
论文DOI:10.1002/adfm.202314894
本文报道了通过π-π相互作用在PTCDA表面原位结晶,成功合成了一种新型纯有机PTCDA/PTA多功能异质结光催化材料。8%PTCDA/PTA的光催化产氢速率达到45.06 mmol·g-1·h-1,比纯PTA和PTCDA分别高出1.93倍和4506.00倍。同时,它还表现出良好的抗生素光催化降解活性,其中盐酸四环素(TC-HCl)和氧氟沙星(OFL)在30 min内的去除率均在90%以上。通过精确调控空间位阻和内部偶极,促进了π-π堆积程度和强界面电场的形成,加速了电荷的分离,有效延长了光生载流子的寿命,从而获得了优异的光催化产氢和抗生素降解性能。为设计高性能和多功能的光催化剂进行水体修复和能源生产提供了有用的策略。
能源危机和环境污染已成为现代社会最受关注的两个问题。基于半导体的太阳光驱动的光催化技术是一种环保、低成本、高效的策略,被认为是解决上述问题的一种很有前途的方法。苝平面系列材料及其衍生物因其独特的光电性能和优异的光热稳定性而受到人们的广泛关注。然而,单个光催化剂的光生载流子的快速重组和低迁移速率严重抑制了其光催化活性。根源主要在于:(1)光生电荷分离的动力不足;(2)空间位阻效应对堆叠模型产生的改变从而影响载流子迁移。利用分子偶极子和空间位阻工程构建异质结可能是克服上述问题的一种有效策略。
1. 通过分子偶极子和空间位阻工程成功制备了一种新型PTCDA/PTA多功能光催化材料。
2. 增强的π-π相互作用和内部电场促进了激子解离和电荷传递。
3. PTCDA/PTA表现出优异的光催化产氢和抗生素降解性能。
4. 通过实验和激发态DFT计算阐明了光催化机理和降解途径。
图1(a)x%PTCDA/PTA的制备流程图;(b)PTCDA/PTA的固体核磁13C谱;PTCDA、PTA和PTCDA/PTA的(c)傅里叶红外光谱(FT-IR);(d)X射线衍射(XRD);(e)分子结构优化模型。
图1介绍了PTCDA/PTA的合成过程以及对材料结构的一些物理化学表征及计算。通过碱性水解合成PTA的中间体,再在有机弱酸环境中使其自组装在PTCDA的表面,成功制备了PTCDA/PTA复合光催化材料。通过XRD和Gaussian计算对其分子结构进行分析,如图1e所示,与PTCDA和PTA相比,PTCDA/PTA由于电子云重叠密度更高,具有更高的π共轭性,从而促进激子分裂和电荷转移。

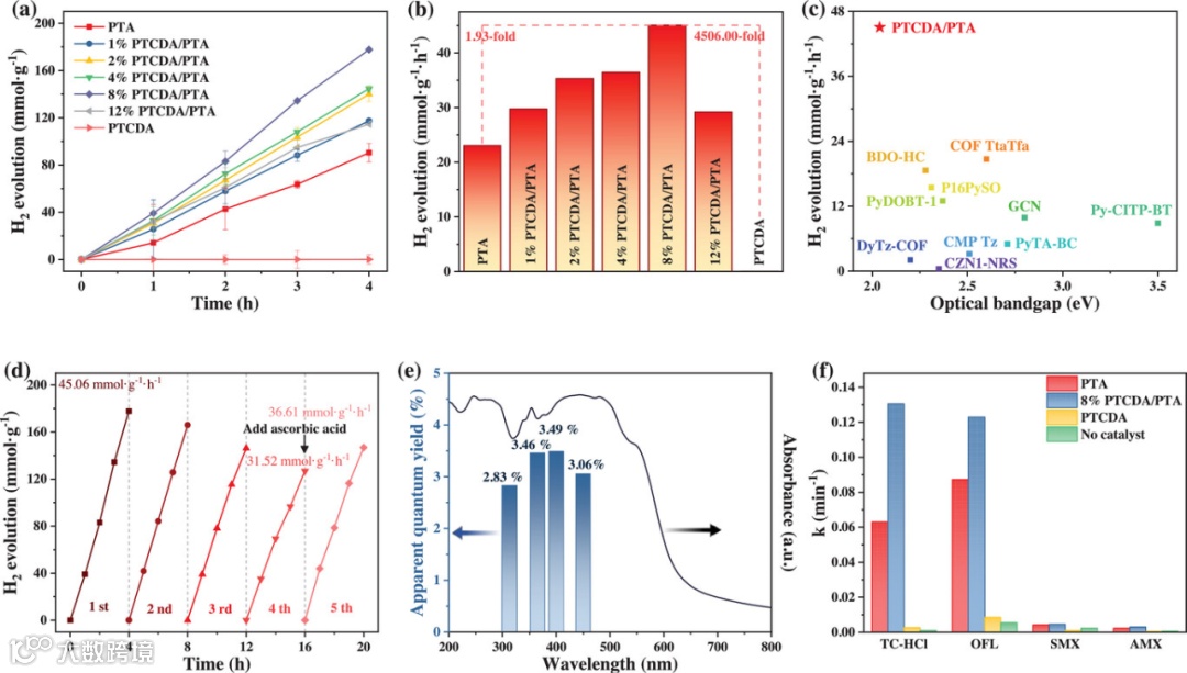
图2(a)光催化产氢性能和(b)光催化产氢速率;(c)部分其他已报道的有机催化剂;(d)循环光催化产氢测试;(e)8%PTCDA/PTA的产氢表观量子效率;(f)8%PTCDA/PTA对不同抗生素的降解速率。
