
通讯单位:哈尔滨工业大学化学与化工学院;中国科学技术大学国家同步辐射实验室
论文DOI:10.1021/acscatal.3c03628
光催化CO2还原是一种合成CO的新兴方法,但受限于形成*COOH的高能垒问题,仍然存在选择性差和催化效率低的问题。本工作在g-C3N4中同时引入非金属B和S元素(B,S-CN),构建了模拟受阻路易斯酸碱对(M-FLPs)微环境,其中缺电子的S充当路易斯酸,靠近B的富电子N活性位点充当路易斯碱。理论计算和原位表征结果表明,非金属的类FLPs构型提供的“推-拉”效应可以平衡*COOH的吸附能,使*COOH和*CO中间体自发形成。除了自由能的变化外,B和S共掺杂还可以促进电荷的分离和转移,提高光的利用率。值得注意的是,B,S-CN催化剂表现出100%的CO选择性,平均产率为313.20 mmol×g-1 h-1(是块状g-C3N4的70.7倍)。这种M-FLPs工程策略为转移决速步,打破g-C3N4对CO2光还原的制约关系,促进载流子分离提供了一种有效的方法,可以进一步指导高效光催化剂的合理设计。
作为一种廉价、丰富和可再生的C1资源,CO2在光催化下可以转化为高附加值的衍生物和燃料,这种技术不仅减少了CO2过量排放对气候变化的威胁,而且产生的高附加值化学品可以作为碳中和可再生能源,减少对化石燃料的依赖。然而,CO2中C=O的高解离能(750 kJ×mol-1)使CO2光还原的催化效率较低,并且目前各种产物(CO、CH4、CH3OH等)的分离技术尚不成熟。因此,开发高选择性和高效率的光催化剂是实现碳中和可持续发展目标的必要条件。g-C3N4作为一种不含金属的聚合物半导体,因其成本低、制备简便、化学稳定性好等优点,在光催化领域受到广泛关注。在g-C3N4上修饰金属可以作为路易斯酸位点,通过增强CO2或反应中间体的吸附能来促进光催化CO2还原性能。然而,由于制约(scaling relationship)关系,过强的吸附能会导致后续质子化或解吸步骤困难。为了打破多步骤反应中的制约关系,有效提高CO产率和选择性,在g-C3N4基光催化剂上设计工程表面位点,合理调节中间体吸附能,改变CO2光还原过程中的决速步(RDS)是十分必要的。
1. 本工作采用两步法合成了B和S共掺杂的多孔管状g-C3N4(B,S-CN),一系列表征说明B和S的掺杂以及管状结构的构建有利于增强活性位点数量,提高光利用率和电荷传输能力。
2. 通过结构分析结合DFT理论计算证明在B,S-CN光催化剂上构建了模拟受阻Lewis酸碱对(M-FLPs)。与B相邻的富电子N(路易斯碱)和缺电子S(路易斯酸)对*COOH产生“推-拉”效应,导致*COOH和*CO中间体自发形成,打破了CO2光还原的制约关系。M-FLPs的构建对于转移决速步和降低总能垒起着重要的作用,有利于提高光催化CO2还原成CO的性能。
3. M-FLPs活性位点将可以有效提高g-C3N4的光催化性能,其CO产率高达313.20 mmol×g-1×h-1,选择性高达~100%,且循环性能稳定。
本文通过两步法制备了B和S共掺杂的g-C3N4(B,S-CN)催化剂,构建了模拟M-FLPs微环境。SEM和TEM图像揭示了B,S-CN为多孔管状结构。Mapping图像表明S和B均匀分布在管状B,S-CN中。

图1 B,S-CN的形貌表征 (Copyright 2023, the American Chemical Society)
XPS和XANES光谱结果表明在g-C3N4的结构中,掺杂的S原子取代C-N=C中的N原子,掺杂的B原子取代C原子。

图2 XPS和XANES光谱分析 (Copyright 2023, the American Chemical Society)
DFT结果表明B,S-CN催化剂中吸附CO2的能垒为+0.4 eV,而其他中间体的转化都是自发过程。反应决速步骤(RDS)转移和低的总能垒使B,S-CN更容易进行光催化CO2还原。通过Bader电荷可知在B,S-CN中,靠近B原子的富电子N1位点(-1.57 e)作为路易斯碱位点,而缺电子的S位点(+0.41 e)则充当路易斯酸位点,进而构建了类受阻路易斯酸碱对(M-FLPs)。当*COOH在B,S-CN上产生时,N1原子失去电子,而S原子获得电子。这是FLPs构型中典型的“推-拉”效应,其中N1原子将电子“推”到CO2中,使其质子化成*COOH,而S从*COOH中“拉”出一部分电子。这种“推-拉”行为赋予了*COOH相对平衡的吸附能,在*COOH和*CO中间体的自发形成中起着重要作用。

图3 DFT计算模拟催化剂的反应步骤和M-FLP的构建 (Copyright 2023, the American Chemical Society)
考虑到轨道方向,态密度(DOS)结果表明,B,S-CN中从N(2py,2pz)到C 2pz的电子激发比CN中从N(2px,2py)到C 2pz的电子激发容易得多。这表明B,S共掺杂有助于电子的本征激发和转移。

