第一作者:Jiadong Xiao
通讯作者:Kazunari Domen
通讯单位:日本信州大学
DOI: 10.1038/s41467-023-43838-3
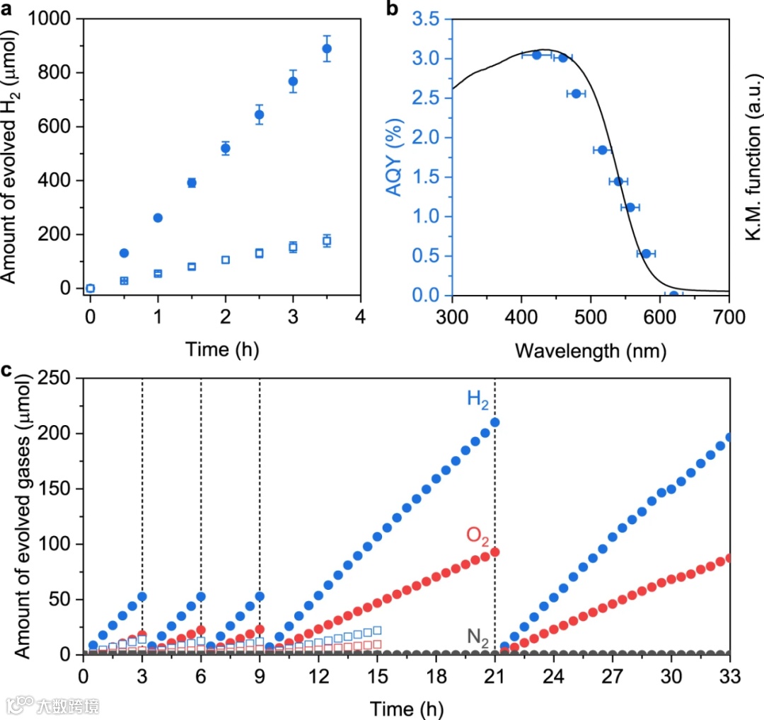
在通过热氮化处理常规金属氧化物和碳酸盐前驱体以合成钙钛矿型过渡金属氧氮化物光催化剂过程中,提高颗粒结晶度与降低颗粒粒径之间存在着长期权衡。在本文中,作者成功克服这一限制,即通过将二硫化钽、金属氢氧化物(A(OH)2)和熔融盐熔剂(如SrCl2)混合物作为前驱体进行热氮化,成功制备出粒径为几十纳米,且具有优异结晶度和可调长波响应的ATaO2N (A = Sr, Ca, Ba)单晶纳米晶。具有Ir–Pt合金@Cr2O3助催化剂修饰的SrTaO2N纳米晶在光催化制氢反应中,表现出比此前报道其它SrTaO2N光催化剂高出约两个数量级的优异性能,且SrTaO2N在Z型水分解过程中具有0.15%的太阳能-氢能转换效率新纪录。该研究使得通过热氮化合成钙钛矿型过渡金属氧氮化物纳米晶成为可能,并为制造面向高效太阳能转换的先进长波响应颗粒型光催化剂铺平道路。
在优化情况下,由早期过渡金属和碱土或稀土元素组成的钙钛矿型氧氮化物可有效结合氧化物和氮化物的优点,并在空气和水分中表现出比纯氮化物更高的稳定性,以及比氧化物更窄的带隙。近几十年来,上述优势使得钙钛矿型化合物成为一类重要的功能材料,可作为无毒颜料、巨磁阻、高介电常数电介质和长波响应光催化剂等。为应对全球范围内减少碳排放以缓解全球变暖的迫切需求,基于钙钛矿型氧氮化物半导体的颗粒光催化剂受到广泛关注,因其可利用阳光作为唯一能源直接合成可持续燃料与化学品。钽氧氮化物钙钛矿,即ATaO2N (A = Ca, Sr, Ba),是一种罕见的半导体材料,其在水溶液中具有优异的稳定性,且带隙较窄(1.9‒2.4 eV),导带和价带的位置适当,可以跨越水的氧化还原电位。因此,该材料被认为是整体水分解(OWS)应用中最具前景的光催化剂之一,可集成至颗粒光催化剂片基面板系统用于规模化太阳能制氢。
氧化物(与碳酸盐)前驱体在流动氨(NH3)中于高温条件下进行热氮化,是合成钙钛矿型氧氮化物最为常见的策略。所合成出的氧氮化物,包括通过多金属氧化物热氮化生成的ATaO2N (A = Sr, Ca, Ba),通常为多晶颗粒,且包含作为光生电荷载流子复合与捕获中心的结构缺陷。该缺点可通过采用多金属氧化物(或金属氧化物和碳酸盐)混合物以及熔融盐熔剂(如NaCl, KCl或RbCl)作为氮化前体来克服,通过该方法可制备出同类最佳的ATaO2N半导体,其特征是单晶结晶良好,且光催化活性提高。然而,该方法制备出颗粒的粒径是不可控的,并且不可避免地很大(至少几百纳米),导致光激发电荷载流子迁移至表面活性位点的距离很长。研究表明,在通过熔剂辅助热氮化工艺合成金属氧氮化物钙钛矿过程中,提高结晶度与降低颗粒粒径之间存在着长期权衡。克服上述限制将代表着长波响应型钙钛矿氧氮化物基光催化剂制造的关键进展,但这仍然是一项巨大挑战。



总的来说,本文通过热氮化处理TaS2、金属氢氧化物和熔融盐混合物,成功地合成出粒径为几十纳米的钙钛矿型钽氮氧化物单晶纳米晶。具有Ir–Pt合金@Cr2O3助催化剂修饰的SrTaO2N纳米晶在光催化制氢反应中,表现出比此前报道其它SrTaO2N光催化剂高出约两个数量级的优异性能,在420 nm波长条件下的表观量子产率为3%,且SrTaO2N在Z型水分解过程中具有0.15%的太阳能-氢能转换效率新纪录。此外,CoOx修饰的SrTaO2N纳米晶可以有效催化氧析出,优于此前报道的大多数SrTaO2N光催化剂。因此,作者设想,适当的表面和助催化剂修饰将进一步实现该类ATaO2N (A = Sr, Ca, Ba)纳米晶的更高效OWS性能。该研究所提出的合成策略可适用于广泛的钙钛矿型过渡金属氮氧化物单晶纳米晶制备,并为制造面向高效太阳能转换的先进长波响应颗粒型光催化剂铺平道路。
Jiadong Xiao, Mamiko Nakabayashi, Takashi Hisatomi, Junie Jhon M. Vequizo, Wenpeng Li, Kaihong Chen, Xiaoping Tao, Akira Yamakata, Naoya Shibata, Tsuyoshi Takata, Yasunobu Inoue, Kazunari Domen. Sub-50 nm perovskite-type tantalum-based oxynitride single crystals with enhanced photoactivity for water splitting. Nat. Commun. 2023. DOI: 10.1038/s41467-023-43838-3.
文献链接:https://doi.org/10.1038/s41467-023-43838-3
声明
“邃瞳科学云”直播服务
扫描二维码下载
邃瞳科学云APP

