
第一作者: Xiaorong Zhu
通讯作者: 李亚飞
通讯单位: 南京师范大学
论文DOI: https://doi.org/10.1038/s41467-021-24400-5

全文速览
尿素是化学工业中的重要原料,被广泛用作化肥中的氮源。目前的工业尿素合成不仅需要苛刻的反应条件,而且消耗了大部分的NH3。在常温常压条件下通过电化学反应将 N2 和 CO2 转化为尿素是一种新型的绿色尿素合成方法。然而,由于缺乏合适的电催化剂,该方法的大规模推广受到限制。在这里,通过密度泛函理论计算,作者系统地研究了三种实验可用的二维金属硼化物 (MBenes)、Mo2B2、Ti2B2 和 Cr2B2 对 N2 和 CO2 同时电催化偶联生产尿素的催化活性。根据作者的研究结果,这三种 MBenes 不仅具有优异本征基础活性,极限电位范围为 -0.49 至 -0.65 eV,而且可以显着抑制 N2 还原为 NH3 的竞争反应。特别是,二维 Mo2B2 和 Cr2B2 在电化学反应条件下具有优异的抑制表面氧化和自腐蚀的能力,使其成为相对有前景的尿素生产电催化剂。该工作为尿素的电化学合成开拓了新的道路。

背景介绍
尿素是第一种由无机原料生产的有机化合物。由于其氮含量高 (46%) 并且在土壤中很容易转化为氨 (NH3),因此尿素现在是世界上最常用的氮肥。按质量计算,尿素的生产量超过任何其他有机化学品。虽然生产的尿素 90% 以上用作肥料,但它在其他领域也有重要应用。因此,维持一个可持续、高效的尿素工业对人类社会的发展具有重要意义。目前,工业上尿素的生产主要是通过NH3和CO2在高温高压下的反应来完成的。然而,这种方法不仅相对耗能,而且依赖于一些复杂类型的设备和多循环过程来提高转换效率。值得注意的是,尿素生产消耗了全球约 80% 的 NH3,主要来自人工氮还原反应 (NRR)。然而,NRR过程巨大的能源消耗和大量温室气体 CO2 的排放加剧了能源和环境问题。因此,人们一直在努力寻求可以在温和条件下进行的绿色合成氨技术。通过电化学 NRR 生产 NH3 代表了一种高效和绿色的策略,因为它可以利用可再生能源产生的电力和直接从水中产生的质子。然而,从水性电解质中分离纯化NH3非常困难,不利于其进一步应用。此外,目前大多数研究主要集中在 N2 电化学还原为 NH3 上,而很少考虑产品的进一步加工。因此,为了开发新兴的电化学尿素合成,非常需要能够将 N2 和 CO2 固定在一起的廉价且高效的电催化剂。在过去的十年中,二维 (2D) 材料在电催化领域的应用因其较大的比表面积和更多暴露的活性位点而备受关注。最近的一些理论研究表明,几种类型的 MBenes 可以为 NRR 提供良好的活性和选择性。

图文解析

图 1. MBenes 的几何结构。M2B2 型 MBene 的示意结构的顶视图和侧视图。红色虚线表示一个单元格。粉色和蓝色球分别代表硼和过渡金属原子。
图 2. 反应机理。N2和CO2电化学耦合制尿素机理示意图。灰色、红色、紫色和蓝色球分别代表 C、O、N 和 H 原子。
图 3. MBenes的催化活性。Mo2B2、Ti2B2 和 Cr2B2 上电化学合成尿素的自由能。
图 4. CO2 电还原的选择性。(a) CO2 电还原为 *COOH 或 *OCHO 的 ER 和 LH 机制示意图。在 (b) Mo2B2、(c) Ti2B2 和 (d) Cr2B2 表面上电还原 CO2 的动力学途径。。
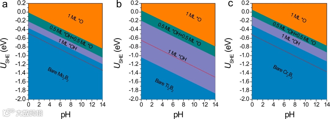
图 5. MBenes在电化学条件下的表面状态。二维 (a) Mo2B2、(b) Ti2B2 和 (c) Cr2B2 的表面Pourbaix图。表面在 SHE 和 pH 值下的热力学稳定状态以橙色(*O)、绿色(*O + *OH)和紫色(*OH)突出显示。红色虚线代表尿素形成的极限电势。
图 6. MBenes 在电化学条件下的耐腐蚀性。(a) Mo2B2、(b) Ti2B2 和 (c) Cr2B2 的计算预测的Pourbaix图,在 25 °C 下使用 10-6 M 浓度的水性物质。

总结与展望
上述结果表明,这项工作系统地探索了利用三种 MBenes:Mo2B2、Ti2B2 和 Cr2B2 作为尿素合成电催化剂,并仔细研究了三种 MBenes 在水性条件下的活性、选择性和稳定性。计算表明,三种 MBenes 都可以吸附 N2 和 CO2,并且吸附的 CO2 可以轻松还原为 *CO。之后,可以通过*N2 和*CO 的偶联形成关键中间体*NCON,通过四个PCET 步骤将其进一步还原为尿素。三种 MBenes 形成尿素的极限电位在 -0.49 至 -0.65 eV 的范围内,与 Pd-Cu 合金催化剂相当。特别是发现2D Mo2B2和Cr2B2可以防止活性位点堵塞和自腐蚀问题,而2D Ti2B2不仅表面活性位被*OH和*O基团占据,而且在反应条件易被腐蚀。因此,二维 Mo2B2 和 Cr2B2 可作为尿素生产的催化剂,这可归因于它们适度的金属丰度。该工作为设计同时固定 N2 和 CO2 以生产尿素的电催化剂提供了清晰的路线图,这可以促进更多的实验和理论工作,为这一具有挑战性的反应开发二维电催化剂。

文献来源
Zhu, X., Zhou, X., Jing, Y. et al. Electrochemical synthesis of urea on MBenes. Nat Commun 12, 4080 (2021). https://doi.org/10.1038/s41467-021-24400-5

“邃瞳科学云”直播服务
扫描二维码下载
邃瞳科学云APP

