
第一作者: Horie Adabi
通讯作者: William E. Mustain
通讯单位: 南卡罗莱纳大学
论文DOI: https://doi.org/10.1038/s41560-021-00878-7

全文速览
为了降低燃料电池电堆和系统的成本,开发不含铂族金属 (PGM) 的商业催化剂非常重要。为此,该类催化剂必须具有非常高的活性,而且还必须具有合理的微观结构以促进反应物和产物的传输。在这里,作者展示了一种高性能的商用氧还原催化剂,该催化剂专为碱性介质开发,并可以作为阴离子交换膜燃料电池 (AEMFC) 的阴极运行。使用 H2/O2 反应气体,由 Fe-N-C 阴极制成的 AEMFC 实现了超过 2 W cm-2(使用 H2/空气时,>1 W cm-2)的峰值功率密度,并且可以稳定运行超过 150 小时。这些 AEMFC 还可以在 0.9 V 下实现了 100 mA cm-2 的 iR 校正电流密度。最后,在第二种电池配置中,Fe-N-C 阴极与低负载 PtRu/C 阳极(每平方厘米 0.125 mg PtRu,每平方厘米 0.08 mg Pt)的比功率为 10.4 W/mg PGM(16.25 W 每毫克铂)。

背景介绍
低温聚合物电解质燃料电池需要克服相当大的成本障碍,才可以被视为运输系统和便携式设备的最终电源。尽管与 2000 年代初期相比,生产的成本已显著降低,但近年来已趋于平稳。这导致一些研究人员建议将电池酸性改为碱性,以创造低成本的阴离子交换膜燃料电池(AEMFC)。近年来,AEMFC 的性能和耐用性大幅提高,一些研究甚至能够在 H2/O2 气体进料下,超过 2,000 h 的连续运行时间且电压衰减小于 5%。 AEMFC 与 PEMFC 相比,真正的优势在于,通过使用更便宜的膜、更广泛的双极板材料类别和增强的氧还原反应 (ORR) 动力学,可以降低成本。预计增强的动力学将使研究人员能够减少或完全消除阴极中的 Pt(PEMFC 成本高的主要驱动因素之一)。然而,目前AEMFC 的成果都是使用基于铂族金属 (PGM) 的催化剂,并在阳极和阴极中均具有高负载量。事实上,最先进的 AEMFC 中的 PGM 总负载量通常在 1-1.5 mgPGM/cm2。
一般来说,有两种策略可以减少正在运行的燃料电池中 PGM 的数量,即减少 PGM 负载或开发不含 PGM 的催化剂。这两种策略在性能和稳定性方面各有优缺点。鉴于现代 AEMFC 的水管理问题以及 ORR 和氢氧化反应都需要高过电位的事实,所以,不太可能通过在两个电极上制造具有低 PGM 负载的超薄催化剂层来实现。这表明,为了减少运行中的 AEMFC 中的 PGM 负载,至少需要开发一些不含 PGM 的催化剂。不幸的是,没有关于 PEMFC 或 AEMFC 的高性能无 PGM 阳极催化剂的报道。由于无 PGM ORR 阴极的发现、理解和制备比无 PGM 阳极容易得多,因此实现低 PGM AEMFC 的最有希望的配置结构是采用具有低 PGM 的高性能PGM 阳极和无 PGM 的阴极。
在过去的十年中,已经针对 ORR 研究了各种不含 PGM 的催化剂。在非贵金属催化剂中,铁和氮共掺杂的碳(Fe-N-C)催化剂因其高 ORR 活性,而被认为是 Pt 基催化剂最有前途的替代品。事实上,最先进的 Fe-N-C 催化剂通常表现出非常接近 Pt 的本征活性和超过 0.85 V 的半波电位。然而,与 Pt 相比,使用这种催化剂的 AEMFC 和 PEMFC 表现出较差的性能。这是因为,除了高催化剂活性外,在 AEMFC 中实现高性能无 PGM 阴极需要有效管理传质,这意味着材料结构和电极工程将在设计电极结构中发挥关键作用,例如,孔径分布和水管理。此外,过去无 PGM 阴极性能的主要阻碍是,高催化剂负载导致催化剂层较厚,O2 和 H2O 的传输速率不足。