图2为x%PTCDA/PTA的光催化产氢及降解性能测试。图2a-b显示以0.2 M抗坏血酸作为牺牲剂和1%Pt作为助催化剂条件下,8%PTCDA/PTA在300 W氙灯照射下的产氢速率为45.06 mmol·g-1·h-1,比纯PTA和PTCDA分别高出1.93倍和4506.00倍。由于轻微的光腐蚀和牺牲剂的消耗,在四次循环后产氢速率有所下降(图2d)。图2e展示了8%PTCDA/PTA在400 nm处的产氢表观量子效率为3.49%,表明其具有良好的光吸收和产氢能力。此外,8%PTCDA/PTA还显示出优异的抗生素降解性能,对盐酸四环素(TC-HCl)和氧氟沙星(OFL)的去除率在30 min内均可达到90%以上。

图3(a)瞬时光电流响应(i-t);(b)电化学阻抗(EIS);(c)发致发光光谱(PL);(d)一个堆叠单元内的前沿分子轨道分布和偶极矩;(e)激发态电子-空穴分布(绿色和蓝色分别代表电子和空穴分布);(f)时间分辨荧光衰减光谱(TRPL);(g)紫外-可见光漫反射光谱(UV-vis);(h)Tauc图。
图3介绍了PTCDA/PTA复合材料的光电化学性能。通过瞬时光电流响应和电化学阻抗研究了电荷分离行为。因PTCDA/PTA分子平面结构之间的π共轭性更高,8%PTCDA/PTA展现出更高的瞬时光电流响应和更小的电荷转移电阻(图3a-b)。通过图3c和f的表征也进一步证明了PTCDA和PTA的耦合有助于光生电子-空穴对的分离,有效延长了光生载流子的寿命。图3d-e结合理论计算阐明了电子流向,证实PTCDA和PTA的结合可以增强分子偶极,形成强的内部电场,以促进激子解离和电荷传递。因此,提高光催化性能的详细机制主要包括三个方面:(1)PTCDA与PTA的耦合扩大了光吸收波长的范围,促进了光生成载流子的产生;(2)前沿轨道上的能量偏移为分子间电子再分配提供了强大的驱动力,产生分子内局部偶极子;(3)电子通过π-π堆积分离和转移。最后,可以将PTCDA中的电子应用于H2和·O2-的产生。同时,PTA中积累的孔穴对TC-HCl具有较强的氧化能力,实现了对污染物的有效去除。

图4(a)模拟阳光照射下PTCDA/PTA上电荷转移原理示意图;(b)TC-HCl光催化降解的可能途径。
图4是对“玉米芯”核壳结构PTCDA/PTA复合材料的光催化机理及可能降解途径的研究。基于先前的电子流向和PTCDA/PTA能带结构的位置,建立了II型异质结构。模拟太阳光照射下的电荷转移机理如图4a所示。首先,PTA和PTCDA分别吸收光子,在CB和VB中产生电子和空穴。接下来,遵循II型电子传导机制,PTA和PTCDA之间的π-π相互作用导致电子离域效应,促进PTA的光诱导沿π-π堆积方向的电子向PTCDA转移。此外,在PTA和PTCDA界面上产生内部电场,重新分配了界面上的电荷密度,有利于电子-空穴对的快速分离。图4b为采用LC-MS法鉴定TC-HCl降解过程中的11种中间产物,并分析了相应的可能光催化降解途径。