图4 (a) CN和(b,c) B,S-CN的态密度(DOS),(d) N到C的电子激发示意图(Copyright 2023, the American Chemical Society)
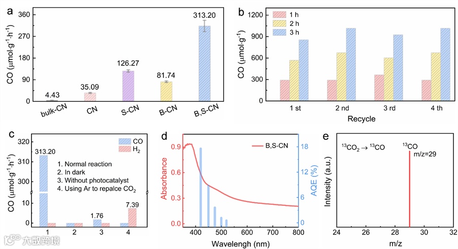
光催化测试结果表明B,S-CN的CO产率高达313.20 mmol×g-1×h-1,是bulk-CN的70.7倍。S-CN和B-CN的CO产率分别仅达到126.27和81.74 mmol×g-1×h-1,约为bulk-CN的28.5倍和18.5倍。B,S-CN的优越性凸显了M-FLPs构型在提高CO2光还原性能中的关键作用。

图5 光催化CO2还原性能 (Copyright 2023, the American Chemical Society)
原位漫反射红外傅里叶变换光谱(in-situ DRIFTS)探究了光催化CO2还原的反应机理。随着光照时间的延长,B,S-CN的COO-(1530 cm-1)相对峰强度减小,表明吸附CO2(*CO2 + H++ e-→*COOH)的质子耦合电子转移过程是自发的(△G<0),这与DFT计算结果一致,在B,S-CN 中吸附CO2步骤是决速步。

图6 In-situ DRIFTS测试及B,S-CN光催化剂的CO2还原反应机理示意图 (Copyright 2023, the American Chemical Society)
本工作在g-C3N4中同时掺杂B和S,在B,S-CN光催化剂上建立了M-FLPs。与B相邻的富电子N(路易斯碱)和缺电子的S(路易斯酸)对*COOH产生“推-拉”效应,导致*COOH和*CO中间体自发形成,同时促进*CO的释放。一系列理论计算和原位DRIFTS测量进一步证实了调节*COOH的吸附能,在改变决速步和降低能垒方面起着重要的作用。此外,M-FLPs的构建伴随着B和S共掺杂,不仅促进了光生载流子的本征激发和分离,而且减小了带隙,提高了光利用效率。以上均有利于提高光催化CO2还原活性。M-FLPs活性位点将无金属材料升级为高效光催化剂,实现了313.20 mmol×g-1×h-1的高CO产率、~100%的高选择性,以及稳定的CO2光还原循环性能。该研究不仅探索了一种高效、高选择性的无金属CO2还原光催化剂,而且为通过调控中间体打破制约关系提供了新的视角。
商亚茹,哈尔滨工业大学化工与化学学院博士研究生,导师:陈刚教授。研究方向为半导体微纳米材料的改性及光催化分解水、CO2还原性能研究。目前以第一作者在ACS Catalysis、Chemical Engineering Journal、Journal of Colloid and Interface Science等期刊发表论文10余篇。
吕查德,哈尔滨工业大学-化工与化学学院-新能源材料系教授、博士生导师;本科、博士毕业于哈尔滨工业大学,导师:陈刚教授;新加坡南洋理工大学博士后,导师:颜清宇教授。研究方向为先进功能纳米材料设计及新型催化(电催化/光催化)与电化学储能器件的应用研究。2022年获国家级青年人才计划。以第一/通讯作者在Nature Sustainability、Chem、Angewandte Chemie International Edition、Advanced Materials、Journal of the American Chemical Society等SCI期刊上发表论文20余篇,SCI他引5000余次。担任Exploration学术编委、eScience和Nano-Micro Letters青年编委。
课题组主页:http://homepage.hit.edu.cn/LvChade
刘恒劼,国科学技术大学国家同步辐射实验室特任高级工程师;本科、博士毕业于中国科学技术大学,导师:宋礼教授;合肥光源红外谱学与显微成像线站运维工程师。研究方向为同步辐射红外谱学方法学发展及能源材料的原位研究。以第一/通讯作者在Nature Sustainability、Nature Communications、Angewandte Chemie International Edition、ACS Nano等SCI期刊发表论文8篇。H因子22。
红外线站主页:https://www.nsrl.ustc.edu.cn/10966/list.htm
周欣,哈尔滨工业大学-化工与化学学院-化学系教授、博士生导师,先后在日本IMS研究所和加拿大Guelph大学做访问研究。研究方向为利用理论计算设计CO2RR、OER、HER、NRR等光、电催化剂并解释其催化机理。以第一/通讯作者在Angew等期刊上发表文章60余篇。承担多项国家、省部级科研项目。
课题组主页:http://homepage.hit.edu.cn/zhouxin
本文仅用于学术分享,不做盈利使用,如有侵权,请联系后台小编删除
欢迎关注我们,订阅更多最新消息
“邃瞳科学云”推出专业的自然科学直播服务啦!不仅直播团队专业,直播画面出色,而且传播渠道多,宣传效果佳。
“邃瞳科学云"平台正在收集、整理各类学术会议信息,欢迎学会、期刊、会议组织方择优在邃瞳平台上进行线上直播,希望藉此帮助广大科研人员跨越时空的限制,实现自由、畅通地交流互动。欢迎老师同学们提供会议信息(会有礼品赠送),学会、期刊、会议组织方商谈合作,均请联系陈女士:18612651915(微信同)。
投稿、荐稿、爆料:Editor@scisight.cn