图文解析

图 1. Fe-N-C ORR 催化剂的合成途径和所需结构示意图。从左上角开始,制备 Fe-N-C 催化剂需要分散二氧化硅模板、添加前体、形成 Fe-N-C并在二氧化硅模板上热解,蚀刻二氧化硅模板,然后通过第二次热解激活并形成所需结构。
图 2. Fe-N-C 的物理化学表征。a,测试的(深蓝色)和解卷积的 XRD 图,用于显示碳的峰,以及不同的 Si 和 Fe 基成分。b,催化剂碳结构的拉曼光谱。 D 带(~1,337 cm-1)归因于边缘的无序碳(缺陷),G 带(~1,570 cm-1)归因于碳载体的石墨结构。 c,获得的催化剂吸附和解吸孔径分布曲线。 d,通过DLS测量的催化剂的粒度分布。
图 3. Fe-N-C的形貌和元素分布。a,Fe-N-C催化剂孔结构的场效应SEM(FESEM)图像。 b,Fe-N-C的 TEM 图像。 c,Fe-N-C 催化剂的STEM 图像。 d-i,催化剂的SEM 图像 (d) 和氧 (e)、硅 (f)、氮 (g)、铁 (h) 和碳 (i) 的 EDS 元素分布图。
图 4. Fe-N-C 催化剂的原子分辨 STEM 图像。a,由单个 Fe 原子包围的小半球形纳米颗粒。 b,三维 N-C 载体样品区域上的单个 Fe 原子。 c,在 Fe-N-C 催化剂孔的边缘处,原子分散的单个 Fe 原子。 d,在孔的边缘圈出的单个 Fe 原子,以便更好地可视化单原子。
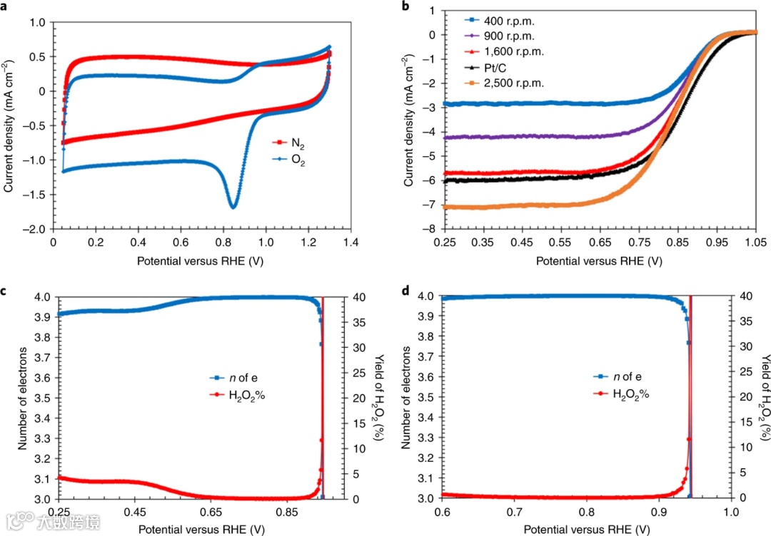
图 5. 用于 ORR 的商业 Fe-N-C 催化剂的活性和选择性。a,Fe-N-C 在 O2 饱和的 KOH(0.10 M)水溶液中的循环伏安图,扫描速率为 20 mV s-1,室温。 b,在不同旋转速率下,Fe-N-C 在 O2 饱和的 KOH(0.10 M)水溶液中的 ORR 线性扫描极化曲线(10 mV s-1)。作者还提供了商业 Pt/C 催化剂的曲线以供比较。 c,d,在整个实验电位范围内 (c) 和在 0.6-1.0 V 的范围内 (d), Fe-N-C 催化剂上每个 O2 分子转移的电子数 (n) 和过氧化氢 (H2O2%) 的产量。
图 6. Fe-N-C 正极的 AEMFC 性能和稳定性。a,H2/O2 AEMFC 的电流密度-电压(实线)和电流密度-功率密度(虚线)曲线,阴极为 1 mg cm-2 Fe-N-C,阳极为 0.6 mg cm-2 PtRu,气流为1 l min-1。图中给出了阳极/阴极/电池温度和加压状态。 b,在 600 mA cm-2 的恒定电流密度下,记录的电压、HFR 和电流-时间曲线。 c,H2/空气(无CO2)燃料电池的电流密度-电压(实线)和电流密度-功率密度(虚线)曲线,阴极为 1 mg cm-2 Fe-N-C,阳极为 0.6 mg cm-2 PtRu,气流为1 l min-1。 d,低铂族金属燃料电池的电流密度-电压(实线)和电流密度-功率密度(虚线)曲线,其阴极为 1 mg cm-2 Fe-N-C,阳极为 0.125 mg cm-2 PtRu,气流为1 l min-1。e,恒定电位保持为 0.9 V(iR 校正)时的结果,以确定电池的动力学电流。 f,具有极低 PGM 负载阳极(0.125 mg cm-2 PtRu)的燃料电池耐久性数据。
图 7. 单电池性能比较。 a,b,H2/O2 的电流密度-电压(a)和电流密度-功率密度(b)AEMFC 曲线,并将这项工作的结果与先前报道的无 PGM 阴极进行了比较。 c,d,H2/O2 的电流密度-电压(c)和电流密度-功率密度(d)曲线,将这项工作的 AEMFC 的数据与先前报道的 PEMFC PGM 无阴极的数据进行比较。e,不同H2/O2 AEMFC 的比峰值功率(W mgPGM-1 负载)的比较,包括最先进的 PGM 型电池和那些采用无 PGM 电催化剂的电池。

