
第一作者:陈庆霞、Ying-Huan Liu
通讯作者:刘建伟副教授、江慧军副研究员、俞书宏院士
通讯单位:中国科学技术大学、合肥微尺度物质科学国家研究中心
论文DOI: 10.1021/jacs.1c04653

全文速览
电极反应动力学一直以来是电催化反应的关键,其包括传质和表面反应,决定着纳米结构电催化剂的表观反应速率。然而,对于一个特定的催化剂而言,通过调控其组分、形貌和晶体设计来优化其动力学以最大限度地提高电催化性能,仍旧是一个严峻的挑战。在本文中,中国科学技术大学俞书宏院士、刘建伟副教授、江慧军副研究员等课题组开发出一个在纳米催化剂修饰电极表面上耦合传质和表面反应的综合动力学模型,以探索和阐明电催化过程中的动力学优化。此外,作者还提出一种以理论为指导的微化学工程(MCE)策略,以优化反应动力学,从而合理的对催化剂进行设计。通过在三维有序通道中对甲醇氧化反应进行的实验数据证实了模型的预测,在优化的通道尺寸下,微通道反应器内的传质和表面反应都得到了很好的调节。因此,所提出的MCE策略将在催化剂结构设计和动力学调节方面带来重大飞跃。

背景介绍
发生在电极-电解质界面上的非均相电催化反应对于发展可持续能源和应对环境挑战具有重要意义。由于反应动力学决定着表观速率,因此通过优化反应动力学以提高电催化性能引起了科研人员的浓厚兴趣。一般来说,影响电催化动力学的主要因素有两个:(1)电极表面的反应;(2)从电解液到近表面以及扩散层内的传质。通常,将催化剂设计成纳米尺寸并增加孔隙率可以增加活性中心,调节电子结构和结合能可以提高每个活性中心的本征活性。此外,对于尺寸较大催化剂的电催化反应,由于扩散层的长度与催化剂粒径相比可以忽略不计,因此溶液中的传质速度足够快。然而,当催化剂尺寸缩减至纳米尺度时,由于扩散层长度的增加,使得传质过程与传统理论的预测有着较大的偏差。因此,开发一种综合考虑表面反应和传质的动力学模型来指导优化催化剂的电催化性能,是当前催化剂设计的重中之重。
在本文中,作者开发出一个由理论所指导的微化学工程(MCE)方法来调节电极的反应动力学,从而优化电催化甲醇氧化反应(MOR)在三维有序交叉连接通道(3DOC)中的性能。作者从电极表面的自由能密度函数出发,建立了一个综合动力学模型以精确地调节电催化反应动力学,进而优化MOR的性能。结果表明,增加催化剂孔道尺寸有利于其表面的传质,但同时也会削弱反应的垂直电子流。这种竞争将导致在具有特定尺寸的3DOC上获得最佳的MOR性能。因此,作者在Pt纳米管(NT) 3DOC催化剂对MOR性能进行测试,从实验结果验证了最初的理论。这种工艺优化不同于传统的催化剂设计,其可确保非均相电催化活性的显著提高。通过稳健的理论模拟、合理的结构设计、合适的制备工艺、精细的图案构建和最大化的传质,所提出的MCE策略为电催化性能的调控开辟了一条新途径。

