
第一作者:禹俊辰
通讯作者:薛军民教授,王晓鹏博士后研究员,席识博博士
通讯单位:新加坡国立大学(薛军民教授,王晓鹏博士后研究员),新加坡科技研究局化学、能源和环境可持续性研究所(席识博博士)
论文DOI: https://doi.org/10.1016/j.apcatb.2023.123674
阳离子掺杂材料的析氧反应活性与掺杂剂浓度呈现出火山状的关系。然而,掺杂物含量的影响与其相关局部环境对电催化剂电子态的影响尚不清楚。在文章中,钒(V)被掺入到氢氧化镍(Ni(OH)2)中以研究潜在的机制。结果表明,均匀分布的V能有效地扰动镍氧八面体,导致强大的eg*能带展宽和费米能级周围更多的电子态。该现象显著增强了电子从电催化剂到外部电路的转移。相反, 较高掺杂浓度下V的聚集对镍氧八面体的扰动影响较弱。这种构效关系也扩展到铁掺杂的氢氧化镍,证实了所提出机制的普遍性。
在电催化析氧反应(OER)中,我们先前在羟基氧化镍(NiOOH)基材料中发现,调节eg*能带展宽可以有效优化催化性能,其中铁掺杂的NiOOH可以提高镍氧八面体的畸变程度,增加eg*能带宽度,从而有效地优化催化活性。同时,OER性能会受到掺杂剂浓的影响,在特定浓度范围表现出更好的活性。然而,掺杂量以及对应的掺杂物配位环境与调节镍氧八面体的畸变程度之间的关联仍不清晰。
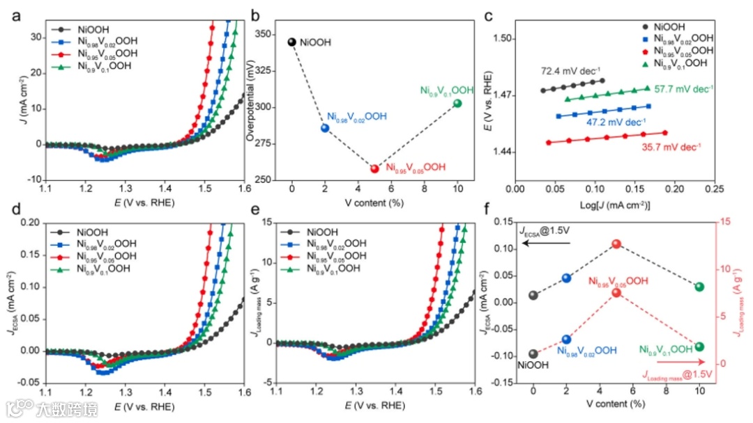
3. 具有最大畸变程度的NiVOOH在电流密度为10 mA cm-2时,过电势仅为258 mV。
X射线衍射数据表明钒成功地掺杂到了氢氧化镍晶格中,同步辐射表征数据显示随着钒含量的增加,NiO6八面体的畸变程度先增大后减小。

随着钒含量的增加,钒的局部环境变得更加无序,基于此,我们提出了钒聚集的假设,DFT计算、同步辐射表征共同表明钒会随着含量的增加而聚集,同时其局部环境会逐渐无序。对于镍来说,聚集的钒会使NiO6八面体畸变程度降低,镍eg*能带展宽的程度降低。

电化学测试表明,拥有最强NiO6八面体畸变程度的NiVOOH具有最好的OER性能。

DFT计算表明,钒的聚集会导致Ni费米能级电子态附近密度降低;实验表明,增强的eg*能带展宽的程度可以有效促进去质子化过程。另外,聚集会导致OER速率决定步骤在热力学角度上更困难。

最后,为了验证这一概念的普适性,作者研究了NiFeOOH体系中铁聚集的情况对eg*能带展宽程度与OER性能的影响。
这种构效关系为未来设计高效的催化剂提供了一种思路。
4. Zhong H, Wang X, Sun G, et al. Optimization of oxygen evolution activity by tuning e* g band broadening in nickel oxyhydroxide[J]. Energy & Environmental Science, 2023, 16(2): 641-652.
禹俊辰,新加坡国立大学材料系博士一年级,导师为薛军民教授。研究方向为电催化产氧、燃料电池,已在Nature Communications,Advanced Energy Materials,Applied Catalysis B:Environment and Energy上发表文章。
席识博博士,新加坡科技研究局(A*STAR)下属的化工,能源与环境可持续发展研究院(ISCE2)的scientist III,并担任新加坡国立大学新加坡光源(SSLS)XAFCA实验室负责人。博士毕业于高能物理研究所同步辐射实验室。研究活动聚焦于同步辐射光束线建设和优化维护,并在软X射线和硬X射线吸收谱方法学、吸收谱数据处理解析和吸收谱理论计算等方面有丰富经验。在工作期间,搭建了具有国际领先水平的原位催化吸收谱表征实验站。培训并维护了新加坡本地的吸收谱用户群体。迄今为止,在各大主流科学期刊(包括Science,Nature及其各大子刊)上发表文章两百余篇,引用数超过一万,H因子为55。
王晓鹏博士,新加坡国立大学博士后研究员,入选国家级青年人才,近期将入职四川大学。2019年,博士毕业于新加坡国立大学,主要研究方向为电催化产氧、燃料电池。截至现在,发表SCI 30余篇,总引用率2900余次,单篇文章最高引用率780余次,其中以第一作者或通讯发表多篇SCI,包括Nature (1),Nat. Commun. (2), Energy Environ. Sci. (2),Angew. Chem. Int. Ed. (2), J. Am. Chem. Soc. (1), Adv. Mater. (1), Adv. Energy Mater. (1)。
薛军民教授,新加坡国立大学材料系主任,主要研究能源储存、环境清洁和应用生物医学等方面的功能纳米材料的合成,出版学术专著3部, 作为通信作者在Nature, Nature Comm, Energy Environment & Science, Advanced Materials, Advanced Energy Materials, Advanced Functional Materials,ACS Nano等国际重要学术期刊发表多篇文章,美国陶瓷学会高级会员,担任多种国际重要学术期刊编委,多次担任国际会议分会场主席,指导研究生50余人。
声明
“邃瞳科学云”直播服务
扫描二维码下载
邃瞳科学云APP

