
热液喷口蕴藏着大量富含甲酸盐、乙酸盐和碳氢化合物等还原碳物种的微生物群落。这些生命必需的化学物质是通过依赖氢气的二氧化碳还原产生的。其中,蛇纹石化作用提供了持续的氢气和热能。在本研究中,作者报道了二氧化硅负载的双金属 Co-Fe 合金(蛇纹岩周围天然存在的矿物质)可以将 CO2 和 H2O 转化为乙酰辅酶 A 途径的关键代谢中间体,例如甲酸(高达 72 mM)、乙酸盐和丙酮酸。本研究还检测到了包括丙烯在内的长达 C6的长链碳氢化合物。通过掺入一系列碱金属和碱土金属(包括 Na、Mg、K 和 Ca),系统地研究了促进剂对Co-Fe 合金的结构性能和催化功能的影响。碱金属和碱土金属溶解在水中时会产生更高的甲酸盐浓度,并增加反应pH 值,而碱土金属也有利于形成不溶性氢氧化物和碳酸盐,类似于失落之城热液田烟囱的矿物成分。
海底热液喷口被认为是地球上生命首次出现的潜在场所。它们蕴藏着具有丰富化学物质,以及极端条件下的微生物群落。失落之城热液田(LCHF)的特点是条件温和,包含中等温度(~ 115oC)和碱性废水(pH 9-11)。在 LCHF 中,会发生称为蛇纹石化的地质过程,超镁铁质岩石与水发生反应,不断产生热量和氢气。这种还原条件可以使用过渡金属作为催化剂以及各种还原碳化合物(如甲烷、甲酸盐、乙酸盐)对 CO2 进行地球化学还原。研究人员在热液喷口中检测到了碳氢化合物。有趣的是,其中一些化合物也可以作为乙酰辅酶 A (乙酰辅酶 A) 途径的关键中间体。乙酰辅酶 A 途径是生物化学 CO2 固定之一,热液喷口处的厌氧菌通过该途径固定二氧化碳。乙酰辅酶A途径与生命的起源密切相关,因为它是自养生物最古老且唯一的放能途径。它类似于地球化学CO2 固定,因为这两个过程都需要 H2 作为还原剂并在热液喷口条件下发生。这两个过程之间的惊人相似之处表明,在酶发挥作用之前,热液喷口的地球化学 CO2 还原可能先于生物化学 CO2 固定。
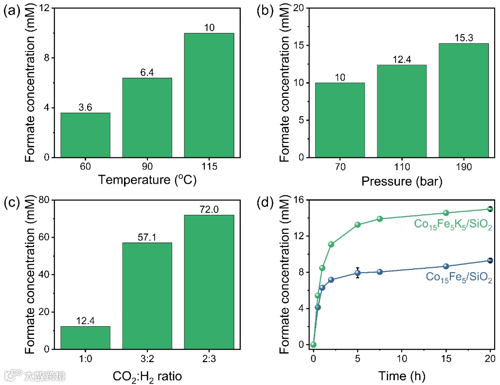
据报道,热液喷口的过渡金属可以作为水热条件下CO2固定的自催化剂。Co-Fe合金在自然界中与蛇纹石一起以CoFe和CoFe2的形式存在,这表明蛇纹石化放出的H2可以还原含Co和Fe的矿物。虽然 Co-Fe 合金可以催化地球化学 CO2 固定,但研究主要集中在其他类型的金属和合金上,包括 Fe、Mn、Al、Fe3S4和 Ni3Fe。此外,人们还研究了在SBA-15二氧化硅上掺入Co杂原子用于气相CO2加氢。由于形成难还原的硅酸钴物种,杂原子掺入降低了活性,但是,对代谢含氧化合物的选择性增加了。He等人报道了在300℃和300 bar的极端条件下用商业Co和Fe合成了C24的长链烃。然而,如此苛刻的条件不利于代谢含氧化合物的合成。因此,研究人员对温和热液喷口条件下用于二氧化碳固定的Co-Fe 催化剂进行了系统研究,以揭示固体催化剂对代谢中间体形成的作用。此外,金属Co-Fe纳米粒子将CO2固定为代谢中间体的功能尚未被探索。碱金属和碱土金属在热液喷口烟囱和海水中含量丰富,并且在热液喷口化学中发挥着至关重要的作用。它们已被广泛用作工业 CO2 加氢的促进剂。然而,据作者所知,碱金属和碱土金属促进剂对液相 CO2 加氢的影响尚未被研究。



总的来说,本研究表明二氧化硅负载的Co-Fe合金在模拟温和热液喷口条件下可以产生乙酰-CoA途径的关键中间体,如甲酸、乙酸和丙酮酸。作者在二氧化硅上成功合成了Co-Fe合金,并且K的添加会导致Co-Fe的粒径更小。研究表明,由于 Co-Fe 的粒径较小以及反应混合物 pH 值的增加,K 促进的合成矿物的 CO2 加氢显示出甲酸浓度的增加。通过提高反应温度和压力可以进一步促进甲酸盐的协同作用。此外,在气相中检测到了包括丙烯在内的长达C6的长链烃,在LCHF中也检测到了这些长链烃。反应结束后,催化剂因生成碳酸盐而失活;然而,催化剂可以通过简单的还原过程再生。该研究结果通过在温和的热液喷口条件下对具有相关促进剂的 Co-Fe 合金进行系统研究,弥补了地球化学和生物化学 CO2 固定之间的差距。该结果还支持弱碱性热液喷口的地球化学二氧化碳固定可能先于自养生物的现代生物化学二氧化碳固定。
声明
“邃瞳科学云”直播服务
扫描二维码下载
邃瞳科学云APP

