
第一作者: Youwen Rong, Tianfu Liu
通讯作者:高敦峰
通讯单位:中国科学院大连化学物理研究所
论文DOI: https://doi.org/10.1002/anie.202309893
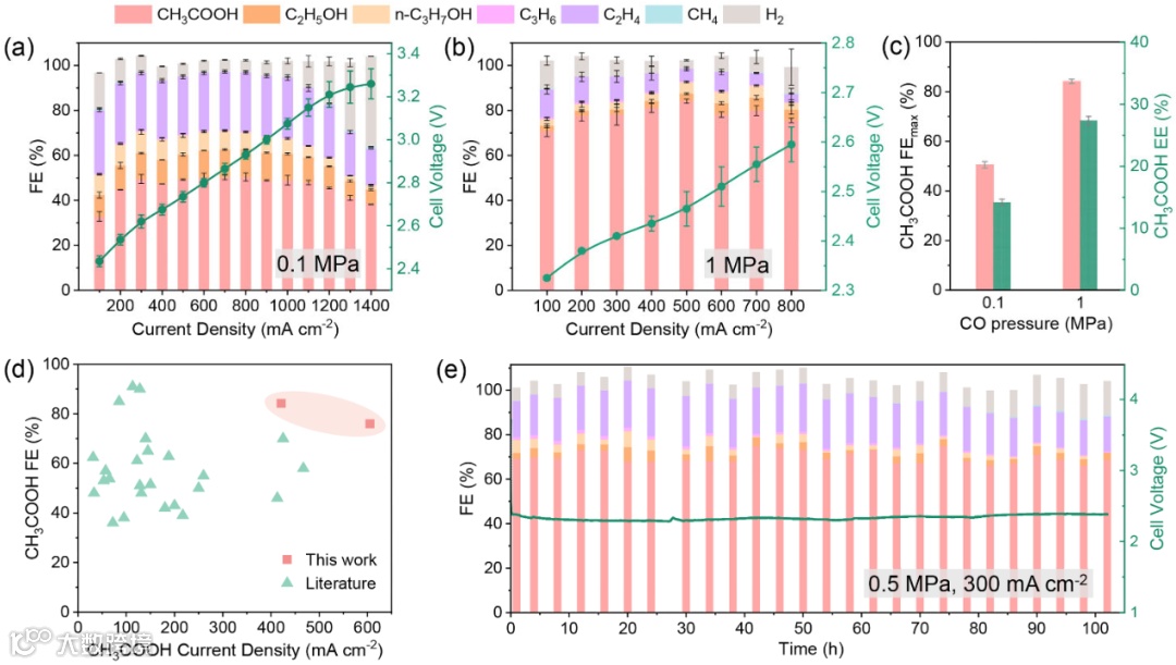
通过电化学方式将二氧化碳转化为高价值的化学品,对于碳循环具有广阔的前景。由于复杂的反应途径和共享的速率决定步骤,将 CO2/CO 电解选择性转化为特定的多碳产物非常具有挑战性。本研究报道了一种通过构建金属有机界面从 CO 电解中高选择性生产乙酸盐的策略。研究表明,原位重建铜络合物可以构建铜有机界面,从而实现超高的乙酸盐选择性。在碱性膜电极组件电解槽中,法拉第效率高达 84.2%,乙酸盐生产的碳选择性为 92.1%。最高的乙酸部分电流密度和乙酸收率分别为605 mA cm−2和63.4%。结构表征、对比实验、原位拉曼光谱测量和密度泛函理论计算结果表明,Cu-有机界面创造了有利的反应微环境,增强了 *CO 吸附,降低了 C−C 耦合的能垒,并促进了优先形成 CH3COOH,从而优化了高选择性醋酸盐生产。
通过可再生能源驱动的二氧化碳电解可以生产高价值的化学品和燃料,对于闭合碳循环和缓解气候变化具有巨大的促进作用。碱性电解质通常用于改善多碳 (C2+) 产物的生成,例如乙烯、乙酸盐、乙醇和正丙醇。然而,碱性 CO2 电解由于碳酸盐的形成和 CO2 电解槽中的交叉而导致碳严重损失。为了解决这个问题,CO2与CO的串联电解已被证明是一种碳有效途径。与 CO2 电解相比,CO 电解通常表现出更有利的 C−C 耦合和更高的 C2+ 选择性(例如,在电流密度超过 1000 mA cm−2 时,C2+法拉第效率 (FE) >90%)。但是,选择性生成特定 C2+ 产物仍然具有挑战性。
特定 C2+ 产物选择性低的根本原因在于多个反应途径共享相同的速率决定步骤,并共存于裸铜表面上。通过操纵 Cu 催化剂表面结构和成分(例如形态控制、与另一种过渡金属合金化、杂原子掺杂、金属配位聚合物和表面功能化),可以有效提高特定 C2+ 产物的选择性,例如乙酸盐。另一方面,研究人员发现催化活性位点附近的反应微环境与多相催化中的催化剂结构同等重要。定制反应微环境在指导CO电解的特定反应路径方面具有巨大潜力。通过分子修饰构建金属有机界面是一种有效的策略来控制反应微环境。锚定在催化剂表面的有机配体可能会影响吸附,并通过电子和空间效应以及对特定产物的直接选择性,来合成关键的 C2 反应中间体。



总的来说,本研究通过在 CO 电解过程中将 Cu 配合物原位转化为有机配体修饰的 Cu 纳米颗粒,成功构建了Cu-有机界面。重构的 CuPc 催化剂对 CO 电解生成乙酸盐具有较高的选择性。醋酸盐FE高达84.2%(碳选择性高达92.1%),醋酸盐部分电流密度达到创纪录的605 mA cm−2,这意味着醋酸盐收率和醋酸盐形成速率分别为63.4%和0.38 mmol min−1。结构表征、对比实验、原位拉曼光谱测量和DFT计算结果表明,Cu-有机界面增强了*CO吸附,降低了C−C耦合的能垒,有助于形成CH3COOH,从而优化了醋酸盐生产。这项工作突显了构建金属有机界面以定制反应微环境的重要性,并突出了 CO 电解高选择性生产特定 C2+ 产物的巨大前景。
声明
“邃瞳科学云”直播服务
扫描二维码下载
邃瞳科学云APP

