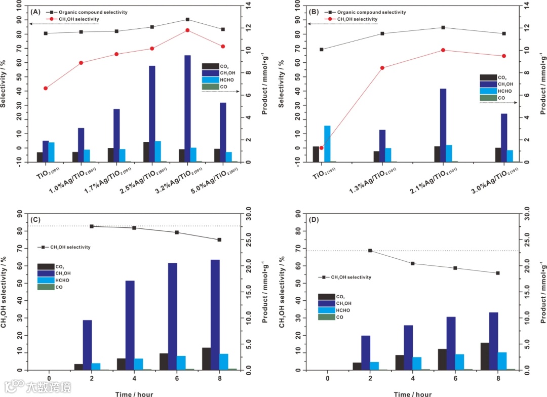
图 1. 利用O2光催化CH4氧化。一系列负载 Ag 的 TiO2 光催化剂,在 2 小时的照射下的 CH3OH 选择性和产物产率,主要包括暴露 A {001} 面(0–5.0%Ag/TiO2 {001})和 B {101} 面(0–3.0%Ag/TiO2 {101) })。C 3.2%Ag/TiO2 {001} 和 D 2.1%Ag/TiO2 {101} 在辐照下的 CH3OH 选择性和产物产率随时间的变化。 反应条件:10 mg Ag/TiO2,100 mL水,2 MPa CH4,0.1 MPa O2,25 ℃,光源:300 W氙灯,光强450 mW/cm2。
表1. 光催化活性。TiO2 {001} 和 TiO2 {101} 在有和没有一系列 Ag 负载的情况下对 O2 水相光氧化 CH4 的光催化活性的比较。反应条件:10 mg Ag/TiO2,100 mL水,25 ℃反应温度,2 h反应时间,光源:300 W氙灯,光强450 mW cm-2。
图 2. 光催化表征。A-C 2.5%Ag/TiO2 {001} 的HRTEM 图像。D, E、2.1%Ag/TiO2 {101} 的HRTEM 图像。F 2.5%Ag/TiO2 {001}(红线)和 2.1%Ag/TiO2 {101}(黑线)的Ag 3d XPS 光谱。
图3. {001} 和 {101} 面上的反应中间体。A 2.5% Ag/TiO2 {001} 和 2.1% Ag/TiO2 {101}(4 mL 水相,在 Ar+O2和 CH4+O2 气氛中,光照射之前、期间和之后)的 Operando ATR-FTIR 基质曲线。 B 2.5% Ag/TiO2 {001}(左)和 2.1% Ag/TiO2{101}(右)(在 O2(底部)和 (CH4 + O2)(顶部)气氛中,加300 µmol H2O,在光照之前和光照期间)的原位 ESR 光谱。C 光照射前后 2.5% Ag/TiO2 {001}(上)和 2.1% Ag/TiO2 {101}(下)在(CH4 + 17O2)气氛中的非原位 17O NMR 光谱。星号标记的信号是自旋边带。
图 4. 光催化机理。使用 50 mL 水、80 kPa CH4、20 kPa O2 和 10 mg Ag/TiO2,在 4 h 反应时间内,光催化 CH4 氧化获得的产物的 A 1H 和 B 13C NMR 光谱。C 所提出的 O2 在 TiO2 的 {001} 面上氧化 CH4 的光催化机制。

总结与展望
上述结果表明,作者报道了可以在锐钛矿型 TiO2 上,利用O2分子将 CH4 光催化氧化为 CH3OH。作者为了比较 TiO2 的 {001} 和 {101} 面的微观结构和催化机制,制备了两种暴露 {001} 或 {101} 面的 TiO2。作者通过选择性地将 Ag 助催化剂光沉积到 TiO2 的 {101} 面上以促进光致载流子的分离和转移,可以显著提高 CH3OH 的产率。根据基于原位 FTIR、原位 ESR 和 NMR 技术的研究,O2 在 {001} 和 {101} 面上对 CH4 光氧化存在完全不同的催化机制。作者发现{001}面上的氧空位是由光诱导空穴以一种直接的方式产生的,并且这些光生氧空位可以稳定过氧自由基(Ti-O2•)。Ti-O2• 可以捕获光生电子形成表面过氧化物(Ti-OO-Ti 和Ti-(OO)),表面过氧化物解离成Ti-O• 对,可以分解CH4 直接释放CH3OH。这种独特的催化机制有效地避免了•CH3 和•OH 的形成,它们通常在{101} 面上形成,是导致过氧化的主要因素。因此,优化的 {001} 面主导的 TiO2 样品显示出高 CH3OH 产率,为 4.8 mmol g-1 h-1,CH3OH 选择性高达80%。该研究提供了一种策略:通过控制光致氧空位的产生,避免了CH4 在光催化氧化为 CH3OH 过程中被过度氧化。

“邃瞳科学云”直播服务
“邃瞳科学云"平台正在收集、整理各类学术会议信息,欢迎学会、期刊、会议组织方择优在邃瞳平台上进行线上直播,希望藉此帮助广大科研人员跨越时空的限制,实现自由、畅通地交流互动。欢迎老师同学们提供会议信息(会有礼品赠送),学会、期刊、会议组织方商谈合作,均请联系翟女士:18612651915(微信同)。
扫描二维码下载
邃瞳科学云APP