总结与展望
基于上述结果,作者已经测试了一种商用的基于 Fe-N-C 的催化剂,该催化剂可以替代 AEMFC 阴极中的 PGM 基催化剂,而不会严重损失性能。 RDE 测量表明,Fe-N-C 催化剂表现出高活性,半波电位为 0.846 V,并且在整个使用电位范围内(0.5-0.85 V vs RHE),实现了氧四电子还原过程。当集成到 H2/O2 AEMFC 中时,用这种 Fe-N-C 电催化剂制成的阴极实现了超过 2 W cm-2 的高峰值功率密度(质量传输控制的电流密度 >7 A cm-2 )。该催化剂还表现出优异的原位动力学。具体而言,在 0.9 V(无 iR)下实现了 100 mA cm-2 的电流密度。此外,值得注意的是,这种催化剂在最初的 150 小时耐久性测试中也能够稳定运行。将不含 CO2 的空气送入阴极后,Fe-N-C AEMFC 还实现了高功率密度,为 1 W cm-2(质量传输控制的电流密度 >3.6 A cm-2)。在第二种配置结构中,Fe-N-C 阴极与低负载 PtRu/C 阳极电极配对以实现 PGM 负载仅为 0.125 mgPtRu cm-2 (0.08 mgPt cm-2) 的 AEMFC,实现了峰值功率输出为 10.4 W mgPGM-1 (16.25 W mgPt-1)。

“邃瞳科学云”直播服务
“邃瞳科学云"平台正在收集、整理各类学术会议信息,欢迎学会、期刊、会议组织方择优在邃瞳平台上进行线上直播,希望藉此帮助广大科研人员跨越时空的限制,实现自由、畅通地交流互动。欢迎老师同学们提供会议信息(会有礼品赠送),学会、期刊、会议组织方商谈合作,均请联系翟女士:18612651915(微信同)。
扫描二维码下载
邃瞳科学云APP