图文解析

图1. 从工业尺度到微尺度的化学工程设计示意图,示意图左边为不同尺度下的微化学设计,图表右上角代表工业尺度下的化学工程,图表右下角代表本文提出的微化学工程耦合传质和表面反应。
图2. 理论设计3DOC用于提高电催化MOR性能:(a)电极表面附近的综合动力学模型,包括扩散/LEF诱导的MeOH传质和MOR表面反应;(b)电极表面1D组装体的无序(左)和有序(右)构型示意图;(c)LEF下MeOH受无序(左)和有序(右)1D组装体诱导的相互作用势。
图3. 3DOC的实验制备过程:(a)原位电化学腐蚀活化制备验证3DOC设计理论的示意图;(b)正交状Pt NT双层的TEM图;(c) Pt NT单层膜和交叉双层膜的扇形积分1D强度与不同衍射花样Q之间的关系,插图为对应Pt NT单层和交叉双层的散射花样。
图4. 3DOC中的通道尺寸工程动力学:(a,b) MeOH在通道尺寸为40和120 nm下3DOC中的相互作用势,插图为3DOC示意图,黑线表示催化剂的位置;(c)具有不同通道尺寸的单通道中电势分布,插图为EDL中MeOH电势分布示意图;(d)甲醇浓度在3DOC上的分布;(e)甲醇在3DOC-2中的传递通量,其中黑色箭头表示甲醇通量的方向,等高线表示通量速度的分布;(f) 3DOC-2中MeOH 浓度分布;(g) 3DOC的通道尺寸分布;(h)不同通道尺寸3DOC的扇形积分1D强度与不同衍射花样Q之间的关系。
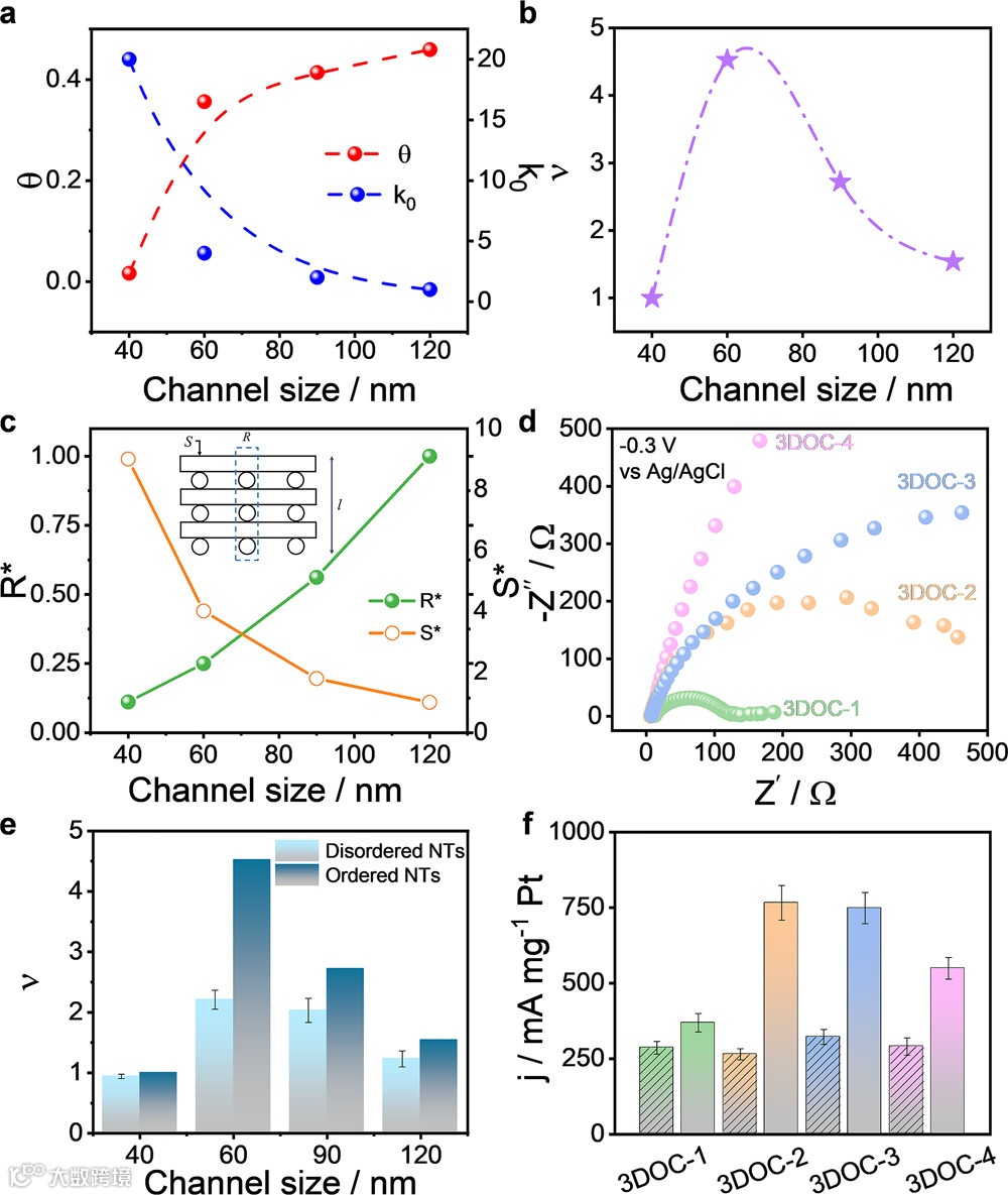
图5. 不同通道尺寸3DOC中的垂直电子流与传质:(a)反应速率常数k0(蓝色)和表面浓度θ(红色)随通道尺寸增加的变化趋势;(b)总反应速率随通道尺寸的增加的变化趋势;(c)随着通道尺寸增加,三维通道催化剂的交叉面积S与阻抗的变化趋势,其中半电阻R*和交叉面积S*都是无量纲的,插图为催化剂的阻抗计算示意图;(d) EIS Nyquist曲线;(e) 3DOC和无序参照样的模拟反应速率,误差棒对应于至少三次计算的标准偏差;(f) 3DOC用于MOR时的峰电流,误差棒对应于至少三次计算的标准偏差。
图6. 3DOC的稳定性评估与MCE策略的通用性:(a) 3DOC与商业Pt/C催化剂的MOR性能比较,初始值定义为100%;(b) 3DOC-2在1000圈MOR循环前后的性能变化;(c, d) 3DOC设计PtTe NWs用于ORR及Pt NTs用于FAOR时的性能,误差棒对应于至少三次计算的标准偏差。