综上所述,本研究成功制备了界面堆积缺陷较小的PTCDA/PTA有机光催化剂,并用于光催化产氢和抗生素的降解。PTCDA/PTA面对面的堆叠排列大大降低了空间位阻,极大地促进了光生载流子的分离和转移。同时,PTCDA和PTA之间的差异会引起强偶极矩。这促进了界面电场的形成,从而有效地促进了电子-空穴对的再分布,延长了载流子的寿命。结果表明,8%的PTCDA/PTA表现出良好的产氢活性,产氢速率为45.06 mmol·g-1·h-1,比纯PTA和PTCDA分别高出1.93倍和4506.00倍。同时,它对TC-HCl和OFL等水中的抗生素也表现出良好的光催化降解性能。本研究为高效多功能有机材料的设计提供了新思路,并深入探究了光催化内在机理。
余玮莉,四川大学建筑与环境学院楚英豪教授组博士研究生。研究方向为半导体催化材料的设计构筑及在环境领域的应用研究。
方宁杰,博士毕业于四川大学,现为四川大学建筑与环境学院助理研究员。研究方向为半导体纳米材料的精细结构调控及其在环境能源中的应用,目前在Advanced Functional Materials、Applied Catalysis B: Environmental、Chemical engineering journal等期刊发表论文20余篇。
楚英豪,四川大学教授、博士生导师,四川省学术与技术带头人,中国环境科学学会挥发性有机物专委会委员,四川省生态环境厅、科技厅、经信厅专家库成员,四川省生态环境厅规划环评、环境影响评估核心专家,四川省环保产业协会环境服务分会专家组组长。曾获四川省科技进步一等奖、中国专利优秀奖等荣誉称号。主要从事环境催化材料和大气污染控制方面的研究。以第一/通讯作者在Advanced Functional Materials、ACS Catalysis、Applied Catalysis B: Environmental、Journal of Materials Chemistry A、ACS Applied Materials & Interfaces等期刊发表论文50余篇。
本文仅用于学术分享,不做盈利使用,如有侵权,请联系后台小编删除
欢迎关注我们,订阅更多最新消息
“邃瞳科学云”推出专业的自然科学直播服务啦!不仅直播团队专业,直播画面出色,而且传播渠道多,宣传效果佳。
“邃瞳科学云"平台正在收集、整理各类学术会议信息,欢迎学会、期刊、会议组织方择优在邃瞳平台上进行线上直播,希望藉此帮助广大科研人员跨越时空的限制,实现自由、畅通地交流互动。欢迎老师同学们提供会议信息(会有礼品赠送),学会、期刊、会议组织方商谈合作,均请联系王女士:18612651915(微信同)。
投稿、荐稿、爆料:Editor@scisight.cn