总结与展望
在本文中,作者提出了一种新的MCE策略用于催化剂的加工优化。首先采用动力学计算方法研究了不同通道尺寸3DOC微反应器中的传质和电子输运特性。模拟结果表明,在最佳的通道尺寸下,传质和电子传递可以达到平衡,从而优化了电催化性能。随后,作者采用牺牲模板剂和原位电化学腐蚀活化策略成功制备出高度有序互连的3DOC结构催化剂,并通过调节模型催化剂的通道尺寸,测试了MOR模型反应的电催化性能。最后得出的火山型通道尺寸相关性能也验证了动力学模拟结果。这种崭新的MCE概念将电催化反应过程中微环境下的传质和电子传递结合起来,为催化剂的结构设计和催化性能的进一步提高开辟了一条新途径。

通讯作者介绍
俞书宏,1967年8月生,安徽庐江县人。中国科学技术大学化学与材料科学学院教授、合肥微尺度物质科学国家研究中心纳米材料与化学研究部主任、中国科学院强磁场科学中心副主任。1988年7月获合肥工业大学无机化工专业学士学位,1991年5月获上海化学工业研究院硕士学位, 1998年10月获中国科学技术大学化学系无机化学专业博士学位,此后曾去日本东京工业大学从事博士后研究,曾获德国洪堡基金会(AvH)资助,在德国马普学会胶体与界面研究所工作。2002年入选中国科学院“引进国外杰出人才”,回中国科学技术大学任教,2003年获得国家杰出青年基金,2006年入选教育部“长江学者奖励计划”特聘教授,2010年任国家重大科学研究计划项目首席科学家,2016年成为国家基金委创新群体基金学术带头人,2019年当选中国科学院院士。长期从事无机材料的仿生合成与功能化的研究。在聚合物和有机小分子模板对纳米结构单元的尺寸和维度及取向生长的调控规律、仿生多尺度复杂结构材料的合成及构效关系研究方面取得多项创新成果。近年来,在面向应用的重要纳米结构单元的宏量制备、宏观尺度纳米组装体的制备与功能化、新型纳米材料的合成设计及能源转换材料等方面的研究取得了重要进展。已在国际重要学术期刊Science, Nature Materials, Nature Nanotechnology, Science Adv., Nature Commun., Chem. Rev., Acc. Chem. Res., Chem. Soc. Rev., Angew. Chem. Int. Ed., J. Am. Chem. Soc., Adv. Mater.等上发表通讯或第一作者论文430余篇。被SCI论文引用47868次,H因子122,2014-2019年连续入选全球高被引科学家名录。

文献来源
Qing-Xia Chen, Ying-Huan Liu, Zhen He, Jin-Long Wang, Jian-Wei Liu, Hui-Jun Jiang, Wei-Ran Huang, Guan-Yin Gao, Zhong-Huai Hou, and Shu-Hong Yu, Microchemical Engineering in a 3D Ordered Channel Enhances Electrocatalysis. J. Am. Chem. Soc. 2021, DOI: 10.1021/jacs.1c04653.
文献链接:https://doi.org/10.1021/jacs.1c04653

“邃瞳科学云”直播服务
扫描二维码下载
邃瞳科学云APP

